Аннотация. Рассматриваются проблемы, связанные с функционированием сложных систем управления в условиях неопределенности входных воздействий, а также существующие подходы к их решению, основанные на использовании методов нечеткого управления, адаптивного управления и интеллектуальных алгоритмов. Для повышения эффективности функционирования объекта осуществляется синтез интеллектуальной системы с нечеткой стабилизацией управления в условиях неопределенности входных воздействий. Применение нечеткого управления позволяет учитывать неопределенность входных воздействий и стабилизировать управление на основе продукционной модели представления знаний, что делает систему более гибкой и устойчивой к изменениям. Динамический выбор оптимального метода дефаззификации с целью нечеткой стабилизации управления обеспечивает результативное функционирование каждой конкретной системы. Рассматривается пример реализации интеллектуальной системы с нечеткой стабилизацией управления силой электрического тока для гальвани-ческого процесса при неопределенности следующих входных воздействий: длительности, площади детали, температуры и кислотности электролита. Для подтверждения эффективности разработанной интеллектуальной системы проводится вычислительный эксперимент на примере управления гальваническим процессом нанесения никелевого покрытия в электролите Уоттса с использованием нечеткого вывода по алгоритму Мамдани при треугольной норме и конорме Заде. Полученные результаты показывают, что применение интеллектуальной системы с нечеткой стабилизацией управления приводит к более точному результату (в плане толщины покрытия) по сравнению с самостоятельным использованием наиболее распространенных методов дефаззификации (центр тяжести; медиана; наименьший, центр и наибольший из максимумов).
интеллектуальная система, нечеткая стабилизация управления, неопределенность входных воздействий, динамический выбор метода дефаззификации
Введение
В настоящее время эффективное функционирование объектов требует усложнения для них систем управления. Однако применение большинства сложных систем, ориентированных на управление объектами, подвержено множеству проблем, заключающихся в воздействии различных негативных факторов, как правило, имеющих неопределенные характеристики [1, 2]. К таким факторам относится отклонение реальных (измеренных) значений входных воздействий от эталонных (принятых в расчетах). При значительной величине отклонения найденное программное управление для объекта может не обеспечивать его эффективного функционирования. Данное обстоятельство требует повторного поиска программного управления, что, как правило, влечет за собой дополнительные вычислительные и временные затраты, нестабильную работу системы и ограничение скорости ее реакции на изменение значений входных воздействий для объекта. При этом минимизации негативного влияния отклонения входных воздействий на выходное воздействие можно достигнуть с использованием стабилизации найденного программного управления.
Существует множество подходов к решению данной проблемы, включая методы нечеткого управления [3, 4], адаптивного управления [5, 6]
и интеллектуальных алгоритмов [7, 8], которые имеют свои достоинства и недостатки. Главными недостатками адаптивного управления и интеллектуальных алгоритмов являются их высокая сложность и трудоемкость. В отличие от методов нечеткого управления, которые основаны на простых правилах и могут быть реализованы с помощью несложных математических операций, адаптивное управление и интеллектуальные алгоритмы требуют значительного количества вычислений и обработки больших объемов данных. Это делает их более затратными и менее эффективными в условиях, где требуется быстрая и точная реакция на изменяющиеся входные воздействия. Кроме того, сложные алгоритмы больше подвержены ошибкам, что также становится проблемой их применения в реальных системах управления. В свою очередь, нечеткое управление является наиболее перспективным, поскольку содержит легко модифицируемые к изменяющимся условиям правила, а также обладает простотой и интуитивностью. Применение нечеткого управления в интеллектуальных системах подразумевает использование отклонений реальных выходных состояний объекта от заданных значений для настройки коэффициентов пропорциональной, интегральной и дифференциальной составляющих нечеткого регулятора при формировании программного управления. Оригинальность предлагаемого подхода состоит в использовании нечеткой стабилизации для программного управления, позволяющей компенсировать влияние неопределенности входных воздействий на функционирование объекта.
Следует отметить, что в интеллектуальных системах для получения нечеткого управления применение метода дефаззификации, как правило, остается субъективным. Данное обстоятельство объясняется, во-первых, отсутствием единого оптимального метода дефаззификации для всех задач (зависит от конкретной задачи и требований к точности и скорости работы системы), во-вторых, опытом и предпочтениями разработчиков системы. Таким образом, разработка интеллектуальной системы для нечеткой стабилизации управления объектом в условиях неопределенности отклонения значений входных воздействий, реализующей выбор оптимального метода дефаззификации, является актуальной задачей.
