Россия
Россия
УДК 519.87 Математические модели исследования операций
Обосновывается актуальность исследования математической модели и схемы замещения трансформатора, поскольку трансформаторы являются важнейшим звеном любой электроэнергетической системы, в том числе систем управления и эксплуатации морских промысловых и транспортных судов и стационарных морских технологических комплексов. Проведен анализ общепринятой теории трансформаторов, выявлены ошибочные выводы и утверждения, усложняющие, а в ряде случаев искажающие суть и взаимосвязь электромагнитных взаимодействий в устройстве. В частности, внесение в уравнение Кирхгофа для вторичной обмотки напряжения Ů2 наряду с присутствием в нем ЭДС Ė2 создает иллюзию, что вторичная обмотка имеет собственный независимый источник питания. Эта иллюзия усиливается физико-логической схемой, четко указывающей на то, что Ů2, находясь в зоне нагрузки, формирует ток İ2. Ошибочным является и фактически декларативное утверждение о том, что магнитные потоки первичной и вторичной обмоток включены согласованно, что приводит к целому ряду ошибочных выводов. Исключение из математической модели магнитных потоков, индуцируемых изолированными друг от друга токами обмоток, не позволяет анализировать влияние электромагнитных процессов во вторичной обмотке на процессы в первичной. Ряд этих и других положений и выводов в общепринятой теории вызывает необходимость ее критического анализа и изучения. Предлагаются отличающиеся от общепринятых подходы к формированию математической модели и схемы замещения трансформаторов, которые приводят к существенно иному их составу и содержанию.
трансформатор, математическая модель, энергетический баланс, структурно-логическая схема, схема замещения трансформатора
Введение
Электрические трансформаторы являются важнейшим элементом электроэнергетических систем, в том числе систем электроуправления и электродвижения всех видов транспортных средств, включая как морские промысловые и транспортные суда, так и стационарные морские технологические комплексы. В этой связи четкое понимание электромагнитных процессов, имеющих место в трансформаторах, во всем диапазоне, в том числе ударных, нагрузок, способность предвидеть влияние этих нагрузок на состояние и реакции трансформатора как элемента единой электроэнергетической системы является важнейшим показателем компетентности обслуживающего персонала.
Математическая модель и схема замещения должны быть четко аргументированными, понимаемыми и позволяющими использовать их при прогнозировании работы электроэнергетических систем при их практической эксплуатации.
К сожалению, общепринятая математическая модель и соответствующая эквивалентная схема замещения трансформатора по целому ряду причин вышеперечисленные требования удовлетворяют лишь частично. И к уравнениям в составе математической модели, и к формируемой ими схеме замещения возникает целый ряд вопросов, требующих серьезного осмысления и поиска убедительных ответов на них.
В предлагаемой статье проводится критический анализ общепринятой математической модели трансформатора и формируемой на ее основе эквивалентной электрической схемы, четкое и осознанное понимание которых и составляют основу грамотной эксплуатации электроэнергетических систем.
Предлагается отличающаяся от общепринятой модель и схема замещения трансформатора, которые в полной мере описывают все электромагнитные процессы в трансформаторе и позволяют принимать решения по их управлению. В основу теории положены фундаментальные классические законы электрофизики.
Математическая модель трансформатора
Практически во всех случаях [1, 2], хотя и с некоторыми, не являющимися принципиальными вариациями, математическая модель трансформатора представляется следующим составом уравнений [1]:
К сожалению, при внешней стройности предлагаемой модели к ней возникает ряд вопросов, требующих пояснений. В частности, вопрос о составе и смысловом содержании уравнения Кирхгофа для вторичной обмотки. Например, трудно понять, что во втором уравнении представляет собой напряжение
В уравнении второго закона Кирхгофа напряжение
занимает место, по смыслу отводимое для источников питания, а физико-логическая схема электромагнитных процессов в трансформаторе [1] однозначно указывает на то, что напряжение
, находясь в зоне нагрузки, формирует ток İ2 (
),
т. е. является источником питания вторичной обмотки.
