Предлагается разработанный на основе метода Data Envelopment Analysis (DEA) новый подход к расчету оценок ресурсного потенциала комбинаций «хранилище нефтесодержащих отходов (НСО) – технология переработки» в составе системы переработки НСО. Разработан двухэтапный алгоритм расчета, на первом этапе которого рассчитывается оценка ресурсной ценности НСО в хранилищах известным способом, а на втором этапе с использованием моделей BCC и Super-efficiency метода DEА определяются оценки ресурсного потенциала объектов системы с постоянным, убывающим или возрастающим эффектом масштаба. В зависимости от ранжировки полученных оценок ресурсного потенциала объектов сравнения в системе и эффекта масштаба определяется очередность переработки НСО в хранилищах соответствующими технологиями. Разработанный порядок управления переработкой отходов в системе позволяет принимать обоснованные операционные и тактические решения по результатам решения двух оптимизационных задач по критериям: повышения ресурсного потенциала объектов системы и сокращения времени переработки. Апробация разработанного подхода проведена на примере системы переработки НСО, включающей 10 технологий и 20 хранилищ, расположенных на территории Самарской области. Предлагаемый подход может быть распространен на другие регионы Российской Федерации для принятия обоснованных управленческих решений в системах переработки НСО.
ресурсный потенциал, нефтесодержащие отходы, хранилище, переработка, data envelopment analysis, принятие решений, переменный эффект масштаба
Введение
Объем нефтесодержащих отходов (НСО), накопленный в России к 2023 г., составляет около 300 млн т [1, 2]. Несмотря на повышение эффективности процессов утилизации и обезвреживания НСО отдельными нефтегазодобывающими компаниями страны [3], ежегодный прирост отходов, которые не утилизируются по различным причинам [4],
а размещаются в специальных хранилищах, составляет до 7 млн т [5]. Доля переработки НСО с целью их вторичного использования в России не превышает 10 %, тогда как за рубежом эта доля достигает 90 % [6]. Причинами этого можно считать отсутствие в Российской Федерации соответствующих законодательно утвержденных нормативов утилизации и обезвреживания НСО, недостаточно развитые отечественные технологии переработки, а также отсутствие целевого системного подхода к проблемам ресурсосбережения в этой области.
Проблемам обращения с различными отходами, в том числе и нефтесодержащими, в рамках концепции экономики замкнутого цикла посвящено множество различных исследований [7–9]. Одной из главных задач в рамках этой концепции является создание закрытых циклов производства, в которых ресурсы используются максимально полно и эффективно, что приводит к отсутствию накоплений отходов [10]. В настоящий момент отсутствуют готовые комплексные системные решения по переработке НСО, которые бы учитывали не только эффективность технологий с точки зрения извлечения из отхода полезных углеводородов, но и наличие в отходах вредных примесей и компонентов, негативно влияющих на окружающую среду.
Предлагается рассматривать технологии переработки, хранилища НСО и соответствующую инфраструктуру в качестве системы, обеспечивающей замкнутый цикл переработки отходов. Комбинации «хранилище НСО – технология переработки» рассматриваются в качестве объектов такой системы, а обеспечивающая инфраструктура учитывается при определении основных характеристик процесса переработки отходов. При анализе функционирования системы переработки НСО предлагается оценивать и выбирать наилучшую комбинацию по различным критериям эффективности для принятия обоснованных управленческих решений, где основная сложность заключается в необходимости учета ресурсной ценности отходов в хранилищах и ресурсного потенциала объектов системы. Ресурсная ценность характеризует степень пригодности НСО для использования в качестве материальных ресурсов в технологиях вторичной переработки и представляет собой количественную оценку компонентного состава отхода в хранилище. Ресурсный потенциал отходов в хранилище характеризует комплексный количественный показатель возможности их эффективного вторичного использования. Ресурсный потенциал технологии количественно характеризует эффективность ее применения для извлечения полезных вторичных продуктов из отходов в процессе переработки.
