Россия
Россия
Россия
Россия
Разведение осетровых рыб в аквакультуре – единственная на сегодняшний день возможность их со-хранения в качестве сырья для пищевой рыбной продукции. В связи с этим очевидны не только необходимость развития товарного осетроводства, но также актуальность исследований, направленных на изучение и разработку оптимальных режимов промышленного выращивания различных видов осетровых. Целью работы стало расширение ассортимента комбикормов для осетровых рыб за счет неиспользованных резервов расширения кормовой базы, которыми являются побочные продукты масложировой промышленности, в частности погоны дезодорации. На основе изучения классической технологии получения комбикормов для рыб и устранения ее недостатков разработана технология производства псевдокапсулированных комбикормов с содержанием в них более 20 % жира и витаминов, адаптированных для различных видов осетровых рыб, выращиваемых в Центральном федеральном округе РФ. В предлагаемой технологии по производству комбикормов для рыб псевдокапсулирование гранул жиропоглотителями с масложировыми отходами, например погонов дезодорации, осуществляют в та-рельчатом грануляторе. На основании выполненных исследований установлено, что для введения в состав псевдокапсулированного комбикорма повышенного содержания жира погонов дезодорации (более 20 %) необходимо использовать жиропоглотители, в качестве которых можно рекомендовать аэросил диоксида кремния. При применении аэросила диоксида кремния можно обеспечить включение в состав комбикорма до 20–30 % жира погонов дезодорации в соотношении 1 : 4, не ухудшая при этом технологических свойств готового продукта.
псевдокапсулированные комбикорма, жир, погоны дезодорации, комбикорма, осетровые рыбы, физико-механические свойства, аэросил диоксида кремния
Введение
Аквакультура является одним из важнейших направлений агропромышленного, рыбохозяйственного и природоохранного комплексов Российской Федерации, обеспечивающих продовольственную безопасность страны.
В основе современного рыбоводства лежит рациональное кормление рыбы. Роль кормления неуклонно возрастает по мере повышения уровня интенсификации рыбоводных процессов. За счет комбикормов и кормления получают от 70 % продукции в прудовых хозяйствах, до 100 % продукции в индустриальных хозяйствах, поэтому одним из направлений работы по привлечению материальных ресурсов является эффективное использование побочной продукции, что позволит дополнительно получать новый комбикорм достаточно высокого качества с меньшими издержками производства [1–4].
Одним из неиспользованных резервов расширения кормовой базы являются побочные продукты масложировой промышленности, в частности погоны дезодорации. Количество погонов дезодорации растительных масел составляет 0,15 % от массы выработанного масла. Погоны дезодорации используют для производства мыла, но токоферолы, стерины и другие неомыляемые вещества при этом теряются, в то время как они могли бы быть рационально использованы в рыбоводстве, животноводстве и других отраслях [5–7]. Высокоэнергетический комбикорм для товарного выращивания осетровых рыб предназначен для применения в оптимальных условиях содержания. В свою очередь, повышенное содержание жира обеспечивает экономию энергетических затрат протеина, обеспечивает низкие значения кормового коэффициента и максимальный суточный прирост [3, 8].
Лучшим способом доведения жиров и содержащихся в них витаминов до рыб является скармливание в составе комбикормов [9, 10]. Однако в настоящее время повысить уровень жира в комбикормах на существующих линиях ввода жиров невозможно, т. к. на большинстве заводов по линии ввода жидких компонентов в рассыпной комбикорм можно включить до 10–15 % жира, а при повышенном содержании в нем влаги (более 0,5 %) и того меньше.
Методика исследований
На основе изучения классической технологии получения комбикормов для рыб и устранения ее недостатков разработана технология производства псевдокапсулированных комбикормов с содержанием в них более 10–15 % жира и витаминами, адаптированных для различных видов осетровых рыб, выращиваемых в Центральном федеральном округе РФ. В предлагаемой технологии по производству продукционных комбикормов для осетровых рыб псевдокапсулирование гранул жиропоглотителями с масложировыми отходами, например погонов дезодорации, осуществляют в тарельчатом грануляторе [11–13].