К данному выводу приводит и направление тока İ2 в общепринятой схеме замещения трансформатора. Однако это аксиома: единственной причиной возникновения тока İ2 является индуцируемая током İ1 и потоком
ЭДС взаимоиндукции
Серьезных обоснований требует введение в состав математической модели понятия комплексной магнитной проводимости стали сердечника.
В соответствии с классической теорией электромагнетизма [3] и теорией электрических цепей [4] магнитное сопротивление магнитной цепи с длиной средней линии ℓ и сечением s рассчитывается как
, где µ – абсолютная магнитная проницаемость среды: µ = µiµ0. Здесь µ0 = 4π · 10–7 – скалярная величина, Гн/м, называемая магнитной постоянной, равная магнитной проницаемости вакуума. Величина µi – относительная магнитная проницаемость магнетика – безразмерная скалярная величина, в выражении
показывающая, во сколько раз магнитная индукция в веществе больше, чем в вакууме [3]. Поскольку µ = µiµ0 – скалярная величина, векторы и
в сердечнике стали по фазе совпадают. Это однозначно приводит к тому, что электрический ток и формируемый им в сердечнике стали магнитный поток по фазе во всех случаях совпадают.
Таким образом, нет никаких оснований для того, чтобы считать магнитную проводимость сердечника стали комплексной величиной с разложением ее на активную и реактивную составляющие, т. е. это заблуждение.
Магнитные потоки в сердечнике трансформатора
В состав предлагаемой математической модели включен только один общий для обеих обмоток магнитный поток
. Как известно, любой электрический ток немыслим без сопровождающего его магнитного потока. Взаимно однозначное соответствие между током и формируемым им магнитным потоком фиксируется законом полного тока [3, 4]. Поскольку первичная и вторичная обмотки электрически друг от друга изолированы, токи в каждой из них формируют собственные магнитные потоки
и
. При этом следует понимать, что общий магнитный поток в сердечнике трансформатора формируется не только токами проводимости в каждой обмотке, но вихревыми и внутримолекулярными токами в стали [3]. Каждый из этих потоков выполняет в трансформаторе свою функцию, оказывая влияние не только на величину, но и, что важно, на начальную фазу общего потока. Исключение из состава математической модели реально существующих магнитных потоков, связанных каждый со своим током, искажает и состав, и содержание электромагнитных взаимодействий в трансформаторе.
Магнитные потоки
и
имеют место в общем для них сердечнике, следовательно, формируют общий магнитный поток. В соответствии с предлагаемой математической моделью этот поток формируется МДС:
; следовательно,
. Таким образом, без каких-либо пояснений декларативно утверждается, что первичная и вторичная обмотки в их магнитной связи соединены согласованно.
К сожалению, существует много причин усомниться в справедливости данного утверждения. В частности, из
следует, что в режиме холостого хода (İ2 = 0) общий магнитный поток имеет минимальную величину
и с появлением тока İ2 начинает однонаправленно возрастать, при İ2 = İ2ном достигая своей максимальной величины. Однако практика эксплуатации трансформаторов доказывает, что во всем диапазоне рабочих нагрузок магнитный поток в сердечнике остается практически неизменным, равным магнитному потоку в режиме холостого хода.
Детальный анализ работы трансформатора на основе законов полного тока, Фарадея об электромагнитной индукции и Ленца об индукционных токах [3] убедительно указывает на то, что первичная и вторичная обмотки трансформатора соединены встречно. Этот факт однозначно фиксируется законом (правилом) Ленца [3]: «Индукционный ток в контуре (в нашем случае ток İ2, формируемый магнитным потоком
) всегда имеет такое направление, что создаваемый этим током магнитный поток (в нашем случае
) сквозь поверхность, ограниченную контуром (в нашем случае витками вторичной обмотки), препятствует (направлен навстречу) магнитному потоку, который вызвал появление этого индукционного тока (в нашем случае потоку
)». Но в таком случае результирующий общий магнитный поток равен не сумме, а разности потоков, т. е.