Авторами предложены подходы к определению оценок ресурсной ценности НСО [11] и ресурсного потенциала [12–14] на основе известного метода Data Envelopment Analysis (DEA) [15]. В [14] предложено определять ресурсный потенциал комбинаций «хранилище НСО – технология переработки» (объектов) в системе с учетом ресурсной ценности отходов в соответствующем хранилище. Ресурсный потенциал объектов системы позволяет определить оптимальные технологии, позволяющие максимально эффективно извлекать ценные ресурсы из НСО в хранилищах. Указанный подход основан на базовой модели CCR метода DEA [16] с постоянным эффектом масштаба и не учитывает потенциальные возможности повышения эффективности переработки за счет учета переменного эффекта масштаба. Под эффектом масштаба понимаются потенциально возможные изменения объема получаемых из НСО полезных продуктов (в основном углеводородов), необходимых для рециклинга, при соответствующем изменении затрат на переработку: времени, расхода реагентов и энергии (топлива). Связанный с эффектом масштаба процесс принятия управленческих решений в системе может влиять на рост накопления отходов в соответствующих хранилищах с целью повышения эффективности дальнейшей переработки для извлечения большего объема полезных ресурсов.
В статье предлагается новый подход к определению оценок ресурсного потенциала комбинаций «хранилище НСО – технология переработки» на основе модели BCC метода DEA с переменным эффектом масштаба (постоянный, возрастающий или убывающий) [17]. Правила распределения объектов в системе по рассчитываемому эффекту масштаба будут представлены в следующем разделе.
Оценка ресурсного потенциала с учетом переменного эффекта масштаба
Предлагаемый новый способ определения оценок ресурсного потенциала объектов системы переработки НСО с переменным эффектом масштаба, основанный на двухэтапном подходе, рассмотренном в [14], может быть представлен в виде алгоритма (рис. 1).

Рис. 1. Алгоритм определения оценок ресурсного потенциала объектов
системы переработки НСО с переменным эффектом масштаба
Fig. 1. Algorithm of determining the estimates of the resource potential of objects of the oil-contaminated wastes recycling system with variable scale effects
Исходными данными для расчета оценок ресурсной ценности НСО в хранилищах, определяемых на первом этапе, является средневзвешенное содержание компонентов НСО: воды, асфальтенов и смол, минеральных и механических примесей, серы и углеводородов. Постановка линейной задачи математического программирования (ЗМП) для определения оценок
ресурсной ценности НСО в N хранилищах на основе модели CCR метода DEА подробно рассмотрена в [11]. Получаемые в ходе решения N ЗМП, для каждого j-го хранилища отдельно, оценки
ресурсной ценности НСО используются для расчета оценок
ресурсной ценности НСО в соответствующих ЗМП на основе модели Super-efficiency метода DEА, постановка которых подробно была рассмотрена в [14]. В результате оценка
характеризует ресурсную ценность НСО в j-м хранилище, входящем в анализируемую систему переработки НСО, и используется в дальнейшем как сравнительный параметр при определении оценок ресурсного потенциала объектов системы.