Целью работы является обеспечение эффективного функционирования объекта при помощи интеллектуальной системы для нечеткой стабилизации управления в условиях неопределенности отклонения значений входных воздействий.
Структурный синтез интеллектуальной системы с нечеткой стабилизацией управления
На рис. 1 приведена структурная схема интеллектуальной системы с нечеткой стабилизацией управления.

Рис. 1. Структурная схема интеллектуальной системы с нечеткой стабилизацией управления:
U0 – программное управление; ΔU – стабилизирующее управление; U – результирующее управление;
X, Y – реальное входное и выходное воздействие; Xзад, Yзад – заданное входное и выходное воздействие;
ΔX – отклонение реального входного воздействия от заданного
Fig. 1. Block diagram of an intelligent system with fuzzy control stabilization:
U0 – program control; ΔU – stabilizing control; U – resulting control;
X, Y – real input and output influence; Xзад, Yзад – specified input and output influence;
ΔX – deviation of the real from the specified input influence
При помощи математической модели объекта управления для заданных значений входного Xзад
и выходного Yзад воздействий отыскивается программное управление U0. Для измерения неопределенности значений входных воздействий определяется отклонение ΔX реальных значений X от заданных Xзад:
ΔX = X – Xзад (1)
Отклонения в (1) используются в качестве входных лингвистических переменных для нечеткой стабилизации управления, состоящей из фаззификатора, базы знаний, механизма логического вывода и дефаззификатора. В качестве выходных лингвистических переменных выступает стабилизирующее управление ΔU.
Предлагается следующий метод расчета стабилизирующего управления в условиях предсказуемой неопределенности:
1. Задаются допустимые диапазоны изменения (1), а также соответствующие им значения термов и виды функций принадлежности.
2. Составляется нечеткая продукционная модель знаний для связи ΔX с ΔU на основе физических закономерностей протекания процесса в объекте с оптимизацией формы функций принадлежности для каждого из используемых методов его дефаззификации.
3. В текущий момент времени осуществляется выбор оптимального метода дефаззификации для оптимального стабилизирующего управления из принципа минимизации величины абсолютного отклонения результирующего значения выходного воздействия Y объекта от его прогнозируемого значения при фиксированных отклонениях (1) на всей длительности протекания процесса, т. е.
![]()
путем решения задачи:

где
– индекс оптимального метода дефаззификации для i-го измерения; N – индекс результирующего значения, соответствующего окончанию процесса; k – индекс метода дефаззификации, по которому получено ΔU; const – постоянное значение отклонения; i – индекс измерения.
Результирующее управление определяется как
(2)
и подается на объект.
Таким образом, научная новизна работы заключается в предложенном методе стабилизации управления, особенностью которого является динамический выбор оптимального метода дефаззификации с учетом прогнозируемой неопределенности входных воздействий на основе нечеткой логики. Предложенный метод нечеткой стабилизации управления реализован в интеллектуальной системе, для которой разработана структурная схема.
Пример реализации интеллектуальной системы с нечеткой стабилизацией управления
Рассмотрим пример реализации интеллектуальной системы с нечеткой стабилизацией управления для гальванического процесса.
Входным воздействием выступает
(3)
где T – длительность процесса; S – площадь детали; t – температура электролита; pH – кислотность электролита.
Выходным воздействием выступает
(4)
где δ – толщина гальванического покрытия на детали.
Результирующим управлением выступает
(5)
где I – результирующая сила тока; I0 – программная сила тока; ΔI – стабилизирующая сила тока, которая зависит от отклонений принятых в расчетах значений входных воздействий (2) и их реальных величин:
. (6)
Для поиска программной силы тока в (5) по заданным (3) и (4) используется математическая модель на законах Фарадея и Ома в дифференциальной форме, а также дифференциальном уравнении Лапласа, описывающем распределение потенциала в электролите [8, 9].
