Россия
с 01.01.2021 по настоящее время
Россия
Россия
Россия
Обсуждается потенциал мемристивных биосенсоров в качестве эффективного и динамичного связующего звена между инженерией и биологией, обеспечивающего прямую и функциональную коммуникацию для извлечения информации о биологических процессах в организме человека. Мемристоры могут быть частью цепочки обработки и, в перспективе, объединять преобразование сигнала с последующей обработкой, действуя как интеллектуальные датчики. Предложены энергоинформационная модель мемристора, описывающая этот нелинейный физико-технический эффект, и параметрическая структурная схема для описания такой нелинейности. Для получения модели нелинейного физико-технического эффекта мемристора в рамках энергоинформационной модели цепей выявлена специальная функциональная зависимость в плоскости «заряд – импульс». Замечено, что мемристивный эффект наблюдается не только в электрических цепях, но также описан для механических, тепловых, диффузионных, оптических цепей, хорошо представленных в терминах энергоинформационной модели цепей. Представленная модель мемристивного эффекта позволит расширить базу знаний системы автоматизированного проектирования, включив паспорта мемристивных физико-технических эффектов. Предложена классификация биосенсоров, основанная на мемристивных эффектах, что позволит дополнить базы знаний системы автоматизированного проектирования паспортами мемристивных физико-технических эффектов в соответствии с этой классификацией и параметрическими структурными схемами мемристивных физико-технических эффектов. Систематизация знаний, основанная на выявлении характеристик и особенностей биосенсоров, а также классификация различных типов мемристоров позволят автоматизировать процесс выбора наиболее подходящего типа мемристора, учитывая требуемые характеристики и особенности биосенсора, что приведет к повышению эффективности синтеза новых конструкций мемристивных биосенсоров.
биосенсор, мемристор, энергоинформационная модель цепей, физико-технический эффект, параметрическая структурная схема
Введение
Глобальный рынок биосенсоров демонстрирует стремительный рост. Согласно прогнозам маркетинговых исследований, ожидается рост этого рынка на 8–9 % ежегодно до 2030 г. Прогнозируется, что к 2033 г. мировой рынок биосенсоров достигнет 65,2 млрд долл. США [1]. Это обусловлено рядом факторов, включая увеличение спроса на медицинские диагностические инструменты, повышение уровня здорового образа жизни, а также рост старения населения.
Биосенсоры широко применяются в различных отраслях, включая медицину, пищевую промышленность, окружающую среду, сельское хозяйство и научные исследования. Они обеспечивают точность, скорость и удобство при анализе различных биологических и химических проб.
Все процессы в организме человека протекают на основе сочетания электрических и химических сигналов. Развитие биосенсорных технологий расширяет возможности перехвата и анализа таких сигналов с последующим количественным описанием этих процессов. В свою очередь, это приводит к росту объема потоковых данных в режиме реального времени при необходимости снижения энергопотребления. Эти требования особенно важны при создании имплантируемых и носимых биомедицинских устройств, а также биоэлектронных лекарств и систем «лаборатория на микрочипе».
Все вышесказанное делает мемристивные биосенсоры на основе нанотехнологий востребованными во многих отраслях. Они позволяют осуществлять точную раннюю диагностику заболевания, обнаруживать и обрабатывать различные биологические сигналы – как электрические (например, нейронные импульсы), так и химические (например, нейромедиаторы), – что открывает новые возможности для разработки эффективных методов мониторинга и анализа биологических процессов [2].
Публикационная активность в области мемристивных биосенсоров
Исследовательский интерес к мемристивным технологиям постоянно растет и, помимо множества технических публикаций, привел к появлению множества патентов. Анализ патентной активности по базам данных Всемирной организации интеллектуальной собственности [3] показал рост количества патентов по биосенсорам с использованием мемристоров (рис. 1).
Большинство патентов принадлежит Китаю (59,6 %) и США (18,81 %), на долю России приходится 0,73 % (21 патент).