. Именно этот факт и лежит в основе общепринятого: ток İ2 в обмотке ротора размагничивает сердечник. Понятно, что размагничивание сердечника на самом деле не происходит, поскольку появление после режима холостого хода при
встречного потока
приводит к уменьшению потока
. Но уменьшение
, формирующего в первичной обмотке все реактивные сопротивления, неизбежно приводит к уменьшению сопротивления (Z11 = R11, Z11 = R11 + jX11) обмотки, следовательно, к увеличению тока İ1 и к росту потока
с компенсацией размагничивающего действия тока İ2. Это значит, что встречное включение обмоток превращает трансформатор в саморегулирующуюся электроэнергетическую систему: любое изменение нагрузки (тока İ2) автоматически приводит к соответствующему изменению тока İ1 с сохранением энергетического баланса при всех рабочих режимах.
Cтруктурно-логическая схема электромагнитных взаимодействий в трансформаторе
В ряду проблем, которые необходимо решить при формировании математической модели трансформатора, одной из важнейших является необходимость полного понимания логики причинно-следственных связей электромагнитных явлений, возникающих в трансформаторах при их эксплуатации.
Состав электромагнитных явлений в трансформаторе в их взаимодействии, формируемый классическими законами электрофизики, представлен на рис. 1.
Рис. 1. Состав электромагнитных явлений в трансформаторе: ЭМИ – электромагнитная индукция; ПТ – полный ток
Fig. 1. Composition of electromagnetic phenomena in the transformer: ЭМИ - electromagnetic induction; ПT - full current
Источником питания трансформатора является ЭДС Ėстор внешнего источника питания, формирующая на зажимах первичной обмотки входное напряжение
. Под воздействием этого напряжения в первичной обмотке в соответствии с законом Ома появляется ток İ1 и формируемый им магнитный поток
. Этот ток и поток в трансформаторе выполняют функцию носителя (переносчика) энергии по всем участкам устройства с формированием в них активных и реактивных сопротивлений. Непосредственным переносчиком энергии из первичной обмотки во вторичную является формируемый током İ1 магнитный поток
. Таким образом, во вторичной обмотке, электрически изолированной от первичной, появляется собственный источник питания с ЭДС Ė2 = ĖМ12, получающий энергию от общего источника питания трансформатора .
На схеме (рис. 1) обозначения над стрелками (Ом, ПТ, ЭМИ) условно означают законы Ома, полного тока и электромагнитной индукции, формирующие движение энергии вдоль электромагнитной цепи трансформатора.
Электрический ток İ2 = Ė2 / Z22, подобно току İ1 в первичной, формирует все электромагнитные процессы во вторичной обмотке, начиная с формирования собственного магнитного потока
. Последовательность и логика возникающих при этом электромагнитных явлений полностью повторяет последовательность и логику процессов в первичной обмотке, включая формирование в ней ЭДС взаимоиндукции ĖМ21, переносимую в первичную обмотку и выполняющую роль дополнительного источника питания трансформатора с энергией, возвращаемой в первичную обмотку магнитной связью. Эта ЭДС и приводит
к увеличению тока
с компенсацией размагничивающего действия тока ротора.
Вихревые магнитные потоки и потоки рассеяния, формируемые токами обмоток, и потоки, индуцируемые внутримолекулярными токами, и их взаимодействие с основными потоками
и
здесь не рассматриваются.
Энергетический баланс и математическая модель трансформатора
Структурно-логическая схема электромагнитных взаимодействий в обмотках позволяет сформировать энергетический баланс и уравнения электрического равновесия, составляющие основу математической модели трансформатора.
Согласно схеме на рис. 1 энергетический баланс трансформатора может быть представлен в следующем виде:
где Р11 – активная мощность (энергия), изымаемая током İ1 из источника питания
с превращением ее в тепловые потери в обмотке; Р22 – активная мощность, учитывающая тепловые потери и активную мощность, передаваемую в нагрузку; Q11 и Q22 – реактивная мощность, аккумулируемая в реактивных сопротивлениях обмоток и нагрузки; QМ12 и QМ21 – мощности (энергия), формируемые в обмотках за счет энергии их источников питания и переносимые на принципах взаимной индукции магнитными потоками
(из первичной обмотки во вторичную) и
(из вторичной в первичную) с формированием в них вносимых ЭДС
и аккумулированием энергии в сопротивлениях ХМ21 и ХМ12 в этих обмотках.
