Исследован баланс компонентов старения моторного масла в смазочной системе судового дизеля с уточнением его составляющей, обусловленной угаром нефтепродукта. Осуществлена идентификация процесса старения моторного масла при условиях непрерывного и периодического долива с целью пополнения системы смазки свежим маслом для компенсации угораемого продукта. Составлены и решены дифференциальные уравнения баланса продуктов таких направлений старения, как загрязнение нерастворимыми примесями и срабатывание многофункциональных присадок, что позволило представить основные закономерности и кинетику рассматриваемого процесса. Новизна подхода к его теоретическому описанию состояла в учете отфильтровывания средствами очистки и выгорания нерастворимых и находящихся в коллоидном состоянии компонентов механических примесей и присадок. Цикловое представление старения позволяет рассчитать состояние моторного масла до и после долива при периодическом его освежении. Зависимость преобразована и изложена в том виде, когда можно определять состояние масла на любом цикле старения, не рассматривая промежуточные концентрации примесей и присадок. Достоинством полученных кинетических интегральных выражений старения моторного масла является возможность определения условий, при которых реализуется долгоработающий или бессменный режим его использования в системе смазки конкретного дизеля. Приведены формулы, по которым при заданном угаре масла рассчитывается интенсивность фильтрования и концентрация присадок в свежем масле или скорость их срабатывания, обеспечивающие добраковочный режим использования циркуляционного смазочного масла в дизеле.
: смазочная система, моторное масло, старение масла, параметры масла, срок смены масла, нерастворимые продукты
Введение
Учет старения смазочного масла при эксплуатации двигателя внутреннего сгорания (ДВС) существенно важен, т. к. от направлений и интенсивности этого процесса зависит надежность и экономичность его работы [1, 2]. Контроль старения моторного масла (ММ) может быть осуществлен на базе теоретического исследования. Имеющиеся закономерности старения смазочного масла в тронковом дизеле характеризуются следующими недостатками [3, 4]:
– в большинстве расчетных моделей не учитывается влияние угара масла на удаление из системы смазки (СС) нерастворимых загрязнений и присадок;
– основные закономерности старения ММ получены при допущении, что компенсация угара в СС осуществляется непрерывным доливом свежего масла, тогда как наибольшее распространение получило периодическое пополнение;
– удаление продуктов старения из масла его очисткой при изменяющейся скорости отфильтровывания принято постоянной величиной, а она переменна.
Наибольшее влияние на двигатель оказывают такие направления старения смазочного масла, как загрязнение нерастворимыми продуктами (НРП) и срабатывание многофункциональных присадок, которыми оно легируется. В качестве НРП обычно рассматриваются продукты окисления (карбонизации) масла и разложения присадок, изнашивания двигателя, неполного сгорания топлива и внешнего загрязнения [5].
Процесс срабатывания присадок происходит за счет нейтрализации продуктов окисления ММ и поступающих в масло от сгорания содержащих серу топлив [6]. Самое высокое действие на изнашивание ДВС оказывают абразивные кварцевые частицы пыли внешнего загрязнения масла и алюмосиликаты, поступающие в масло при сжигании в двигателях низкосортных вязких топлив, которые получают химическим крекингом [7].
Срабатывание присадок наблюдается не только при нейтрализации кислых продуктов, но и при диспергировании НРП и поддержании моющих свойств масла, что весьма важно для снижения нагаро- и лакообразования ДВС. Поэтому сохранение нейтрализующих и моюще-диспергирующих свойств ММ в значительной мере зависит от срабатывания многофункциональных присадок, сохранения уровня их пептизирующей и термоокислительной стабильности. Глубина срабатывания присадок определяется по содержанию в масле их активных компонентов или с некоторой степенью приближенности может оцениваться по изменению щелочности масла, т. к. у большинства присадок между содержанием активных компонентов и щелочностью наблюдается корреляция. Следует также отметить, что срабатывание присадок может интенсифицироваться при частичном их удалении маслоочистителями, разложением от воздействия обводнения масла [8, 9].
Контроль старения ММ весьма важен для оценки его работоспособности, определения срока службы и в целом для прогнозирования состояния дизеля. Во время эксплуатации ДВС качество смазки контролируют путем анализа периодически отбираемых проб масла. Число анализов можно значительно сократить, если предварительно теоретическим методом исследовать накопление в масле НРП и изменение концентрации многофункциональных присадок.