Анализ публикаций показал быстрый рост интереса к мемристивным структурам и их использованию в биосенсорике.

а б
Рис. 1. Рост патентной активности по биосенсорам на основе мемристивного эффекта:
а – с использованием ключевых слов «biosensor & memristor»; б – с использованием ключевого слова «memristor»
Fig. 1. Growth of patent activity on biosensors based on the memristive effect:
a – using the keywords “biosensor & memristor”; б – using the keyword “memristor”
На рис. 2 показан рост числа международных публикаций по данным Scopus (а) и рост публикаций в России по данным РИНЦ (б).

а б
Рис. 2. Рост числа публикаций по мемристорам:
а – по данным Scopus, с использованием ключевых слов «Sensor & Memristor» и «Biosensor & Memristor»;
б – по данным РИНЦ, с использованием ключевого слова «мемристор»
Fig. 2. Growth of publications on memristors: a – according to Scopus data using the keywords “Sensor & Memristor”
and “Biosensor & Memristor”; б – according to RSCI data using the keyword “memristor”
Сочетание мемристивного эффекта с биологическими взаимодействиями приводит к созданию инновационных нанобиосенсоров с высокой эффективностью как в диагностике, так и в терапии.
Мемристивные биосенсоры
Понятие мемристора как нового элемента электрических цепей появилось в работах профессора Леона Чуа в 1971 г. Этот элемент характеризовался нелинейной зависимостью между электрическим зарядом и магнитным потоком. Термин «мемристор» сочетает в себе понятия «память» и «резистор», отражая свойства устройства.
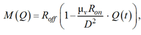
Первая практическая реализация мемристора была представлена в 2008 г. Дмитрием Струковым [4]. В его работе использовались неоднородные пленки двуокиси титана (TiO2), обладающие способностью изменять свое электрическое сопротивление под действием электрического тока. Принцип работы этого прибора заключается в смещении границы между двумя областями пленки с высокой Ron и низкой
Roff концентрацией легирующих примесей:
![]()
где M(q) – мемристивность; Roff – сопротивление в выключенном (высокоомном) состоянии; μv – ионная подвижность; Ron – сопротивление во включенном (низкоомном) состоянии; D – толщина слоя диэлектрика; q(t) – заряд, накопленный в слое диэлектрика. Данная формула справедлива для простейшего случая омической электронной проводимости и линейного дрейфа ионов в однородном поле при средней подвижности ионов µv.
Открытие мемристоров сделало перспективным дальнейшее развитие этой области, включая исследования новых рабочих принципов и материалов.
В результате возникли новые идеи и приложения в электронике, нейроморфной обработке информации и биосенсорике. Мемристоры стали предметом активных исследований в таких областях, как разработка новых архитектур вычислительных систем, создание нейронных сетей и разработка мемристивных биосенсоров.
С точки зрения энергоинформационной модели цепей (ЭИМЦ) [5] мемристор обобщенно можно характеризовать как нелинейный физико-технический эффект (ФТЭ), который характеризуется специальной функциональной зависимостью в плоскости заряд-импульс (Q–P) (рис. 3).

Рис. 3. Функциональная зависимость мемристора: Q – заряд; Q = f(P); P – импульс; U – напряжение; I – ток
Fig. 3. Memristor functional dependence: Q – charge; Q = f(P); P – impulse; U – voltage; I – current
Следует отметить, что мемристивный эффект наблюдается не только в электрических цепях, но также описан для механических [6], тепловых [7], диффузионных [8], оптических цепей [9].
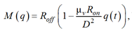
В общем случае в терминах ЭИМЦ можно записать, что
![]()
где M(Q) – мемристивность.
В электрических цепях мемристор (М), так же как и сопротивление (R), оказывает сопротивление величине реакции, единица измерения, Ом, характеризуется отсутствием фазового сдвига между величинами воздействия (напряжения) и реакции (тока) U(t) = M(q) ∙ I(t) ⇒ I(t) = 0, если U(t) = 0, и наоборот. Мемристор, так же как и сопротивление, рассеивает энергию в виде тепла (эффект Джоуля), т. е. потребляемая мощность Р > 0.
