Россия
При промывке судовых систем и их элементов можно использовать смешанный поток воды и воздуха. Данный способ интенсификации процесса промывки судовых систем приносит ощутимые результаты, но имеет на данный момент ряд нерешенных задач. К одной из таких задач относится вопрос, связанный с риском возникновения кавитационных явлений при применении двухфазной смеси. Возникновение кавитации зависит от ряда факторов, но в первую очередь от массового содержания воздуха в потоке воды. Осуществлена попытка оценки развития кавитации в элементах смесителя, используемого для получения устойчивой смеси воды и воздуха. Рассмотрена конструкция смесителя. Определена основная теоретическая зависимость минимально допустимого диаметра узкого кольца смесителя от основных параметров смешанного потока: плотностей фаз смеси, массового содержания воздуха в потоке, исходного диаметра трубопровода и коэффициента поджатия струи в узком сечении, а также от исходного давления промывочного потока. При исследовании кавитационных явлений использована гомогенная модель двухфазной смеси как наиболее подходящая к промывочному режиму двухфазным пульсирующим потоком. Определены основные расчетные зависимости для определения минимально допустимого диаметра узкого кольца смесителя. Произведена оценка влияния различных факторов на развитие кавитационных явлений. Даны рекомендации по выбору диаметра узкого кольца смесителя.
смеситель, воздухосодержание, промывка судовых трубопроводов, организация двухфазного потока, кавитация
Введение
Для ускорения и повышения качества промывочных работ разветвленных судовых трубопроводов и оборудования еще в середине прошлого века были предложены различные способы интенсификации [1]. Применение закрученного двухфазного потока в качестве промывающей среды также предлагалось в [2]. При проведении промывочных работ с целью очистки судовых трубопроводов особенно хорошие результаты были получены промывкой пульсирующим двухфазным потоком [3]. Описание и решение некоторых проблем, возникающих при проведении пульсирующей двухфазной промывки, было проведено в [4]. Однако в [4] не было проведено теоретического определения значений всех конструктивных элементов устройства для создания пульсирующего двухфазного потока.
Для получения экономического и технологического эффекта при проведении промывочных работ в судовых трубопроводах с помощью двухфазной смеси необходимо создать устойчивый режим без расслоения и роста пузырей.
Материалы исследования
Исследователи выделяют существование различных режимов двухфазных потоков [5]. Согласно результатам проведенных ранее исследований [3], для соблюдения необходимых условий промывки требуется создание пузырькового, пенного или эмульсионного режимов. При малом массовом содержании воздуха k для создания физической модели смешанного потока предположим, что в двухфазной смеси в канале отсутствует скольжение фаз друг относительно друга. Будем считать, что скорости движения фаз не отличаются друг от друга. Таким образом, отсутствие скольжения фаз позволяет применить гомогенную модель двухфазного потока [6].
Для получения устойчивого пульсирующего двухфазного потока в протяженных трубопроводах, характерных для разветвленных судовых систем, по предложению профессора В. А. Стенина, применяется специальный смеситель. Смеситель состоит из двух частей: узкой цилиндрической проходной части для подвода воздуха и пристыкованного далее по направлению потока расширяющейся насадки диффузора. Конструкция данного смесителя представлена на рис. 1. Узкое кольцо смесителя также используется для подвода воздуха от компрессора. Основные конструктивные размерения смесителя и его характеристики определяются в зависимости от пропускной способности Gсм, массового содержания воздуха k, внутреннего диаметра промываемой трубы dвн, к которой непосредственно подсоединяется смеситель. Таким образом, конструктивные размеры смесителя определяются путем последовательного решения следующих задач:
1) dк – диаметр внутреннего кольца смесителя;
2) L – длина внутреннего кольца смесителя;
3) Lдиф – длина диффузорной части.
Рис. 1. Схема смесителя
Fig. 1. Mixer diagram
Для решения вышеперечисленных задач необходимо произвести описание работы смесителя.
К узкой части смесителя, называемой кольцом, производится осевой подвод промывочной воды насосом под общим давлением p1. Подвод воздуха осуществляется от компрессорной установки с давлением несколько большим, чем давление воды p1. В результате смешения двух потоков воды и воздуха в узкой части смесителя и дальнейшего движения смеси давление становится p2 (рис. 2). Далее полученная воздуховодяная смесь попадает в диффузор, где стабилизируется за счет пульсаций и выводится в промываемый трубопровод.