Существующие теоретические закономерности старения ММ в ДВС имеют ряд недостатков. Большинство моделей получено при допущении, когда пренебрегают угаром масла в балансе загрязнений и срабатывания присадок и не учитывают удаление этих продуктов из СС [3, 10]. Рассматриваемая составляющая (доля удаляемых НРП и присадок) в общем балансе продуктов старения масла в двигателе довольно велика и пренебрегать ею нельзя. По данным [11] при удельном угаре gу = 2–5 г/(кВт·ч) она явно доминирует и может превышать 50 % в общем балансе продуктов старения масла в СС. Так как потери масла при работе двигателя включают испаряющуюся и выгорающуюся части, то учет этой составляющей при расчете удаления из смазки продуктов старения через общую величину угара также считается неверным. Нерастворимые продукты загрязнения и коллоидные частицы некоторых присадок при испарении масла с зеркала цилиндра из СС тронкового двигателя не удаляются, поэтому в балансе продуктов старения требуется учитывать ту их часть, которая при угаре масла выгорает [3].
Важным аспектом такого направления старения ММ, как срабатывание присадок, является учет их доли, удаляемой не только с угаром, но и средствами очистки – при фильтровании, а особенно при центрифугировании масла [11]. Отдельные присадки в воде растворяются лучше, чем в масле, поэтому при обводнении и обезвоживании ММ сепаратором они из масла интенсивно удаляются.
Проведенный анализ доказал, что основные закономерности старения, полученные теоретическим методом, характерны для условия постоянства количества масла в СС, т. е. допущении, что компенсация угара осуществляется непрерывно. На практике такие случаи редки. Периодический долив не соответствует этой картине баланса продуктов старения и вносит искажение в кинетику старения ММ. Весьма актуально рассмотрение старения ММ с учетом периодического его долива для компенсации угарающего нефтепродукта. Необходима корректировка удаления НРП и присадок из СС с учетом их выгорания при угаре масла. Подобный подход ранее не рассматривался или теоретически исследовался при непрерывном доливе с грубыми допущениями, когда скорость удаления продуктов старения средствами очистки масла принималась постоянной величиной и считалась пропорциональной их поступлению в ММ [3, 5]. Реально отфильтровывание (отфуговывание) НРП и присадок агрегатами очистки протекает с переменной скоростью и чаще пропорционально концентрации их в циркуляционном масла [2, 4, 6].
Можно отметить, что форсировка дизеля, режимы его работы, качество применяемых горюче-смазочных материалов оказывают существенное влияние на старение масла в СС двигателя. Его состояние в значительной мере зависит не только от маслообмена, вызываемого угаром, но и от интенсивности очистки масла. Современные системы очистки, оснащаемые полнопоточными фильтрами и частичнопоточными центрифугами (сепараторами), оказывают существенное влияние на процесс старения, интенсивно удаляя катализаторы окисления – минеральные компоненты срабатывания присадок и изнашивание двигателя [6–8]. Поэтому очень важно знать степень воздействия маслоочистителей не только на баланс продуктов старения масла в СС, но и на скорость образования отдельных компонентов этого процесса.
Таким образом, процесс старения ММ при разных его угарах изучен не достаточно полно. Исследователи [3, 10, 11] констатируют, что кинетика старения смазочного масла не только формируется интенсивностью очистки ММ в СС двигателя, но и в значительной мере зависит от его угара и режимов долива. Особый интерес вызывают ранее не рассматриваемые варианты функционирования СС без долива свежего масла, когда компенсация угоревшего нефтепродукта не проводится и работа системы осуществляется с периодическим доливом свежего масла.
Основные кинетические уравнения старения смазочного масла при работе системы смазки
с непрерывным доливом и без долива
Рассмотрим баланс продуктов старения смазочного масла в СС двигателя для вышеуказанных вариантов. Для построения кинетической модели старения ММ примем следующие допущения:
– продукты i-го направления старения масла поступают в СС с постоянной скоростью, это же правило действует по отношению к компонентам присадок, они срабатываются с постоянной скоростью;
– свежее масло, доливаемое в систему, содержит присадки в концентрации cпд, других примесей не имеет;
– количество продуктов старения и полезных компонентов присадок, удаляемых агрегатами очистки, пропорционально интенсивности очистки и выгорания масла по этим составляющим, а также текущей концентрации их в СС;
– скорость угара масла, коэффициенты выгорания примесей и отсева их очистителями – постоянные величины.