В простейшем случае мемристор представляет собой структуру «металл – изолятор – металл», проводимость которой изменяется в зависимости от внешнего напряжения или тока.
В работе [4] получено выражение для мемристанса тонкой пленки диоксида титана толщиной D, зажатой между двумя платиновыми контактами. Эта пленка имеет область с высокой концентрацией легирующих примесей и низким сопротивлением Ron, а остальная часть пленки имеет низкую концентрацию легирующей примеси и более высокое сопротивление Roff. Приложение внешнего напряжения сдвигает границу между двумя областями, вызывая дрейф заряженных примесей, характеризующийся подвижностью ионов µv. Тогда мемристанс такого устройства в терминах ЭИМЦ при условии Roff ≫ Ron определяется выражением

где Q(t) – заряд.
Чем больше подвижность легирующей примеси µv и меньше толщина полупроводниковой пленки D, тем более выраженной становится нелинейная зависимость (Q–P) или (I–U):

где P(t) – импульс; Ф(t) – магнитный поток.
Обобщенная параметрическая структурная схема (ПСС) мемристора показана на рис. 4 в соответствии с принципами моделирования нелинейных ФТЭ с использованием аппарата ПСС [10].


Введение мемристоров разной физической природы в базы данных ФТЭ ЭИМЦ существенно расширяет возможности концептуального проектирования новых видов биосенсоров.
Мемристивные биосенсоры: виды и классификация
Конструктивные реализации мемристоров, которые могут быть использованы при проектировании биосенсоров, представлены достаточно широко. Ниже рассмотрим наиболее перспективные.
Мемристоры с миграцией ионов (Ion-Migration Memristors) – мемристоры, основанные на миграции ионов или кислородных вакансий в активных материалах для изменения их электрических свойств и реализации функций хранения и обработки информации. К этому виду относятся мемристоры электрохимической металлизации (Electrochemical Metallization Memristor, ECM) [11], мемристоры с проводящим мостом (Conductive Bridge Memristor; CBM) [12], мемристоры с самонаправленным каналом (Self-Directed Channel, SDC) [13], мемристоры
с термическим изменением валентности (Valence Change Mechanism, VCM) [14]. Такие мемристоры можно использовать в биосенсорах для обнаружения изменений сопротивления, связанного с биохимическими реакциями или биологическими взаимодействиями: для обнаружения и анализа различных биомолекул, таких как белки, ДНК, РНК и др.
Мемристоры с фазовым переходом (Phase-Change Memristors, PCM) [15] на основе активированных воздействием разной физической природы фазовых переходов между аморфным и кристаллическим состояниями материала. Активирующее воздействие может быть механической [16], электрической [17], тепловой [18], оптической [19] или другой физической природы. Для изготовления мемристоров можно использовать органические, неорганические или эвтектические композиционные материалы. Например, халькогениды, оксиды металлов проявляют обратимые изменения сопротивления из-за фазовых переходов. В обзоре [20] приведены температура кристаллизации, время кристаллизации и время хранения данных для ряда типичных материалов с фазовым переходом. Основное преимущество PCM-мемристоров заключается в их высокой скорости переключения и энергоэффективности,
а также стабильности и долговечности. Эти мемристоры можно использовать в биосенсорах для мониторинга и анализа биологических сигналов (изменение температуры или концентрации аналита). PCM-мемристоры могут быть использованы в нейроморфных сетях для разработки биосенсорных систем, способных эмулировать некоторые функции нервной системы. В этом случае PCM-мемристоры могут служить в качестве искусственных синаптических соединений, которые изменяют свое сопротивление в зависимости от паттернов стимуляции. Это позволяет создать биосенсоры, способные обрабатывать и анализировать сложные биологические сигналы, такие как образцы электроэнцефалограммы или образцы электрокардиограммы [21].