Нечеткая стабилизация силы тока (6) в управлении (5) осуществляется при помощи дефаззификации по методам [10]: 1) центр тяжести (centroid);
2) медиана (bisector); 3) центр максимумов (MOM); 4) наименьший из максимумов (SOM); 5) наибольший из максимумов (LOM).
Выбор оптимального метода дефаззификации для оптимального стабилизирующего управления выполняется на основе расчета прогнозируемого значения выходного воздействия Y объекта при постоянных отклонениях (1) и, как следствие, (6) на всей длительности протекания процесса, т. е.
,
где Э – электрохимический эквивалент; ρ – плотность металла; η – выход металла по току; Ii, Si, ti – сила тока, площадь детали, температура электролита для i-го измерения; Δτi – длительность промежутка времени между i-м и (i + 1)-м измерениями.
Вычислительный эксперимент
Работа интеллектуальной системы с нечеткой стабилизацией управления для гальванического процесса рассматривалась на примере никелирования в электролите Уоттса. Значения параметров, функций и переменных, используемые в расчетах, представлены в табл. 1.
Таблица 1
Table 1
Значения параметров, функций и переменных
Values of parameters, functions and variables
|
Тип |
Параметр |
Функция |
Переменная |
|||||
|
Обозначение |
Э, г/(A·с) |
ρ, г/дм3 |
Δτ, c |
η |
T, с |
S, дм2 |
t, ºC |
pH |
|
Значение |
3,042 · 104 |
8 900 |
60 |
0,07 + 0,14 · I / S + 0,04 · pH + 0,01t |
3 600 |
25 |
38,5 |
3,6 |
Поиск программного управления осуществлялся для δзад = 12 мкм с использованием Electrodeposition Module фирмы COMSOL Multiphysics [11].
Входные лингвистические переменные ΔT, ΔS, Δt, ΔpH имели значения термов: «отрицательное» («–»), «отсутствует» («0») и «положительное» («+»). Выходная лингвистическая переменная ΔI имела значения термов: «отрицательное» («–»), «слабо отрицательное» («–+»), «отсутствует» («0»), «слабо положительное» («+–»), «положительное» («+»). Диапазоны неопределенности изменения переменных представлены в табл. 2.
Таблица 2
Table 2
Диапазоны неопределенности изменения переменных
Uncertainty ranges of variable changes
|
Обозначение |
ΔTmin, с |
ΔTmax, с |
ΔSmin, дм2 |
ΔSmax, дм2 |
Δtmin, ºC |
Δtmax, ºC |
ΔpHmin |
ΔpHmax |
ΔImin, A |
ΔImax, A |
|
Значение |
–900 |
900 |
–15 |
15 |
–13,5 |
13,5 |
–1,7 |
1,7 |
–16 |
24 |
Нечеткая продукционная модель знаний име-
ла вид:
1) если (ΔT = «–» и ΔS = «–» и Δt = «–»
и ΔpH = «–») или (ΔT = «+» и ΔS = «–» и Δt = «+»
и ΔpH = «–»), то (ΔI = «–»);
2) если (ΔT = «0» и ΔS = «–» и Δt = «–»
и ΔpH = «+») или (ΔT = «+» и ΔS = «0» и Δt = «+»
и ΔpH = «+»), то (ΔI = «–+»);
3) если (ΔT = «0» и ΔS = «0» и Δt = «0»
и ΔpH = «0») или (ΔT = «+» и ΔS = «0» и Δt = «–»
и ΔpH = «+»), то (ΔI = «0»);
4) если (ΔT = «0» и ΔS = «+» и Δt = «–»
и ΔpH = «+») или (ΔT = «–» и ΔS = «0» и Δt = «+»
и ΔpH = «+»), то (ΔI = «+–»);
5) если (ΔT = «+» и ΔS = «+» и Δt = «–»
и ΔpH = «–») или (ΔT = «–» и ΔS = «+» и Δt = «+»
и ΔpH = «–»), то (ΔI = «+»).
Нечеткий вывод производился по алгоритму Мамдани с использованием треугольной нормы и конормы Заде. Нечеткая настройка стабилизирующего управления для выбранных методов дефаззификации (k = 1, …, 5, где 1) центр тяжести (centroid); 2) медиана (bisector); 3) центр максимумов (MOM); 4) наименьший из максимумов (SOM); 5) наибольший из максимумов (LOM)), осуществлялась с использованием разработанного программного обеспечения на языке python посредством функции curve_fit библиотеки scipy и функции defuzz библиотеки skfuzzy [12].