Исходя из перечисленных выше допущений уравнение материального баланса продуктов старения в масле в дифференциальной форме за время dτ будет иметь следующий вид:
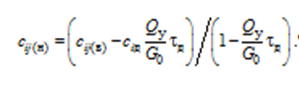
где сi – концентрация в ММ i-го продукта старения, отн. ед.; сiд – концентрация i-го компонента продукта старения в доливаемом масле, отн. ед.; ai – скорость старения масла по i-му направлению, кг/ч; Qу, Qд, Qф – скорость угара, долива масла, а также пропускная способность очистителя (фильтра), кг/ч; (Qфφф)i, KуQу – интенсивность очистки ММ и выгорания по i-му компоненту, кг/ч; Kу, φф – коэффициенты выгорания примесей и полноты их отсева, отн. ед.; G0 – вместимость СС двигателя, кг; τ – время процесса старения масла (работы двигателя), ч.
Решение линейного неоднородного дифференциального уравнения первого порядка методом вариации произвольной постоянной [12] обусловливает (при допущении G0 = const и Qу = Qд) следующее выражение для расчета концентрации i-го продукта старения в масле в момент отработки τ, ч:
(1)
где сi0 – начальная концентрация i-го продукта в масле, отн. ед.
При расчете концентрации компонентов присадок, находящихся в активной форме, скорость срабатывания присадок ai принимается со знаком минус. Для остальных компонентов положительный знак при ai указывает на то, что старение сопровождается накоплением их в масле.
Для условий, когда пополнение СС свежим маслом для компенсации его угара не производится (Qд = 0) и количество ММ в системе переменно (G = G0 – Qуτ), дифференциальное уравнение баланса продуктов старения примет следующий вид:
(2)
Решение уравнения (2) определяет следующую закономерность старения ММ в двигателе, работающем без долива масла:
(3)
Старение ММ, рассчитанное по зависимости (3), по сравнению с кинетикой этого процесса, представленной формулой (1), будет протекать более интенсивно. Обусловлено это отсутствием маслообмена, т. к. освежение масла не производится. В связи с довольно распространенной схемой эксплуатации двигателя на режимах с периодическим доливом масла представляет интерес рассмотрение кинетики его старения для этой схемы обслуживания. Периодичность долива зависит от величины Qу и вместимости G0 смазочной системы, поэтому периодичность долива τд (время работы двигателя между доливами) варьируется в очень широких пределах.
В реальных условиях эксплуатации ДВС наиболее характерен режим работы СС с периодическим доливом. Следует также отметить, что периодичность долива не всегда является постоянной величиной. Такой вариант маслоиспользования и хаотический долив свежего нефтепродукта при использовании зависимостей (1) и (3) приводит к большой погрешности расчета.
Кинетика старения моторного масла при его периодическом доливе
Особый интерес вызывает представление кинетики старения смазочного масла в циркуляционной СС с периодическим (циклическим) режимом его долива до полной компенсации угоревшего ММ. Для вывода кинетических уравнений старения масла в этих условиях воспользуемся зависимостью (3), т. е. примем решение о постоянстве скорости старения смазочного масла в период его работы между доливами. При доливе свежего масла концентрация продуктов старения будет изменяться в зависимости от величины долива, которая зависит от Qу и продолжительности τд периода работы масла между доливами.
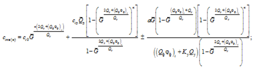
Проведя запись изменения концентрации i-го продукта старения в масле за j-й цикл работы, получим результат, который можно считать стандартным для любого этапа (цикла) работы масла при сохранении постоянства параметров ai, τд, Qу. Для реализации этой цели формула (3) преобразована с учетом параметров доливаемого масла. Долив вызовет изменение концентрации сi в масле за счет его разбавления свежим нефтепродуктом. Концентрация уменьшается при сiд = 0 и возрастает, если сiд > 0. Для такого варианта маслоиспользования концентрация продукта старения в конце j-го цикла работы (после долива) согласно формуле (3):
(4)
где сijн(в), сi(j–1)н(в) – концентрация i-го компонента старения в конце и в начале j-го цикла, отн. ед.