Мемристоры на основе электронных эффектов в материалах (Electronic Effect Memristors) – это тип мемристоров, где изменение сопротивления или проводимости происходит за счет электронных эффектов в материале. В этих мемристорах изменение состояния и проводимости происходит благодаря перераспределению электронов или электронных зарядов в материале. Они обладают низким энергопотреблением, высокой скоростью переключения и масштабируемостью. К этому виду мемристоров можно отнести следующие.
Мемристоры с квантовыми точками (Quantum Dot Memristors). Квантовые точки, которые представляют собой наноструктуры с размерами в диапазоне от нескольких нанометров до нескольких десятков нанометров, могут также демонстрировать мемристивное поведение на основе эффектов электронного транспорта и зарядовой локализации внутри них [22]. Мемристоры с квантовыми точками могут быть использованы в биосенсорах для детектирования биологических аналитов, таких как белки, ДНК, РНК и другие биомолекулы. Их уникальные свойства, включая высокую конечную плотность заряда, улучшенную стабильность и возможность работы на низком напряжении, делают их привлекательными в качестве детекторов в биосенсорах.
Мемристоры на основе туннельных эффектов (Tunneling Memristors), например на основе сегнетоэлектрического туннельного перехода, в котором туннельная проводимость может изменяться на несколько порядков при увеличении/уменьшении амплитуды или длительности приложенного напряжения. Сегнетоэлектрические туннельные мемристоры демонстрируют обратимое гистерезисное энергонезависимое резистивное переключение с отношением сопротивлений до 105 % при комнатной температуре. Наблюдаемое мемристивное поведение объясняется индуцированным полем при перераспределении заряда на границе раздела сегнетоэлектрик/электрод, что приводит к модуляции высоты межфазного барьера [23]. Туннельные мемристоры могут быть выполнены и на основе оксидов других материалов: магнезии MgO, титаната бария (BTO), тантала BTO.
Мемристоры на основе управляемой электронной конфигурации (Controllable Electronic Configuration Memristors) обладают способностью изменять свою проводимость и сопротивление при применении внешних стимулов, таких как электрическое поле, ток или напряжение. Например, IL-мемристор (ionic liquid memristor), в котором ионные жидкости (ILs), со сверхнизким давлением паров, состоящие из катионов и анионов уже при комнатной температуре, вводятся в твердое устройство в качестве нового мемристивного материала [24].
Мультитерминальные мемристоры (Multiterminal Memristors) – это тип мемристоров, которые имеют более двух электродов или виртуальных терминалов (свет, давление, газ, влажность и т. д.), позволяющих контролировать и измерять электрические свойства устройства. Это отличает их от обычных двухтерминальных мемристоров [25]. Виртуальные мультитерминальные мемристоры обладают более сложной памятью и способностями к обучению, чем обычные датчики.
Мультимодальные мемристоры (Multimodal Memristor) – это разновидность мультитерминальных мемристоров, которые способны реагировать на несколько различных типов сигналов одновременно. Они объединяют в себе возможности работы с различными физическими воздействиями (электрические, оптические, механические и др.) и могут изменять свои электрические свойства в ответ на каждое из этих воздействий [26]. Мультимодальные мемристоры представляют собой мощный инструмент в биосенсорике, позволяющий интегрировать разные функции и режимы работы в одном устройстве. Например, мультимодальные мемристоры могут быть использованы для одновременного обнаружения и регистрации нескольких биоаналитов. Они могут иметь разные контакты или области детектирования, которые могут быть специфическими для различных молекул или биомаркеров. Так, мультимодальный мемристор может использоваться для одновременной детекции различных клеточных маркеров, белков или нуклеиновых кислот. Их применение может повысить точность, чувствительность и функциональность биосенсоров, открывая новые возможности в различных областях, включая медицину, экологию и пищевую промышленность.
В результате можно предложить классификацию мемристоров, используемых в биосенсорике (рис. 5).