Поиск стабилизирующего управления ΔI реализовывался для постоянных значений ΔT = 641 с, ΔS = 2,37 дм2 и случайных процессов для Δt с математическим ожиданием 1,03 ºC и дисперсией 127,2 ºC2, а также для ΔpH с математическим ожиданием –0,03 и дисперсией 2,15.
Анализ полученных результатов
В результате поиска программного управления гальваническим процессом (при нулевых отклонениях ΔT, ΔS, Δt и ΔpH) найдена сила тока I0 = 36 А, которая обеспечивает значение толщины покрытия δ = 12,1 мкм.
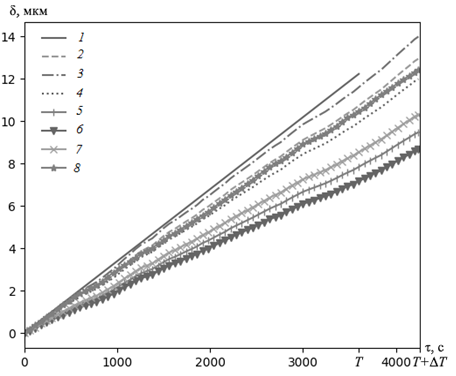
На рис. 2 приводятся результаты управления гальваническим процессом (при заданных отклонениях ΔT, ΔS, Δt и ΔpH) со стабилизацией силы тока I0 на величину ΔI, рассчитанную с использованием выбранных методов дефаззификации (обозначения для протекающих процессов:
1 – при нулевых отклонениях;
2 – при заданных отклонениях и без стабилизации;
3 – при заданных отклонениях и со стабилизацией по методу centroid;
4 – при заданных отклонениях и со стабилизацией по методу bisector;
5 – при заданных отклонениях и со стабилизацией по методу MOM;
6 – при заданных отклонениях и со стабилизацией по методу SOM;
7 – при заданных отклонениях и со стабилизацией по методу LOM;
8 – при заданных отклонениях и со стабилизацией по предлагаемому методу).
|
а |
б |
Рис. 2. Результаты управления гальваническим процессом: a – изменение силы тока; б – увеличение толщины покрытия
Fig. 2. Results of electroplating process control: a – change in current; б – increase in coating thickness
Результирующее значение силы тока I по предлагаемому методу имеет импульсный вид (см. рис. 2), что, как известно, оказывает положительный эффект на толщину получаемого покрытия.
На рис. 3 приводится результат выбора методов дефаззификации в условиях неопределенности (при заданных отклонениях) значений входных
переменных.

Рис. 3. Результат выбора методов дефаззификации в условиях неопределенности
Fig. 3. The result of choosing defuzzification methods under conditions of uncertainty
Из рис. 3. следует, что в предлагаемом методе используется дефаззификация по centroid 34 раза (47,9 %), по bisector – 19 раз (26,8 %), по LOM –
18 раз (25,3 %). Методы MOM и SOM не выбирались ни разу.
В табл. 3 приводятся значения полученной толщины покрытия для гальванического процесса без стабилизации программного управления и со стабилизацией по различным методам дефаззификации.
Таблица 3
Table 3
Полученная толщина покрытия для гальванического процесса
Obtained coating thickness for electroplating process
|
Переменная |
Без стабилизации управления |
Со стабилизацией управления по методу дефаззификации |
|||||
|
centroid |
bisector |
MOM |
SOM |
LOM |
предлагаемый |
||
|
δ, мкм |
12,9 |
13,9 |
12,8 |
9,5 |
8,7 |
10,3 |
12,4 |
Из табл. 3 следует, что предлагаемый подход к управлению гальваническим процессом с выбором метода дефаззификации дает наилучший результат (относительное отклонение 2,5 %). Следующий результат имеет управление с дефаззификацией по методу bisector (относительное отклонение 5,8 %). Дефаззификация по методу centroid занимает только третье место (относительное отклонение 14,9 %), при этом являясь традиционным в интеллектуальных системах управления на базе нечеткой логики, но уступая случаю, когда стабилизация силы тока не производится (относительное отклонение 6,6 %). Дефаззификация по методам MOM, SOM и LOM не обеспечивает выполнение условия δ > δmin, поэтому не может использоваться в процессе управления самостоятельно.