В формуле (4) индексы «н» и «в» означают нижний и верхний уровень концентрации i-го компонента в масле. Для НРП и других продуктов старения в цикле старения ai имеет знак «плюс», поэтому их концентрация возрастает от нижнего уровня до верхнего, а при доливе свежего масла она падает до нижнего. При срабатывании присадок концентрация активных компонентов будет падать, т. е. изменяться наоборот – переходит от верхнего уровня к нижнему. При доливе свежего масла уровень присадок повышается, поэтому
в формуле для универсальности записи ставятся двойные индексы, а перед квадратными скобками – двойной знак. Запись формулы (4) осуществлена для расчета полного цикла старения – с учетом долива свежего ММ.
Расчет концентрации cНРП на верхнем уровне (уровне «в») до долива свежего масла может производиться по формуле (4) с исключением из нее составляющей сiдQуτд / G0, т. к. сiд = 0, и делением оставшихся членов на величину 1 – Qуτд / G0. Согласно (4) для присадок относительное содержание их на верхнем уровне или при выражении cij(в) через щелочность возрастает, т. к. долив свежего ММ, имеющего более высокий уровень концентрации этого продукта, чем в отработанном за цикл τд масле, приводит к росту сi. Расчет нижнего уровня содержания присадок cij(н) в любом цикле (до долива свежего масла) ведется по формуле (4) c ее корректировкой по соотношению
.
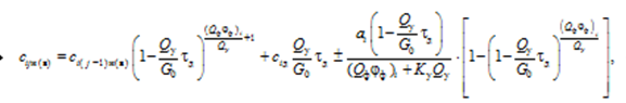
На базе формулы (4), рассчитывая последовательно каждый цикл перевода концентрации доливом свежего масла на новый уровень, можно найти значение ci для любого момента времени τ = τдn. Без промежуточных расчетов определить уровень старения ММ за n циклов нельзя. В статье осуществлено преобразование многоцикловой записи старения ММ при периодическом доливе в удобную для практического использования формулу. Запись многоциклового старения масла после ее анализа позволяет утверждать, что образуется сумма многочленов, у которых показатели степени подчиняются закону геометрической прогрессии со знаменателем
.
Используя выражения
и соотношения для n-го члена и суммы n-x членов прогрессии, получим следующее универсальное кинетическое уравнение старения смазочного масла в СС двигателя (до и после долива):
(5)
(6)
Если осуществлять долив при концентрации продуктов старения при сi0 = 0 и сiд = 0, что характерно для накопления в масле НРП, зависимости (5) и (6) трансформируются в следующие выражения:
Согласно зависимостям (5)–(8), если знать аi (скорость старения по i-му направлению), можно оценить состояние ММ в любой момент времени, кратный τд (времени долива свежего нефтепродукта), по заданному направлению старения. Пример расчета старения по накоплению НРП и срабатыванию присадок масла приведен на рисунке.
Кинетика накопления нерастворимых примесей и срабатывания присадок в моторном масле дизеля
при периодическом его доливе: Qу = 250 г/ч; Kу = 1; G0 = 115 кг; τд = 100 ч; aНРП = 4,7 г/ч; (Qфφф)НРП = 80 г/ч;
aП = 18,7 г/ч; (Qфφф)П = 20 г/ч; спо = спд = 10 %
Kinetics of accumulating the insoluble impurities and activating the additives in diesel engine oil with
its periodic refill: Qy = 250 g/h; Kу = 1; G0 = 115 kg; τд = 100 h; aНРП = 4.7 g/h; (Qфφф)НРП = 80 g/h; aП = 18.7 g/h;
(Qфφф)П = 20 g/h; спо = спд = 10%
Экспериментальные данные подтверждают обоснованность полученных закономерностей. Аппроксимирующая зависимость сНРП, сП(τ) довольно близка к усредненным значениям ci рассматриваемых кинетических кривых старения, рассчитанных по формулам (5) и (6). Все экспериментальные показатели располагаются в границах доверительного интервала поля рассеивания теоретических зависимостей, формируемого доливом масла, т. е. между сij(в) и сij(н). Хорошее совмещение результатов расчета и эксперимента в широком диапазоне τд указывает на адекватность разработанной модели и полное соответствие реальным условиям старения масла с учетом влияния на этот процесс его угара.
Оценить интенсивность очистки смазочного масла по известным параметрам, а также определить запас его качества для достижения ресурсосберегающего маслоиспользования в ДВС можно по формулам
Первый из приведенных показателей указывает на интенсивность очистки масла от НРП, а второй – на уровень присадок в доливаемом масле или скорость их срабатывания, при которых ММ может использоваться в долгоработающем режиме эксплуатации, т. е. со сроком службы более 3 тыс. ч.