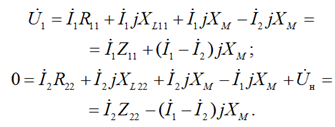
В соответствии со схемой на рис. 1 и балансом мощностей (энергии) уравнения Кирхгофа для первой и второй обмоток, являющихся прямым следствием уравнений энергетического баланса в обмотках трансформатора, принимают вид:
В состав R11 и R22 включены сопротивления, вносимые в обмотки тепловыми потерями от гистерезиса и вихревых токов, формируемых магнитными потоками
и
.
В состав XL11 и XL22 внесены сопротивления Xσ1 и Xσ2, формируемые магнитными потоками в каждой обмотке.
Если ЭДС взаимоиндукции
перевести в состав соответствующих падений напряжений и перенести эти слагаемые в правую часть уравнений, получим:
(1)
Эти уравнения, сопровождаются очевидными дополнительными:
(2)
В совокупности уравнения (1) и (2) и составляют математическую модель трансформатора, полностью описывающую все электромагнитные процессы и явления в нем.
Единая электрическая схема трансформатора, свободная от магнитных связей, соответствующая предлагаемой математической модели, представлена на рис. 2.
Рис. 2. Электрическая схема трансформатора, свободная от магнитных связей
Fig. 2. Transformer electrical circuit free from magnetic couplings
Приведенная на рис. 2 схема отличается от общепринятой тем, что она скомпонована из реальных активных и реактивных сопротивлений с реальными токами и напряжениями, имеющими место во вторичной обмотке. При этом направления тока в обмотке теперь полностью соответствуют логике и правилам формирования направлений токов в параллельно-последовательной цепи с одним источником питания на входе и устраняет ложное впечатление о наличии источника питания обмотки на стороне нагрузки.
Поскольку предлагаемая схема замещения трансформатора сформирована без приведения числа витков вторичной обмотки к числу витков первичной, она легко может быть включена в любую схему сколь угодно сложной распределительной электроэнергетической сети без перерасчета ее параметров.
Легко видеть, что приведение чисел витков обмоток в конечном итоге сводится к простому умножению слагаемых уравнения вторичной обмотки на коэффициент трансформации. Но этот простой прием решения системы алгебраических уравнений может быть выполнен на любом этапе расчета с умножением уравнения обмотки на любое (10, 100, 1000, ...) удобное число, выравнивающее порядок чисел, уравнений. Что касается построения векторных диаграмм, оно может сопровождаться выбором разных масштабов для векторов обмоток.
Заключение
Необходимо отметить, что предложение отличной от общепринятых вариантов математической модели и схемы замещения, составляющих фундамент всей теории трансформаторов, ни в какой мере не отрицает общепризнанной, на протяжении десятилетий успешно используемой в теории трансформаторов.
В настоящей статье представлен повод для размышлений, анализа, дискуссий, в результате которых на базе фундаментальных законов электрофизики и теории электрических цепей, знаний и опыта ученых и практических работников, занимающихся проектированием и эксплуатацией электроэнергетических систем, будет сформирована безупречная с позиций современных требований и тенденций теория трансформаторов как важнейших элементов электроэнергетики.
1. Вольдек А. И., Попов В. В. Электрические машины. Т. 1. Введение в электромеханику. Машины постоянного тока и трансформаторы. СПб.: Питер, 2008. 320 с.
2. Копылов И. П. Электрические машины. М.: Юрайт, 2019. 267 с.
3. Яворский Б. М., Яворский Б. М., Детлаф А. А., Лебедев А. К. Справочник по физике для инженеров и студентов вузов. М.: Оникс; Мир и образование, 2006. 1056 с.
4. Демирчан К. С., Нейман Л. Р., Коровкин Н. В. Теоретические основы электротехники. СПб.: Питер, 2008. 320 с.