Рис. 5. Классификация мемристоров, используемых в биосенсорике
Fig. 5. Classification of memristors used in biosensorics
Безусловно, эта классификация не является исчерпывающей, и в настоящее время ведутся исследования по разработке новых типов мемристоров с уникальными свойствами и применениями в биосенсорах.
Классификация видов мемристоров играет важную роль при концептуальном проектировании мемристивных биосенсоров. Она позволяет систематизировать и структурировать знания о различных типах мемристоров, выбрать наиболее подходящий тип мемристора, учитывая требуемые характеристики и особенности биосенсора. Это позволяет оптимизировать процесс проектирования и создавать более эффективные и точные мемристивные биосенсорные системы.
Классификация видов мемристоров является важным инструментом при концептуальном проектировании мемристивных биосенсоров, обеспечивая систематизацию знаний, оптимизацию процесса проектирования и разработку новых эффективных решений.
Заключение
Рынок биосенсоров стремительно развивается. По прогнозам ряда исследований мировой рынок биосенсоров будет расти на уровне 8–9 % ежегодно до 2033 г.
Анализ патентной активности и научных публикаций показал бурный рост количества патентов и научно-технических статей по биосенсорам с использованием мемристоров как наиболее перспективных по совокупности эксплуатационных характеристик.
В статье представлена модель мемристора в рамках энергоинформационной модели цепей как нелинейного физико-технического эффекта, который характеризуется специальной функциональной зависимостью в плоскости заряд-импульс (Q–P). Разработан пример параметрической структурной схемы для описания такой нелинейности.
Предложена классификация биосенсоров на основе мемристивных эффектов. Для более эффективного синтеза новых конструкций мемристивных биосенсоров необходимо дополнить базы знаний системы автоматизированного проектирования паспортами мемристивных ФТЭ в соответствии с этой классификацией и параметрическими структурными схемами мемристивных ФТЭ.
1. Biosensors Market Outlook (2023 to 2033). URL: https://www.futuremarketinsights.com/reports/biosensors-market (дата обращения: 04.10.2023).
2. Tzouvadaki I., Prodromakis T. Large-scale nanobi-osensing technologies // Front. Nanotechnol. 2023. V. 5. P. 1127363. DOI:https://doi.org/10.3389/fnano.2023.1127363.
3. WIPO. PATENTSCOPE Простой поиск. URL: http://patentscope.wipo.int/ (дата обращения: 04.10.2023).
4. Strukov D. B., Snider G. S., Stewart D. R., Williams R. S. The missing memristor found // Nature. 2008. V. 453 (7191). P. 80-83.
5. Петрова И. Ю., Зарипова В. М., Лежнина Ю. А., Сокольский В. М., Митченко И. А. Энергоинформационные модели биосенсоров // Вестн. Астрахан. гос. техн. ун-та. Сер.: Управление, вычислительная техника и информатика. 2015. № 3. С. 35-48.
6. Zhang Xiao-liang, Gao Qiao, Nie Jiamei. The mem-inerter: A new mechanical element with memory // Advances in Mechanical Engineering. 2018. V. 10 (6). P. 1-13.
7. Ben-Abdallah Ph. Thermal memristor and neuromorphic networks for manipulating heat flow // AIP Advances. 2017. V. 7 (6). P. 065002.
8. Erokhin V., Fontana M. P. Thin Film Electrochemical Memristive Systems for Bio-Inspired Computation // Journal of Computational and Theoretical Nanoscience. 2011. V. 8. P. 313-330.
9. Koch U., Hoessbacher C., Emboras A., Leuthold J. Optical memristive switches // Journal of Electroceramics. 2017. V. 39. P. 239-250.
10. Петрова И. Ю., Ветрова А. А. Моделирование нелинейных физико-технических эффектов с использованием аппарата параметрических структурных схем // Датчики и системы. 2004. № 1. С. 20-22.
11. Dirkmann S., Mussenbrock T. Resistive switching in memristive electrochemical metallization devices // AIP Advances. 2017. V. 7 (6). P. 065006.