В лабораторных условиях с помощью программы «ЭкоКорм» и специальных кормовых таблиц готовили опытные партии продукционных псевдокапсулированных комбикормов для осетра массой от 5 до 600 г с соблюдением обменной и питательной ценности, в состав которых входили сырье растительного и животного происхождения, отходы масложировой промышленности (шроты, концентраты, погоны дезодорации), лизин, премикс, а также добавлена фитаза для улучшения усвоения белка и фосфора (рис. 1, 2) [14].

Рис. 1. Рецепт продукционного комбикорма для осетра массой от 5 до 600 г
Fig. 1. Recipe for production feed for sturgeon weighing 5-600 g

Рис. 2. Питательная ценность продукционного комбикорма для осетра массой от 5 до 600 г
Fig. 2. Nutritional value of production feed for sturgeonweighing 5-600 g
Содержание токоферолов в погонах дезодорации подсолнечного масла колеблется от 1,96 до 2,4 г/кг, а в погонах соевого масла – до 4,1 г/кг, в то время как обычный медицинский препарат содержит 3 г/кг витамина Е, витамина А в них содержится в количестве 3,0 г/кг. Основную массу погонов составляют жиры. В качестве жиропоглотителей использовали адсорбенты химического производства аэросил диоксид кремния, индифферентные для организма и обладающие высокой способностью поглощения, а также используемые в промышленности порошки бентонита натрия и цеолита.
В тарельчатый гранулятор подают адсорбенты, далее смешивают с масложировыми отходами, такими как погоны дезодорации, и далее комбикорм покрывают полученной смесью с жиропоглотителями. За счет хорошей адгезии (сил поверхностного сцепления) адсорбенты равномерно наносятся на поверхность гранул. Полученные продукционные псевдокапсулированные комбикорма меньше контактируют с влагой и кислородом, содержащимися в воздухе, а значит, дольше не окисляются и не распадаются, что увеличивает хранимоспособность комбикормов. Это позволяет сохранить в полном объеме витамины, микро- и макроэлементы, необходимые для рыбы [15–17].
Псевдокапсулированный комбикорм контролировали на сите с размером стороны ячейки 1 мм. Каждую партию исходного комбикорма обогащали погонами дезодорации, которые вводили сверх массы комбикорма в смеси с жиропоглотителями в количестве, обеспечивающем сохранение технологических свойств комбикорма.
О качественном составе псевдокапсулированного комбикорма в процессе хранения при различной относительной влажности судили по содержанию жира и изменению его констант и показателю кислотного числа, которые определяли по стандартным методикам [18].
Для создания различных условий хранения был применен эксикаторный метод. Эксикаторы одинакового диаметра заполняли растворами серной кислоты, изменением концентрации которой создавали определенную относительную влажность воздуха, равную 60 и 80 %. В эксикаторы над раствором помещали псевдокапсулированный комбикорм массой 1 кг, затаренный в 4-слойные бумажные крафт-мешки.
Расстояние продукта от поверхности кислоты в каждом из опытов было одинаковым. Температура окружающего воздуха во время опыта не стабилизировалась и колебалась в течение 3 месяцев хранения от 19 до 24 °С.
Свойства жиропоглотителей характеризовали по следующим показателям: влажность, объемная масса, угол естественного откоса, угол внутреннего трения. Все исследования проводили по методикам, утвержденным нормативно-технической документацией [19, 20].
По результатам исследования было установлено, что физические свойства жиропоглотителей не одинаковы. Наименьшая влажность установлена у аэросила диоксида кремния – 3,9 %, а наибольшая – 4,8 % – у бентонита натрия и цеолита. Самой низкой плотностью и наименьшей объемной массой обладает аэросил диоксида кремния, наибольшие соответствующие показатели отмечены у бентонита натрия и цеолита. Следует отметить, что наименьший угол внутреннего трения, равный 29,3°, установлен у аэросила диоксида кремния, а наибольший – 32,4° – у бентонита натрия. Между углом внутреннего трения и углом естественного откоса у всех жиропоглотителей обнаружена прямая зависимость.