Рис. 2. Определение минимально допустимого диаметра внутреннего кольца dк
Fig. 2. Determination of the minimum allowable diameter of the inner ring dк
При такой организации образования смеси возникает ряд вопросов. Первый состоит в обеспечении бескавитационной работы смесителя, для чего необходимо определить минимально допустимый диаметр внутреннего кольца dк и его длину L в зависимости от массового содержания воздуха k, давления p1, способа обработки входных кромок кольца и т. д.
Определение диаметра внутреннего кольца смесителя dк
Диаметр внутреннего кольца смесителя dк определяется из условия обеспечения антикавитационных условий в узком сечении смесителя. При прохождении узкого сечения 2-2 происходит увеличение скорости смешенного потока и снижение его давления (в области дозвуковых значений). При падении давления до значения насыщенных паров произойдет развитие кавитационных явлений, что является крайне нежелательным.
Для определения минимально допустимого значения диаметра внутреннего кольца смесителя dк.кр, соответствующего моменту возникновения кавитации в узком сечении канала, составим уравнение Бернулли для двух сечений 1-1 и 2-2 (см. рис. 2):
(1)
где p1, v1ср – давление и скорость воды в сечении 1-1, p2 > pнп; vxср – давление и скорость смеси воды и воздуха в суженом сечении 2-2, определяемые с учетом поджатия потока; gΔh1–2 – потери энергии на внезапное сужение, м2/с2. Давление в сечении 2-2 не должно быть равно или меньше давления насыщенных паров воды pнп при данной температуре, иначе наступит нерасчетный режим смесеобразования, соответствующий возникновению кавитация в узком сечении смесителя.
В сечении 2-2 поток суживается на величину, пропорциональную коэффициенту сжатия
т. е. скорость смеси увеличивается, следовательно, скорость в узком сечении 2-2 определяется:
Величину ε принимают по справочникам гидравлических сопротивлений в зависимости от режима течения и остроты входных кромок.
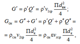
В сечении 2-2 массовый расход увеличивается на величину массового притока воздуха G" = ρ"Q", тогда для скоростей и массовых расходов можно записать:
где G' и G" – массовые расходы воды и воздуха, кг/с; Gсм – массовый расход смеси, кг/с; ρсм – объемная плотность смеси, кг/м3, которую можно определить, зная исходные плотности газовой (воздушной) и жидкой (водяной) фазы ρ" и ρ' соответственно по формуле
где φ – объемное воздухосодержание, которое устанавливается через объемные расходы воды Q' и воздуха Q":
Получим выражения для скоростей воды и смеси в узком сжатом сечении соответственно:
(2)
(3)
Потери энергии gΔh1–2 затрачиваются на внезапное сужение потока и определяются по известной справочной формуле [7] для потока воды расходом G':
(4)
где скорость v2 определяется для однофазного потока, состоящего из одной воды, с учетом поджатия ε, т. к. сужение происходит до момента подвода воздуха:
. (5)
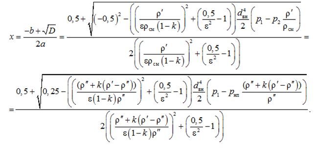
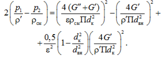
Подставив полученные выражения в уравнение Бернулли (1), получим с учетом скоростей, определенных по (2), (3), (5), и потерь энергии (4):
Поскольку искомым является dк, решим задачу относительно этого диаметра.
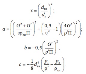
Решая задачу относительно dк, введем дополнительные обозначения и получаем квадратное уравнение вида ax2 + bx + c = 0. В данном уравнении введем обозначения:
При решении квадратного уравнения необходимо вычислить дискриминант:
Квадратное уравнение будет иметь решения при положительном значении дискриминанта D.
Решая данное уравнение, получаем два корня, один из которых отрицательный, поэтому не является решением задачи, а второй положительный и является решением поставленной задачи:
Последнюю формулу для удобства расчетов можно представить в зависимости от содержания воздуха k, используя выражение для массового содержания воздуха, определенное в статье [8]:
Тогда выражение для х перепишем в виде:
Значение давления p2 в сечении 2-2 может упасть до критического значения, которое станет равным давлению насыщенных паров при заданной температуре p2 = pнп.