12. Wald S., Baker J., Mitkova M., Rafla N. A non-volatile memory array based on nano-ionic Conductive Bridge Memristors // 2011 IEEE Workshop on Microelec-tronics and Electron Devices. 2011. P. 1-4.
13. Drake K., Lu T., Majumdar M. K. H., Campbell K. A. Comparison of the Electrical Response of Cu and Ag Ion-Conducting SDC Memristors Over the Temperature Range 6 K to 300 K // Micromachines. 2019. V. 10 (10). P. 663.
14. Lim E. W., Ismail R. Conduction Mechanism of Valence Change Resistive Switching Memory: A Survey // Electronics. 2015. N. 4. P. 586-613.
15. Белов А. Н., Перевалов А. А., Шевяков В. И. Мемристорные структуры для микро- и наноэлектроники. Физика и технология. Обзор // Изв. вузов. Электроника. 2017. Т. 22, № 4. С. 305-321.
16. Liangchao Guo, Su-Ting Han, Ye Zhou. Electromechanical coupling effects for data storage and synaptic devices // Nano Energy. 2020. V. 77. P. 105156.
17. Patent US20190323963A1. Memristor-reconstructed near-infrared SPR biosensor with adjustable penetration depth and preparation method thereof / Xiangdong Jiang, Ruikang Guo, Xiang Dong, Jimin Wang, Wei Li; date of Patent: 12.05.2022.
18. Driscoll T., Kim Hyun-Tak, Chae B. G., Di Ventra M., Basov D. N. Phase-transition driven memristive system // Applied Physics Letters. 2009. V. 95. P. 043503.
19. Gee A., Jaafar A. H., Kemp N. T. Optical Memris-tors: Review of Switching Mechanisms and New Computing Paradigms // Memristor Computing Systems. Springer, 2022. P. 219-244.
20. Thomas A., Niehörster S., Fabretti S., Shepheard N., Kuschel O., Küpper K., Wollschläger J., Krzysteczko P., Chicca E. Tunnel junction based memristors as artificial synapses // Frontiers in Neuroscience. 2015. V. 9. P. 241.
21. Cai L., Yu L., Yue W., Zhu Y., Yang Z., Li Y., Tao Y., Yang Y. Integrated Memristor Network for Physiological Signal Processing // Advanced Electronic Materials. 2023. V. 9 (6). P. 2300021.
22. Qureshi Anjum, Shaikh Tayyaba, Niazi Javed H. Semiconductor quantum dots in photoelectrochemical sensor from fabrication to biosensing applications // Analyst. 2023. V. 148. P. 1633-1652.
23. Liu F., Peng Y., Liu Y., Xiao W., Hao Y., Han G. Performance improvement of a tunnel junction memristor with amorphous insulator film // Discov Nano. 2023. V. 18. P. 20.
24. Hiroshi Sato, Hisashi Shima, Toshiki Nokami, Toshiyuki Itoh, Yusei Honma, Yasuhisa Naitoh, Hiroyuki Akinaga, Kentaro Kinoshita. Memristors With Controllable Data Volatility by Loading Metal Ion-Added Ionic Liquids // Frontiers in Nanotechnology. 2021. V. 3. P. 660563.
25. Leng Y.-B., Zhang Y.-Q., Lv Z., Wang J., Xie T., Zhu S., Qin J., Xu R., Zhou Y., Han S.-T. Recent Progress in Multiterminal Memristors for Neuromorphic Applications // Advanced Electronic Materials. 2023. V. 9 (6). P. 2300108.
26. Wang Yan, Gong Yue, Yang Lin, Xiong Ziyu, Lv Ziyu, Xing Xuechao, Zhou Ye, Zhang Bing, Su Chenliang, Liao Qiufan, Han Su-Ting. MXene-ZnO Memristor for Multimodal In-Sensor Computing // Advanced Functional Materials. 2021. V. 31. P. 202100144.