Результаты исследования гранулометрического состава жиропоглотителей, определенные методом ситового анализа, показали, что наименьшим размером обладают частички аэросила диоксида кремния, а бентониты натрия и цеолиты имеют примерно один и тот же размер частиц.
Различия в физических свойствах жиропоглотителей, связанные с их размером, объемной массой, углом внутреннего трения и углом естественного откоса, обусловливают способность их к различному поглощению жировой фазы.
Так, методом многофакторного планирования эксперимента установлено, что при соотношении между аэросилом диоксида кремния и погонами дезодорации 1 : 4 в комбикорм можно ввести 20–30 % жира к его массе, без снижения физико-механических и химических свойств, а при использовании бентонита натрия – не более 10 % при соотношении между адсорбентом и погонами дезодорации лишь 1 : 1.
Результаты исследований и их обсуждение
Физико-механические свойства псевдокапсулированных комбикормов оценивали по следующим показателям: влажность, угол естественного откоса, угол внутреннего трения.
В табл. 1 представлены результаты исследования изменения физико-механических свойств псевдокапсулированных комбикормов в процессе хранения.
Таблица 1
Table 1
Физико-механические свойства псевдокапсулированных комбикормов в процессе хранения
Physical and mechanical properties of pseudo-encapsulated feedin storage
|
Жиропоглотители |
Угол естественного |
Угол внутреннего |
Влажность, % |
|||
|
исходный |
через 3 мес. хранения |
исходный |
через 3 мес. хранения |
исходный |
через 3 мес. хранения |
|
|
Контроль |
36,1 |
37,1 |
31,5 |
32,1 |
12,9 |
13,2 |
|
Бентонит натрия, |
39,1 |
40,1 |
37,5 |
38,1 |
10,9 |
11,3 |
|
Цеолит, 10 % ПД, 1 : 1 |
39,1 |
40,1 |
37,6 |
38,4 |
10,2 |
10,7 |
|
Аэросил диоксида кремния, 30 % ПД, 1 : 4 |
37,1 |
37,1 |
32,1 |
32,4 |
6,2 |
6,6 |
При хранении комбикормов с погонами дезодорации влажность всех партий увеличивалась незначительно. Наибольший прирост влаги отмечен в комбикормах с цеолитом, а наименьший – с аэросилом диоксида кремния.
Так как критерием качества псевдокапсулированных комбикормов, обогащенных погонами дезодорации, служил показатель сыпучести, характеризуемый величиной угла естественного откоса, то, как следует из табл. 1, при относительной влажности воздуха 60 % в комбикорме, обогащенном погонами дезодорации на основе аэросила диоксида кремния, за 3 месяца хранения сыпучесть не изменилась, угол внутреннего трения при использовании аэросила диоксида кремния изменился незначительно – на 0,7 % по сравнению с первоначальным значением при закладке.
Такая же закономерность установлена при относительной влажности воздуха 80 % с той лишь разницей, что абсолютные значения исследуемых изменений были выше.
Показатели безопасности псевдокапсулированного комбикорма содержащего погоны дезодорации, аэросил диоксид кремния, бентонит натрия и цеолит, определяли в Центре коллективного пользования «Контроль и управление энергоэффективных проектов» Воронежского государственного университета инженерных технологий. Полученный комбикорм был экологически чистым и с улучшенным санитарным состоянием, микробиологические показатели комбикорма соответствовали нормам (табл. 2).