Заключение
Предложенная интеллектуальная система способна адаптироваться к изменяющимся условиям функционирования объектов, вызванных неопределенностью входных воздействий, путем динамического выбора оптимального метода дефаззификации для нечеткой стабилизации управления. В свою очередь, увеличение количества учитываемых неопределенностей для входных воздействий путем добавления соответствующих правил в продукционную модель знаний обеспечивает масштабируемость стабилизирующего управления. Данные обстоятельства позволяют организовать более эффективную работу объекта, что является особенно актуальным для сложных и многозадачных систем, в которых требуется высокая точность и скорость реакции. Дальнейшее совершенствование рассмотренной интеллектуальной системы будет являться перспективным направлением в развитии технологий нечеткого управления, способствующим повышению уровня автоматизации функционирования объектов при неопределенности входных воздействий, для различных сфер их применения.
1. Черешко А. А., Шундерюк М. М. Границы применимости алгоритмов усовершенствованного управления с прогнозирующей моделью в условиях неопределенности объекта управления // Проблемы управления. 2020. № 1. С. 17-23.
2. Гулюкина С. И., Уткин В. А. Задача управления парогенератором в условиях неопределенности при ограничениях на фазовые переменные и управления // Изв. Рос. акад. наук. Теория и системы управления. 2023. № 2. С. 123-139.
3. Санаева Г. Н., Пророков А. Е., Богатиков В. Н., Вент Д. П. Иерархическая система нечеткого регулирования процесса получения ацетилена окислительным пиролизом природного газа // Вестн. Астрахан. гос. техн. ун-та. Сер.: Управление, вычислительная техника и информатика. 2020. № 1. С. 7-17.
4. Аббасипаям С., Мокрова Н. В. Нечеткая логика и интеллектуальное управление инженерными система-ми зданий // Вестн. Астрахан. гос. техн. ун-та. Сер.: Управление, вычислительная техника и информатика. 2022. № 1. С. 22-32.
5. Попов А. М., Филатов В. И., Жулего В. А., Бонч-Бруевич А. М. Метод адаптивного управления устойчивым состоянием автоматизированной системы управления в условиях ограничения времени управляющего воздействия // Проблемы машиностроения и надежности машин. 2022. № 6. С. 97-103.
6. Sinyavsky Yu., Kirillova E. Intelligent control algo-rithm for autonomous integrated power plants for Arctic regions // Journal of Applied Informatics. 2021. V. 16, no. 4. P. 74-82.
7. Баранов Н. Е., Феофанов А. Н. Построение автоматизированных систем управления производством с использованием методов адаптивного управления // Вестн. МГТУ «Станкин». 2022. № 3 (62). С. 22-25.
8. Thiyanaratnam P., Caflisch R., Motta P. S., Judy J. W. Modeling, Simulation, and Design for a Customizable Electrodeposition Process // SIAM Journal on Applied Mathematics. 2009. V. 69 (4). P. 1043-1064.
9. Yang G., Deng D., Zhang Y., Zhu Q., Cai J. Numeri-cal Optimization of Electrodeposition Thickness Uniformity with Respect to the Layout of Anode and Cathode // Electrocatalysis. 2021. V. 12. P. 478-488.
10. Леденева Т. М., Кутарева М. С. Методы дефаззификации в моделях нечеткого выбора // Вестн. Воронеж. гос. техн. ун-та. 2007. Т. 3, № 1. С. 78-82.
11. Giaccherini A., Caporali S., Berretti E., Marcantelli P., Sanzari I., Perissi I., Innocenti M. Finite Elements Analysis of an Electrochemical Coating Process of an Irregularly Shaped Cathode with COMSOL Multiphysics® // ECS Transactions. 2015. V. 64. P. 1-8.
12. Свидетельство о гос. регистрации программ для ЭВМ № 2021669512. Нечеткое управление динамическим процессом на основе коррекции величины установки с использованием комбинированного метода дефаззификации / Д. С. Соловьев, И. А. Соловьева, В. А. Цибизов, заяв. № 2021669177; зарег. 30.11.2021.