На втором этапе сначала определяются оценки
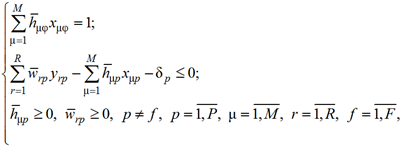
ресурсного потенциала комбинаций «хранилище НСО – технология переработки» на основе модели BCC метода DEA, характеризующей переменный эффект масштаба и ориентированной на изменение входных параметров. Постановка соответствующей ЗМП может быть представлена в виде
(1)
при условии
(2)
где
– оценка ресурсного потенциала p-й комбинации «хранилище НСО – технология переработки» с учетом переменного эффекта масштаба,
; R – число анализируемых входных параметров; P – общее число возможных комбинаций (объектов сравнения) в системе, включающей N хранилищ и T технологий переработки НСО;
– индекс целевого объекта сравнения из множества
, ресурсный потенциал которого оценивается; hμφ и wrφ – весовые коэффициенты для входных и выходных параметров целевого объекта сравнения соответственно; H – область допустимых значений весовых коэффициентов hμφ и hμp входных параметров; W – область допустимых значений весовых коэффициентов wrφ и wrp выходных параметров;
и
– значения входных и выходных параметров для целевого объекта в анализируемой системе соответственно; M – число анализируемых выходных параметров;
– значения входных и выходных параметров для каждого p-го объекта,
;
– весовые коэффициенты для входных и выходных параметров соответственно;
– свободная переменная, величина или знак которой характеризует тип эффекта масштаба для р-го объекта сравнения:
– при
наблюдается постоянный эффект масштаба, означающий пропорциональное изменение входных
параметров в (1), (2);
– при
наблюдается убывающий эффект масштаба, означающий, что изменение входных параметров
приводит к относительно меньшему изменению выходных параметров
в (1), (2);
– при
наблюдается возрастающий эффект масштаба, означающий, что изменение входных параметров приводит к относительно большему изменению выходных параметров
в (1), (2).
В задачах математического программирования (1), (2) входными параметрами
увеличение которых приводит к снижению оценки ресурсного потенциала объектов системы, являются
– масса реагентов, т;
– расход энергии (топлива), т. Выходными параметрами
увеличение которых приводит к увеличению оценки ресурсного потенциала объектов системы, являются
– масса полезных продуктов рециклинга, т;
– соответствующая оценка ресурсной ценности НСО в j-м хранилище, полученная в ходе решения соответствующей ЗМП, рассмотренной в [14].
Задача математического программирования
в форме (1), (2) решается P раз, т. е. для каждого
р-го объекта сравнения отдельно, при этом рассчитываются значения
. Относительные оценки
ресурсного потенциала объектов системы переработки принадлежат интервалу (0; 1]. Объекты, получившие максимальные оценки
, образуют границу эффективности и являются наилучшими в анализируемой группе, но могут иметь переменный эффект масштаба, что можно дополнительно учитывать при формировании управляющих решений в системе переработки НСО.
Для определения наилучшей комбинации «хранилище НСО – технология переработки» в анализируемой системе предлагается использовать модель Super-efficiency метода DEА [18]. Постановка соответствующей ЗМП для определения оценок ресурсного потенциала с переменным эффектом масштаба может быть представлена в виде
(3)
при условии
(4)
где
– оценка ресурсного потенциала p-й комбинации «хранилище НСО – технология переработки» на основе модели Super-efficiency
с переменным эффектом масштаба, ![]()
– весовые коэффициенты для входных и выходных параметров соответственно; f – порядковый номер объекта с оценкой ресурсного потенциала
полученной на основе решения ЗМП (1), (2) в анализируемой группе из P объектов; F – число объектов со значением оценки
. Таким образом, объекты с индексом f исключаются из системы ограничений (4).
Задача математического программирования в форме (3), (4) решается P раз, т. е. для каждого р-го объекта сравнения отдельно, при этом рассчитываются значения
, за исключением коэффициентов
, которые получены на основе решения ЗМП (1), (2). Максимальная оценка
ресурсного потенциала принадлежит интервалу (0; ∞) и соответствует наилучшей комбинации «хранилище НСО – технология переработки» с учетом переменного эффекта масштаба. Свободная переменная δφ = δp имеет такое же значение, что и в ЗМП (1), (2), следовательно, эффект масштаба для сравниваемых объектов в ЗМП (3), (4) остается неизменным.
Полученные результаты решения ЗМП (3), (4) используются в системе поддержки принятия решений на операционном и тактическом уровне. Операционные решения основаны на ранжировании P комбинаций «хранилище НСО – технология переработки» по соответствующей величине оценки
ресурсного потенциала с переменным эффектом масштаба: чем больше оценка
, тем выше эффективность от переработки. При этом следует учитывать, что в системе переработки НСО анализируются все возможные комбинации хранилищ отходов и технологий, поэтому невозможно повторно переработать отход из одного и того же хранилища различными технологиями. Для технологий повторное использование допустимо, если ограничение на общее время переработки НСО в системе не устанавливается.