Таблица 2
Table 2
Микробиологические показатели комбикорма
Microbiological indicators of compound feed
|
Показатель |
Допустимые значения |
Смесь комбикорма |
|
КМАФАнМ, КОЕ/г, не более |
1 × 1Е4 |
0,4 × 1Е4 |
|
БГКП (колиформы) |
1,0 |
отсутствуют |
|
Патогенные, в том числе сальмонеллы |
25 |
отсутствуют |
|
B. cereus |
0,1 |
отсутствуют |
|
Плесени, КОЕ/г, не более |
50 |
отсутствуют |
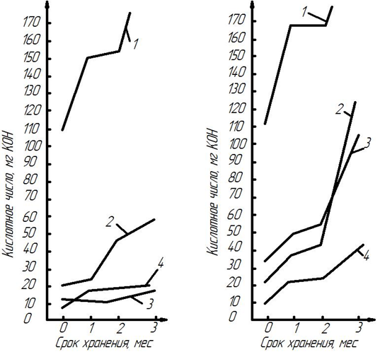
На рис. 3 представлены изменения кислотного числа жира в псевдокапсулированных комбикормах, выработанных на основе погонов дезодорации и различных жиропоглотителей, в процессе хранения.

а б
Рис. 3. Изменение кислотного числа жира в комбикормах для осетровых рыб,
выработанных на основе погонов дезодорации: а – при относительной влажности воздуха φ = 60 %;
б – при относительной влажности воздуха φ = 80 %: 1 – исходный образец комбикорма;
2 – комбикорм с цеолитом; 3 – комбикорм с бентонитом; 4 – комбикорм с аэросилом диоксида кремния
Fig. 3. Changes in the acid number of fat in compound feed for sturgeonsdeveloped on the basis of deodorization cuts:
a – at relative air humidity φ = 60%; б – at relative air humidity φ = 80%:
1 – initial sample of compound feed; 2 – compound feed with zeolite;
3 – compound feed with bentonite; 4 – compound feed with silicon dioxide aerosil
Из анализа графических зависимостей следует, что псевдокапсулированные комбикорма и находящийся в них жир погонов дезодорации по-разному подвергаются окислительным процессам. Наиболее устойчивыми в процессе хранения оказались комбикорма, обогащенные 20–40 % погонов дезодорации с аэросилом диоксида кремния. Комбикорм с бентонитом натрия устойчив лишь при влажности 60 %. Так, в исходном комбикорме за 3 мес. хранения (при φ = 60 %) кислотное число жира возросло с 0,2 до 1,1 % J2, или в 3,1 раза, в комбикорме с аэросилом диоксида кремния, с бентонитом натрия – в 2,2 раза. При относительной влажности 80 % установлена та же зависимость изменений кислотного числа (абсолютные значения которых были выше).
Хотя полученные данные и свидетельствуют о высокой степени пероксидации липидов, следует отметить, что в обогащенных комбикормах с бентонитом натрия и аэросилом диоксида кремния эти изменения протекают медленнее. Подтверждением сказанному служит показатель кислотного числа жира, который был самым высоким в исходном комбикорме (при φ = 60 % 110 мг КОН в начале опыта и 170 мг КОН через 3 мес. хранения) и самым низким – 5 мг КОН – у комбикорма с аэросилом диоксида кремния в начале и 10 мг КОН – через 3 мес. хранения.
Заключение
На основании выполненных исследований установлено, что для введения в состав псевдокапсулированного комбикорма повышенного содержания жира погонов дезодорации (более 20 %) необходимо использовать жиропоглотители, в качестве которых можно рекомендовать аэросил диоксида кремния. При применении аэросила диоксида кремния можно обеспечить включение в состав комбикорма до 20–30 % жира погонов дезодорации в соотношении 1 : 4, не ухудшая при этом технологических свойств готового продукта. Свойства комбикормов, характеризуемых величиной угла естественного откоса и углом внутреннего трения, за 3 месяца хранения не изменились.
1. Василенко В. Н. Разработка экструзионного оборудования нового поколения для комбикормов // Вестн. машиностроения. 2009. № 9. С. 77-78.
2. Василенко В. Н., Остриков А. Н. Техника и технологии экструдированных комбикормов: моногр. Воронеж: Изд-во ВГТА, 2011. 454 с.
3. Пономарев С. В., Грозеску Ю. Н., Бахарева А. А. Корма и кормление рыб в аквакультуре. М.: Моркнига, 2013. 410 с.