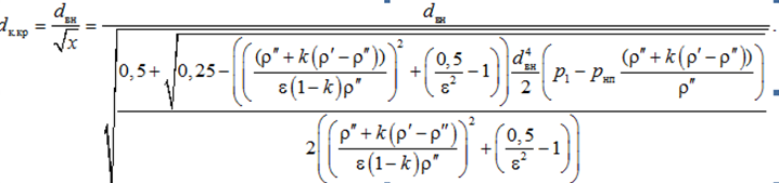
Таким образом, значение диаметра внутреннего кольца смесителя после преобразования определяется в зависимости от массового содержания воздуха в потоке k, плотностей фаз ρ" и ρ', давления насыщенных паров pнп, давления на входе в смеситель p1 и исходного внутреннего диаметра трубопровода dвн:
(6)
Согласно результату анализа полученной формулы (6) минимально допустимый диаметр узкого кольца смесителя не зависит от скорости потока, массового расхода воды, а зависит от плотностей фаз ρ' и ρ", коэффициента сжатия струи ε, давления на входе в узкую часть кольца p1, давления насыщенных паров pнп, массового содержания воздуха k и внутреннего диаметра трубы dвн.
Результаты теоретического исследования определения минимально допустимого диаметра внутреннего кольца dк
Давление насыщенных паров, согласно справочным данным [9], при технологической промывке систем, производимой при температуре 40 °С, составляет p2 = pнп = 7,37 кПа. Для исходного диаметра трубопровода (или большего диаметра смесителя) dвн и определенного содержания воздуха k критический диаметр внутреннего кольца смесителя dк.кр определен в табл. 1 для различных dвн и воздухосодержания k.
Расчеты, представленные в табл. 1, проводились для значения p1 = 0,5 МПа и массового расхода воды G' = 23 кг/с. В зависимости от p1 определялось значение плотности воздушной фазы ρ" = 6,42 кг/м3, для давления чуть больше p1, т. к. подача воздуха должна осуществляться с давлением большим, чем давление в сечении 1-1. Коэффициент сжатия струи ε = 0,53 взят наименьший [7], характерный для наибольшего сжатия (острые кромки).
Согласно данным в табл. 1 массовое содержание воздуха k ведет к незначительному увеличению внутреннего диаметра кольца смесителя и может быть рекомендовано не менее 46 мм во избежание развития кавитационных процессов.
Таблица 1
Table 1
Зависимость значения минимально допустимого диаметра внутреннего кольца смесителя
из условия антикавитационной работы от содержания воздуха k
Dependence of the value of the minimum allowable diameter of the inner ring of the mixer
from the anti-cavitation operation condition on the air content k
|
Параметр |
Значение |
||||||||
|
Массовое содержание воздуха, k = G" / Gсм |
0 |
0,0001 |
0,0002 |
0,0003 |
0,0004 |
0,0005 |
0,0006 |
0,0007 |
0,0008 |
|
Объемное содержание воздуха, φ = Q" / Qсм |
0 |
0,015 |
0,030 |
0,045 |
0,059 |
0,072 |
0,085 |
0,098 |
0,111 |
|
Внутренний диаметр трубы dвн, мм |
75 |
||||||||
|
Критический диаметр кольца смесителя dк.кр, мм |
44 |
44 |
44 |
44 |
44 |
45 |
45 |
46 |
46 |
|
Внутренний диаметр трубы dвн, мм |
100 |
||||||||
|
Критический диаметр кольца смесителя dк.кр, мм |
44 |
44 |
44 |
45 |
45 |
45 |
46 |
46 |
46 |
|
Внутренний диаметр трубы dвн, мм |
125 |
||||||||
|
Критический диаметр кольца смесителя dк.кр, мм |
44 |
44 |
45 |
45 |
45 |
45 |
46 |
46 |
46 |
|
Внутренний диаметр трубы dвн, мм |
150 |
||||||||
|
Критический диаметр кольца смесителя dк.кр, мм |
44 |
44 |
45 |
45 |
45 |
45 |
46 |
46 |
46 |
Интерес представляет также зависимость критического диаметра кольца от давления p1. Промывка систем может происходить при различных давлениях, исходя из технологических возможностей, поэтому отследим изменение dк.кр от давления p1 (табл. 2).