Рассчитанный эффект масштаба при соответствующей ранжированной оценке
ресурсного потенциала р-й комбинации «хранилище НСО – технология переработки» может влиять на операционные решения следующим образом:
– если определен убывающий эффект масштаба, то переработку НСО в j-м хранилище необходимо проводить в первую очередь, т. к. иначе при потенциальном увеличении объема НСО в этом хранилище будет наблюдаться снижение соответствующего объема полезных продуктов после переработки с использованием m-й технологии в будущем;
– если определен постоянный эффект масштаба, то переработку НСО в j-м хранилище необходимо проводить во вторую очередь, т. к. это означает, что соотношение объема затраченных ресурсов с использованием m-й технологии пропорционально объему полученных полезных продуктов;
– если наблюдается возрастающий эффект масштаба, то переработку НСО в j-м хранилище лучше отложить и продолжить накапливать в нем отходы, чтобы иметь потенциальную возможность увеличения объема полезных продуктов после переработки с использованием m-й технологии в будущем, т. е. это управленческое решение является тактическим, рассчитанным на более длительный период исполнения. Для определения эффективной длительности накопления НСО в хранилищах требуется построение соответствующих математических моделей либо проведение экспериментальных исследований, которые в рамках предлагаемого подхода не рассматриваются.
При постоянном и убывающем эффекте масштаба тактические решения совпадают с операционными. Совокупность принимаемых управленческих решений формирует оптимальный порядок переработки НСО в хранилищах, максимально эффективно использующий ресурсную ценность отходов и ресурсный потенциал объектов системы
с учетом переменного эффекта масштаба.
Анализ результатов
Разработанный и описанный выше подход был апробирован для оценки ресурсного потенциала объектов системы переработки НСО в Самарской области [19], включающей N = 20 хранилищ НСО и Т = 10 технологий переработки. Исходные данные по характеристикам хранилищ и технологий переработки аналогичны [14].
Рассчитанные в [14] оценки
ресурсной ценности отходов в хранилищах на основе модели Super-efficiency метода DEА используются
в качестве результатов первого этапа, в соответствии с алгоритмом (см. рис. 1). На втором этапе алгоритма в результате решения ЗМП (3), (4) получены оценки
ресурсного потенциала с переменным эффектом масштаба, в соответствии с которыми объекты системы переработки отходов ранжированы по 11 диапазонам (рис. 2).

Рис. 2. Распределение объектов системы переработки НСО по диапазонам оценок
ресурсного потенциала с переменным эффектом масштаба
Fig. 2. Distribution of objects of the oil-contaminated wastes recycling system by ranges of resource potential estimates
with variable scale effects
Для решения соответствующих задач использовалась программа MaxDEA Basic [20] и специализированное программное обеспечение [21].
Согласно общему анализу результатов из Р = 200 анализируемых комбинаций «хранилище НСО – технология переработки» в системе 13 имеют постоянный эффект масштаба, 41 – убывающий, 146 – возрастающий. Максимальные оценки ресурсного потенциала
имеют 19 комбинаций «хранилище НСО – технология переработки», следовательно, управляющие решения по переработке НСО в хранилищах для этой группы объектов должны быть приняты в первую очередь. В лидирующую группу объектов (табл. 1) входят только 3 хранилища (j = 3, 11, 16) и 7 технологий (m = 2, 3, 6–10), таким образом, максимальное число выбранных комбинаций в этой группе для дальнейшей реализации на практике соответствует количеству хранилищ и равно I = 3.