4. Японцев А. Э. Обработка технологических режимов при производстве экструдированных кормов для радужной форели // Качество продукции, технологий и образования: материалы II Практич. конф. Магнитогорск: Изд-во МГТУ, 2007. С. 95-96.
5. Мачигин В. С., Григорьева В. Н., Лисицына А. Н. Использование отходов масложировой промышленности в кормовых целях // Масложировая промышленность. 2005. № 2. С. 27-29.
6. Пономарев С. В., Гамыгин Е. А., Никаноров С. И., Пономарева Е. Н., Грозеску Ю. Н., Бахарева А. А. Технологии выращивания и кормления объектов аквакультуры Юга России. Астрахань: Нова плюс, 2002. 263 с.
7. Чернышов Н. И., Панин И. Г. Компоненты комбикормов. Старый Оскол: Типография, 1999. 300 с.
8. Потапов А. Главное событие года на рынке рыбных кормов // Комбикорма. 2009. № 7. C. 20-21.
9. Василенко В. Н., Фролова Л. Н., Драган И. В., Михайлова Н. А. Разработка продукционных экструдированных комбикормов для индустриального производства тиляпии // Вестн. Воронеж. гос. ун-та инженер. технологий. 2019. № 1. С. 132-137.
10. Василенко В. Н., Фролова Л. Н., Драган И. В., Кочкин И. Ю., Еремин И. Д., Жильцова С. И. Разработка продукционных псевдокапсулированных комбикормов для лососевых рыб, выращиваемых в ЦФО РФ // Кормопроизводство. 2022. № 5. С. 44-48.
11. Пат. № 2558446 РФ, МПК С1 А 23 Р 1/04. Линия производства псевдокапсулированных биопрепаратов на основе отходов масложировой промышленности / Василенко В. Н., Фролова Л. Н., Драган И. В.; заявл. 13.05.2014; опубл. 10.08.2015, Бюл. № 22.
12. Пат. № 2739798 РФ, МПК51 C1. Способ производства продукционных экструдированных комбикормов для осетровых рыб / Афанасьев В. А., Василенко В. Н., Фролова Л. Н., Остриков А. Н., Михайлова Н. А., Богомолов И. С.; заявл. 10.01.2020, опубл. 28.12.2020.
13. Пат. № 2451600 РФ, МПК51 B29C47/38 (2006.01). Линия производства псевдокапсулированных аквакормов / Василенко В. Н., Фролова Л. Н., Драган И. В., Накрайникова А. В.; заявл. 13.09.2010; опубл. 27.05.2012.
14. Афанасьев В. А. и др. Методические рекомендации для расчета рецептов комбикормовой продукции. М.: Изд-во ВНИИКП, 2003. 149 с.
15. Афанасьев В., Богомолов И., Остриков А., Старцева С. Технология и оборудование для производства комбикормов для ценных пород рыб // Комбикорма. 2021. № 1. С. 24-28.
16. Афанасьев В. А., Остриков А. Н., Богомолов И. С., Филипцов П. В., Фролова Л. Н. Разработка технологии высокоусвояемых комбикормов с вакуумным напылением жидких компонентов // Вестн. Воронеж. гос. ун-та инженер. технологий. 2021. Т. 83, № 1 (87). С. 94-101.
17. Василенко В. Н., Фролова Л. Н., Драган И. В., Михайлова Н. А., Таркаева Д. А. Линия производства комбикормов для рыб с вакуумным напылением // Комбикорма. 2019. № 4. С. 38-40.
18. Арутюнян Н. С., Корнена Е. П. Лабораторный практикум по химии жиров. СПб.: ГИОРД, 2004. 264 с.
19. ГОСТ 28254-2014. Комбикорма, комбикормовое сырье. Методы определения объемной массы и угла естественного откоса. URL: http://rdocs3.cntd.ru/document/1200112147 (дата обращения: 12.12.2022).
20. ГОСТ Р 57059-2016. Корма, комбикорма, комбикормовое сырье. Экспресс-метод определения влаги URL: https://docs.cntd.ru/document/1200139185 (дата обращения: 12.12.2022).