Выводы
1. На основе теоретического исследования получены выражения для расчета кинетики старения смазочного масла судового дизеля при периодическом его доливе для компенсации угорающего нефтепродукта. Достоинством расчетной методики является возможность оценки состояния работающего ММ на любом этапе работы и освежения без рассмотрения промежуточных циклов. Впервые в балансе продуктов старения учтено выгорание НРП и многофункциональных присадок, находящихся в коллоидной форме при угаре масла, что позволило более точно оценить кинетику накопления в СС двигателя НРП и срабатывания присадок.
2. Сравнение теоретических и экспериментальных зависимостей старения смазочного масла по загрязнению нерастворимыми примесями и концентрации присадок в активной форме выявило их хорошую сходимость. Экспериментальные данные находятся в границах колебания показателей старения, вызываемого доливом свежего ММ, во всем диапазоне срока его службы, вплоть до стабилизации параметров состояния.
3. Полученные кинетические уравнения старения ММ не только справедливы для оценки его загрязнения НРП и срабатывания присадок, но могут использоваться и для оценки его окисления по росту кислотного числа, смолообразования и термоокислительной диструкции углеводоров. Основные зависимости трансформированы в выражения для определения условий по интенсивности удаления нерастворимых примесей средствами очистки и уровню концентрации присадок в доливаемом (свежем) продукте для обеспечения ресурсосберегающего маслоиспользования в судовом дизеле.
1. Кича Г. П., Надежкин А. В., Глушков С. В. Комплексное системное решение проблемы ресурсосберегающего маслоиспользования в судовых дизелях // Мор. интеллектуал. технологии. 2016. № 3 (33). Т. 1. С. 118-125.
2. Кича Г. П., Надежкин А. В., Перминов Б. Н. Имитационное моделирование смазки трибосопряжений и изнашивания основных деталей ДВС // Трансп. дело России. 2004. № 2. С. 51-53.
3. Кича Г. П., Сомов В. А., Солодов Д. Ф. Анализ и уточнение теоретических методов расчета процесса загрязнения масла в двигателях внутреннего сгорания // Тр. Центр. науч.-исслед. дизел. ин-та. 1970. № 60. С. 123-146.
4. Воробьев Б. Н., Надежкин А. В., Кича Г. П. Стохастическое моделирование разделения сложных гетерогенных систем судовых устройств на основе представлений и аппарата случайных марковских процессов // Мор. интеллектуал. технологии. 2017. № 3 (37). Т. 2. С. 112-120.
5. Надежкин А. В., Безвербный А. В., Кича Г. П. Имитационная модель трибодиагностики двигателей внутреннего сгорания // Трение и смазка в машинах и механизмах. 2009. № 3. С. 6-14.
6. Кича Г. П., Тарасов В. В., Деревцов Е. М. Эффективность применения в судовых дизелях регенерированных восстановленных отработанных моторных масел // Науч. проблемы трансп. Сибири и Дальнего Востока. 2016. № 1-2. С. 83-91.
7. Кича Г. П., Глушков С. В., Тарасов В. В. Регенерирование отработанных моторных масел и восстановление их эксплуатационных свойств на судах // Мор. интеллек-туал. технологии. 2016. № 3 (33). Т. 1. С. 132-138.
8. Кича Г. П., Пак Н. К. Новые инженерные решения в конструкциях саморегенерирующихся фильтров для очистки топлив и смазочных материалов на судах // Мор. интеллектуал. технологии. 2013. № 1 (19). С. 54-59.
9. Кича Г. П., Надежкин А. В., Пак Н. К. Саморегенерирующийся фильтр новой конструкции для очистки топлив и смазочных масел на судах // Науч. проблемы трансп. Сибири и Дальнего Востока. 2013. № 1. С. 203-207.
10. Тарасов М. И., Кича Г. П. Исследование влияния угара масла на его старение и состояние малоразмерного дизеля // Науч. проблемы трансп. Сибири и Дальнего Востока. 2017. № 3-4. С. 143-147.
11. Кича Г. П., Семенюк Л. А. Полнопоточная комбинированная фильтрованием и центрифугированием тонкая очистка моторного масла в судовых дизелях // Вестн. Астрахан. гос. техн. ун-та. Сер.: Морская техника и технология. 2018. № 2. С. 62-69.
12. Корн Г., Корн Т. Справочник по математике для научных работников и инженеров. М.: Наука, 1973. 831 с.