Таблица 1
Table 1
Исходные данные и ранжированные оценки
ресурсного потенциала для 19 наилучших комбинаций «хранилище НСО – технология переработки» в анализируемой системе
Initial data and ranked estimates
of the resource potential for 19 best combinations
of oil-contaminated wastes storage – recycling technology in the analyzed system
|
Номер объекта |
Номер хранилища |
Номер технологии |
Входные параметры |
Выходные параметры |
Оценка |
Эффект масштаба |
|||
|
Время |
Масса |
Расход |
Масса |
Оценка |
|||||
|
р |
j |
m |
x1p |
x2p |
x3p |
y1p |
y2p |
|
|
|
22 |
3 |
2 |
489,03 |
0 |
122,258 |
4 206,813 |
0,3594 |
9,529 |
Убывающий |
|
102 |
11 |
2 |
34,35 |
0 |
8,588 |
745,004 |
1,7023 |
9,529 |
Постоянный |
|
108 |
11 |
8 |
181,35 |
4 014,4 |
0,155 |
59,334 |
1,7023 |
5,754 |
Убывающий |
|
23 |
3 |
3 |
1 0631,17 |
0 |
21,262 |
4 206,813 |
0,3594 |
5,750 |
Убывающий |
|
103 |
11 |
3 |
746,76 |
0 |
1,494 |
745,004 |
1,7023 |
5,750 |
Постоянный |
Окончание табл. 1
Ending of the table 1
|
Номер объекта |
Номер хранилища |
Номер технологии |
Входные параметры |
Выходные параметры |
Оценка |
Эффект масштаба |
|||
|
Время |
Масса |
Расход |
Масса |
Оценка |
|||||
|
р |
j |
m |
x1p |
x2p |
x3p |
y1p |
y2p |
|
|
|
106 |
11 |
6 |
137,40 |
0 |
1,718 |
348,769 |
1,7023 |
2,894 |
Постоянный |
|
29 |
3 |
9 |
1 232,18 |
11,1 |
16,749 |
3 099,757 |
0,3594 |
2,845 |
Убывающий |
|
109 |
11 |
9 |
95,48 |
0,8 |
1,177 |
548,950 |
1,7023 |
2,745 |
Постоянный |
|
152 |
16 |
2 |
8,01 |
0 |
2,002 |
98,829 |
0,5415 |
1,954 |
Постоянный |
|
156 |
16 |
6 |
32,03 |
0 |
0,400 |
46,266 |
0,5415 |
1,954 |
Постоянный |
|
158 |
16 |
8 |
49,64 |
935,9 |
0,036 |
13,833 |
0,5415 |
1,954 |
Постоянный |
|
27 |
3 |
7 |
16 301,13 |
10 669,8 |
12,226 |
3 801,128 |
0,3594 |
1,547 |
Убывающий |
|
159 |
16 |
9 |
29,62 |
0,2 |
0,274 |
72,821 |
0,5415 |
1,530 |
Постоянный |
|
153 |
16 |
3 |
174,09 |
0 |
0,348 |
98,829 |
0,5415 |
1,362 |
Постоянный |
|
26 |
3 |
6 |
1 956,14 |
0 |
24,452 |
1 969,394 |
0,3594 |
1,155 |
Убывающий |
|
157 |
16 |
7 |
266,94 |
174,7 |
0,200 |
62,246 |
0,5415 |
1,135 |
Постоянный |
|
107 |
11 |
7 |
1 145,03 |
749,5 |
0,859 |
267,001 |
1,7023 |
1,121 |
Убывающий |
|
30 |
3 |
10 |
498,63 |
4,0 |
110,033 |
4 206,813 |
0,3594 |
1,106 |
Убывающий |
|
110 |
11 |
10 |
43,95 |
0,3 |
7,729 |
745,004 |
1,7023 |
1,094 |
Постоянный |
* Жирным шрифтом выделены ранжированные оценки, по которым осуществляется выбор наилучших объектов в системе. Оценки справедливы только для всей анализируемой системы, состоящей из 200 объектов.