Таблица 2
Table 2
Зависимость значения минимально допустимого диаметра внутреннего кольца смесителя
из условия антикавитационной работы от давления перед смесителем p1
Dependence of the value of the minimum allowable diameter of the inner ring of the mixer
from the condition of anti-cavitation operation on the pressure before the mixer p1
|
Параметр |
Значение |
||||||
|
Содержание воздуха k |
0,0002 |
||||||
|
Давление p1, кПа |
200 |
250 |
300 |
350 |
400 |
450 |
500 |
|
Внутренний диаметр dвн, мм |
100 |
||||||
|
Критический диаметр кольца |
56 |
53 |
51 |
49 |
47 |
46 |
44 |
Таким образом, чем меньше давление на входе в смеситель, тем больше требуется диаметр внутреннего кольца смесителя, определяемый из условия антикавитационной работы p2 > pнп.
Интерес представляет также степень обработки входных кромок внутреннего кольца смесителя и их влияние на допустимый минимальный диаметр кольца. Зависимость dк.кр от значения коэффициента поджатия ε значительна, что можно определить по результатам, представленным в табл. 3 для dвн = 100 мм.
Таблица 3
Table 3
Зависимость значения минимально допустимого диаметра внутреннего кольца смесителя
из условия антикавитационной работы от степени сжатия потока
Dependence of the value of the minimum allowable diameter of the inner ring of the mixer
from the condition of anti-cavitation operation on the degree of compression of the flow
|
Параметр |
Значение |
||
|
Содержание воздуха k |
0,0002 |
||
|
Давление p1, кПа |
500 |
||
|
Коэффициент сжатия струи ε |
0,53 |
0,6 |
0,65 |
|
Внутренний диаметр dвн, мм |
100 |
||
|
Критический диаметр кольца смесителя dк.кр, мм |
44 |
41 |
39 |
Чем больше поджатие потока смеси в кольце, тем больше минимально допустимый диаметр dк.кр. Отметим, что на степень поджатия потока в узком участке трубы влияет степень обработки входных кромок и минимальному значению ε соответствует отсутствие механической обработки кромок, т. е. острые кромки без скругления. Следовательно, значения минимально допустимого диаметра внутреннего кольца смесителя, соответствующие выбранному ε = 0,53, показывают самые неблагоприятные условия развития кавитационных процессов.
Заключение
В связи с вышеизложенным можно сделать вывод о том, что диаметр внутреннего кольца смесителя во избежание развития кавитационных процессов следует брать с увеличением, с учетом запаса на поджатие потока в сечении 2-2 и входного давления р1 и установить в диапазоне dк.кр < dк < dвн.
Окончательное значение диаметра узкого кольца смесителя dк следует устанавливать, решив задачу по определению длины диффузорной части, т. к. она оказывает влияние на формирование устойчивого двухфазного потока в канале.
1. Соловьев Б. В. Очистка судовых систем от технологических загрязнений. Л.: Судостроение, 1977. 75 с.
2. Аин Е. М., Горобец А. Г., Захаров А. А., Никитин В. С. Технология интенсивной промывки трактов судовых энергоустановок и систем // Судостроение. 2011. № 6 (799). С. 54-58.
3. Канаев Д. Н., Лямин П. Л., Лебедева Е. Г., Александров Н. И. Новые средства технологического оснащения для промывки судовых водяных систем и оборудования // Междунар. науч.-исслед. журн. 2014. № 2-1 (21). С. 93-95.
4. Лебедева Е. Г. Интенсификация технологии промывки судовых систем пульсирующим двухфазным потоком: дис. … канд. техн. наук. СПб., 2012. 169 с.
5. Дейч М. Е., Филиппов Г. А. Двухфазные течения в элементах теплоэнергетического оборудования. М.: Энергоатомиздат, 1987. 327 с.
6. Кордон М. Я., Симакин В. И., Горешник И. Д. Гидравлика: учеб. пособие. Пенза: Изд-во ПГУ, 2005. 192 с.
7. Идельчик И. Е. Справочник по гидравлическим сопротивлениям. М.: Машиностроение, 1992. 672 с.
8. Лебедева Е. Г. Определение средней скорости двухфазной смеси, обеспечивающей промывку судовых систем, в зависимости от содержания воздуха в потоке // Судостроение. 2023. № 3 (868). С. 39-42.
9. Бабичев А. П., Бабушкина Н. А. и др. Физические величины: справ. / под ред. И. С. Григорьева, Е. З. Мейлихова. М.: Энергоатомиздат, 1991. 1232 с.