Возможные научно обоснованные операционные управленческие решения в отношении лидирующей группы объектов системы переработки (см. табл. 1) с учетом описанного выше порядка могут быть получены в результате решения двух оптимизационных задач по следующим критериям: повышение ресурсного потенциала объектов системы и сокращение времени переработки за счет одновременной переработки НСО в хранилищах (параллельная переработка).
Результатом решения оптимизационных задач (табл. 2) является эффективный порядок переработки НСО (
) в j-м хранилище, который определяет очередность использования m-й технологии в системе переработки.
Таблица 2
Table 2
Результаты решения оптимизационных задач
для лидирующей группы объектов системы переработки НСО
Results of solving the optimization problems
for the leading group of objects of the oil-contaminated wastes recycling system
|
Критерий оптимизации |
Обозначение |
Сокращение времени |
|
|
Результат решения задач оптимизации |
i – порядковый номер p-й |
i) p (j-m) / эффект масштаба |
|
|
1) 22 (3-2) / убывающий 2) 102 (11-2) / постоянный 3) 152 (16-2) / постоянный |
1) 22 (3-2) / убывающий 2) 108 (11-8) / убывающий 3) 156 (16-6) / постоянный |
||
Окончание табл. 2
Ending of the table 2

* Жирным шрифтом выделены оптимальные значения целевой функции для каждой оптимизационной задачи.
Для лидирующей группы (см. табл. 1) при повышении ресурсного потенциала объектов системы эффективный порядок (
) предполагает использование одной технологии (m = 2) для переработки отходов в трех хранилищах (j = 3, 11, 16), что соответствует комбинациям (p = 22, 102, 152). В этом случае суммарная оценка ресурсного потенциала объектов системы является максимальной среди возможных комбинаций и равна
при общем времени переработки
ч.
При сокращении времени переработки НСО в хранилищах (j = 3, 11, 16) эффективный порядок переработки включает использование трех технологий параллельно (m = 2, 8, 6), что соответствует комбинациям (p = 22, 108, 156) с наилучшими оценками
ресурсного потенциала в рассматриваемой группе объектов (см. табл. 1). В этом случае общее время переработки снизится до минимально возможного времени
ч, или на 7,97 % по сравнению с результатами решения задачи по повышению ресурсного потенциала объектов системы, а суммарная оценка ресурсного потенциала уменьшится на 17,97 % (до
).
Из анализа остальных параметров (см. табл. 2) следует, что при повышении ресурсного потенциала объектов системы общая масса полезных продуктов на 738,233 т и расход топлива на 10,035 т соответственно больше, чем при решении оптимизационной задачи с сокращением времени переработки, при этом суммарная оценка ресурсной ценности НСО в хранилищах
не изменяется. Кроме этого, наилучшая технология (m = 2) в задаче по повышению ресурсного потенциала объектов системы не использует реагенты для переработки, поэтому
.
Операционные и тактические управленческие решения по остальным объектам системы переработки НСО в других группах (см. рис. 2) могут быть приняты с учетом заданных критериев оптимизации, ранжирования оценок
ресурсного потенциала и соответствующего эффекта масштаба аналогичным образом.
Для объектов системы с возрастающим эффектом масштаба управляющее решение по переработке НСО в хранилищах необходимо отложить до момента накопления большего объема НСО, чтобы увеличить объем выхода полезных продуктов. Если увеличение объема отходов в хранилищах не предполагается, то переработку таких объектов с возрастающим эффектом масштаба следует проводить в соответствии с ранжированными оценками
ресурсного потенциала (аналогично табл. 1).
Заключение
В статье рассмотрен новый подход, основанный на модели BCC метода DEA, к расчету оценок ресурсного потенциала комбинаций «хранилище НСО – технология переработки» с переменным эффектом масштаба. В зависимости от ранжировки полученных оценок ресурсного потенциала объектов в системе и эффекта масштаба (постоянный, убывающий, возрастающий) определяется очередность переработки НСО в хранилищах соответствующими технологиями. Чем больше оценка ресурсного потенциала комбинации «хранилище НСО – технология переработки», тем выше эффективность переработки отхода.
Учет переменного эффекта масштаба совместно с ранжированными оценками ресурсного потенциала комбинаций в системе поддержки принятия решений позволяет рассматривать процесс управления переработкой НСО на операционном и тактическом уровне. При убывающем эффекте масштаба существует возможность снижения эффективности переработки при увеличении объемов отхода в хранилище, поэтому такие объекты лучше всего перерабатывать в первую очередь, следовательно, необходимо обеспечивать эффективное операционное управление. Во вторую очередь, и тоже в рамках операционного управления, следует обратить внимание на объекты с постоянным эффектом масштаба, при котором выход полезных продуктов пропорционален затратам при переработке НСО. Учет возрастающего эффекта масштаба позволяет расширить вариативность принятия решений до тактического уровня на более длительный период управления системой и обеспечить максимальное качество переработки и ресурсосбережение в будущем при отложенной переработке НСО в таких объектах.
На примере системы переработки НСО, включающей 10 технологий и 20 хранилищ, расположенных на территории Самарской области, проведена успешная апробация разработанного подхода, что позволяет рекомендовать его применение при принятии обоснованных системных управленческих решений в других регионах Российской Федерации.
В будущих исследованиях планируется рассмотреть вопрос сопоставления оценок ресурсного потенциала с постоянным и переменным эффектом масштаба, а также расширить вариативность принятия решений за счет введения новых целевых критериев в задачах управления системой переработки НСО.
1. Окружающая среда: официальная статистика // Федеральная служба государственной статистики РФ. URL: https://rosstat.gov.ru/folder/11194 (дата обращения: 27.03.2023).
2. Крапивский Е. И. Нефтешламы: уничтожение, утилизация, дезактивация. М.; Вологда: Инфра Инженерия, 2021. 432 с.
3. О состоянии и об охране окружающей среды Российской Федерации в 2021 году. Государственный доклад. М.: Минприроды России; МГУ им. М. В. Ломоносова, 2022. 684 с.
4. Утилизация отходов - проблемы и пути решения: аналитический обзор. М., 2015. 27 с. URL: https://www.extech.ru/files/anr_2015/anr_5.pdf (дата обращения: 27.03.2023).
5. Мазлова Е. А., Мещеряков С. В. Проблемы утилизации нефтешламов и способы их переработки. М.: Ноосфера, 2001. С. 54.
6. Булатов В. И., Игенбаева Н. О., Нанишвили O. А. Отходы нефтегазового комплекса как технологический индикатор геоэкологического состояния регионов России // Бюл. науки и практики. 2021. № 7 (8). С. 46-55.
7. Ghisellini P., Cialani C., Ulgiati S. A review on cir-cular economy: the expected transition to a balanced inter-play of environmental and economic systems // Journal of Cleaner Production. 2016. V. 114. P. 11-32. URL: https://doi.org/10.1016/j.jclepro.2015.09.007 (дата обращения: 27.03.2023).
8. Jerez S., Ventura M., Molina R., Pariente M. I., Martínez F., Melero J. A. Comprehensive characterization of an oily sludge from a petrol refinery: A step forward for its valorization within the circular economy strategy // Journal of Environmental Management. 2021. V. 285. P. 112124. URL: https://doi.org/10.1016/j.jenvman.2021.112124 (дата обращения: 27.03.2023).
9. Jagaba A. H., Kutty Sh. R. M., Lawal I. M., Birniwa A. H., Affam A. Ch., Yaro N. Sh. A., Usman A. K., Umaru I., Abubakar S., Noor A., Soja U. B., Yakubu A. Sh. Circular economy potential and contributions of petroleum industry sludge utilization to environmental sustainability through engineered processes // A review, Cleaner and Circular Bioeconomy. 2022. V. 3. P. 100029. URL: https://doi.org/10.1016/j.clcb.2022.100029 (дата обращения: 27.03.2023).
10. Vlachokostas Ch., Michailidou A. V., Achillas Ch. Multi-Criteria Decision Analysis towards promoting Waste-to-Energy Management Strategies: A critical review // Renewable and Sustainable Energy Reviews. 2021. V. 138. P. 110563. URL: https://doi.org/10.1016/j.rser.2020.110563 (дата обращения: 27.03.2023).
11. Плешивцева Ю. Э., Деревянов М. Ю., Каширских Д. В., Пименов А. А., Керов А. В., Тян В. К. Сравнительная оценка ресурсной ценности объектов хранения нефтесодержащих отходов на основе DEA-метода // Нефтяное хозяйство. 2018. № 11. С. 139-144. DOI:https://doi.org/10.24887/0028-2448-2018-11-139-144.
12. Derevyanov M., Pleshivtseva Y., Afinogentov A., Mandra A., Pimenov A. Simulation and Multi-Objective Evaluation of Reuse Potential of Waste Recycling System for Oil And Gas Industry // 2019 XXI International Conference Complex Systems: Control and Modeling Problems (CSCMP). Samara, 2019. P. 429-434. DOI:https://doi.org/10.1109/CSCMP45713.2019.8976783.
13. Afinogentov A. A., Bagdasarova Y. A., Derevyanov M. Y., Pleshivtseva Y. E. Application of Neural Networks to Assess the Resource Value of Oil-Contaminated Waste Storage Facilities // IOP Conference Series: Earth and Environmental Science (Virtual, Online, 10-12 January 2022). P. 022073. DOI:https://doi.org/10.1088/1755-1315/988/2/022073.
14. Деревянов М. Ю., Плешивцева Ю. Э. Анализ ресурсной ценности и ресурсного потенциала объектов системы переработки нефтесодержащих отходов на основе DEA-метода // Изв. высш. учеб. заведений. Северо-Кавказ. регион. Техн. науки. 2022. № 4 (216). С. 27-34. DOI:https://doi.org/10.17213/1560-3644-2022-4-27-34.
15. Derevyanov M. Y., Pleshivtseva Y. E., Kordyukova L. S., Rapoport A. V. Using DEA models to measure the efficiency of energy saving projects // IOP Conference Series: Materials Science and Engineering (Belorgod, 29-30 November 2018). Belorgod: Institute of Physics Publishing, 2019. V. 552. P. 012020. DOI:https://doi.org/10.1088/1757-899X/552/1/012020.
16. Charnes A., Cooper W. W., Rhodes E. Measuring the efficiency of decision-making units // European Journal of Operation Research. 1978. V. 6 (2). P. 429-444.
17. Banker R. D., Charnes A., Cooper W. W. Some Models for Estimating Technical and Scale Inefficiencies in Data Envelopment Analysis // Management Science. 1984. V. 30 (9). P. 1078-1092.
18. Chen Y., Du J. Super-Efficiency in Data Envelopment Analysis // Data Envelopment Analysis. Boston, MA: Springer, 2015. N. 221. P. 381-414.
19. Свидетельство о государственной регистрации базы данных № 2021622779 Российская Федерация. База данных для оптимизации сложно-структурированной системы комплексной переработки техногенных отходов нефтегазового комплекса / Плешивцева Ю. Э., Деревянов М. Ю., Мандра А. Г., Афиногентов А. А., Пименов А. А.; № 2021621717; заявл. 20.08.2021; опубл. 03.12.2021.
20. MaxDEA 8 Basic: Free DEA software. URL: http://maxdea.com/MaxDEA.htm (дата обращения: 27.03.2023).
21. Свидетельство о государственной регистрации программы для ЭВМ № 2022669216 РФ. Многокритериальная оптимизация комплексной переработки нефтесодержащих отходов по системным критериям качества/Ю. Э. Плешивцева, А. А. Афиногентов, М. Ю. Деревянов, А. Г. Мандра, А. А. Пименов; заявл. 18.10.2022; опубл. 18.10.2022. URL: https://elibrary.ru/item.asp?id=49776659 (дата обращения: 27.03.2023).



