с 01.01.2020 по 01.01.2025
Санкт-Петербург, Белгородская область, Россия
Параллельная работа трансформаторов (ТР) – одно из ключевых решений для повышения надежности электроснабжения, производства, тяговых электроподстанций, портовых сооружений производственных мощностей. От работы ТР зависит экономичность при разном цикле работы оборудования, потери на холостом ходу при неработающем оборудовании. Рассматривается возможность создания максимально экономичного цикла работы всего предприятия порта с обеспечением не только работы оборудования, но и ремонтопригодности без нарушения цикла электропитания мощностей. Работа ТР нуждается в точном расчете и необходимых условиях коммутации, которые позволяют проводить оперативный ремонт оборудования, надлежащим образом осуществлять контроль работы каждого ТР и каждого узла в отдельности. Отмечена возможность применения полного отключения оборудования с дальнейшей консервацией в период отсутствия необходимости в работе оборудования. Проведены расчеты для условий параллельной работы ТР, которые доказывают утверждение об экономической выгоде параллель-ной работы ТР, некоторые формулы выведены из теоретических основ электротехники, многие расчеты – это эмпирические исследования в области трансформаторостроения и энергосетей. Практические решения сведены в таблицы, где представлены варианты ТР с разными паспортными данными. Выявлено, какие из представленных на рынке ТР отвечают условиям параллельного включения. Рассматриваются те ТР, которые были оптимально удобны для набора необходимой мощности. Результаты исследований способны облегчить выбор ТР при проектировании новых участков энергоснабжения и модернизации существующих. Отмечено, что модели ТР для работы в сложных геоклиматических условиях, для морских платформ, зон экстремального холода и высоких температур не представлены, ТР подобного исполнения требуют отдельного исследования в связи с особенностями работы.
параллельная работа трансформатора, распределение мощностей, загруженность трансформатора, энергосбережение, нагрузка
Введение
Среди самых важных критериев энергосбережения отмечают энергоэффективность, а также надежность и устойчивость. Создание энергосетей требует от потребителей бесперебойного питания
в любое время, особенно в период пиковых нагрузок, когда необходима максимальная мощность напряжения. Для этого нужно построить систему,
в которой будут параллельно работать несколько статических устройств – трансформаторов (ТР).
В отличие от работы одной мощной трансформаторной установки параллельные работы нескольких ТР обладают рядом технических и экономических преимуществ:
1. Надежность снабжения электроэнергией потребителей, поскольку вывод из строя одного ТР не лишает потребителей электроэнергии. Нагрузку, вышедшую из строя, могут принять временно другие ТР в полной или частной степени.
2. Резервная мощность ТР при параллельном подключении будет существенно меньше, чем при потреблении одним мощным ТР.
3. Распределение нагрузки TР позволит уменьшить потери, а также обеспечит экономичный режим эксплуатации подстанции, уменьшив потери холостого хода и его загрузку на максимальный КПД.
Особенно необходима параллельная работа ТР в производственных условиях, когда имеется
неодинаковая нагрузка в рабочем режиме, в суточном режиме предприятия. В эти моменты необходима стабильная электроэнергия без скачков мощности активной и реактивной энергии. Невыполнение указанных условий приводит к ряду проблем
с электросетями потребителей, возникновению нежелательного искажения, изменению напряжения и частоты.
Материалы исследования
Параллельные работы ТР оказывают положительное влияние на работу энергосетей, их использование целесообразно и даже необходимо в следующих условиях [1–4]:
– нелинейные, резкие переменные, ударные нагрузки – силовые моторы моторных линий, электромагнитов, силовые сварочные устройства;
– возможность совмещать в одной линии энергоснабжения не только мощные машины с нелинейной нагрузкой, но и требующее особого качества энергии оборудование числового программного управления, систем IT, электронно-вычислительных машин и освещения, систем связи;
– обеспечение ступенчатого (поэтапного) включения ТР, т. е. мощностей, в случае необходимости реальной нагрузки на потребителя, если автоматический ввод резервов не позволил обеспечить необходимое быстрое восстановление питания при неселективной схеме электроснабжения нагрузки на ударную нагрузку, есть вероятность ошибочного включения автоматического ввода резервов (например, при наличии большой индуктивной мощности);
– повышение надежности работы защитных устройств при однофазном коротком замыкании (КЗ);
– снижение потери энергии при отключении ненагруженных ТР, что приводит к отсутствию потери токов холостого хода Ix.
Для параллельного использования ТР требуется надежное электротехническое оборудование с более высокой и постоянной пропускной способностью, что приводит к повышению расходов. Случаи применения параллельного включения нескольких ТР требуют индивидуального подхода при расчете технической, экономической части проекта и проработке высокого уровня надежности обслуживания и ремонта электросистемы. Следует отличать параллельный рабочий процесс ТР от совместного, когда он включен только с одной стороны на общую шину.
Параллельная работа ТР требует соблюдения общепризнанных правил монтажа и условий взаимной работы и особенностей конструкций каждого отдельного ТР. В основном эти критерии не меняются в течение всего времени работы. Условия для ТР, которые работают параллельно на одном линейном соединении одной нагрузки [1, 2, 4, 5]:
– группы соединений обмоток ТР должны быть тождественны;
– ТР должен обладать одинаковыми коэффициентами трансформации (допустимое отклонение составляет ±0,5);
– напряжения КЗ (UК) и их составляющие должны быть равны (допускается различие
не более ±10);
– отношение наибольшей номинальной мощности к наименьшей не должно превышать 1 : 3;
– выполнена фазировка ТР.
Перечисленные условия обязательны для параллельной работы, их несоблюдение влечет за собой возникновение выравнивающих токов во вторичных контурах ТР, не используется группой ТР вся мощность, что приводит к дополнительному нагреву активной части или неравномерному распределению активной нагрузки параллельных ТР.
Наилучшее решение параллельной работы ТР получается при правильном подборе ТР, когда суммарные потери холостого хода P0 и потери нагрузочные PН станут наименьшими.
Потребители являются нагрузкой ТР, поэтому нагрузочные потери изменяются пропорционально номинальной мощности к квадрату отношения нагрузки:
Pkʹ=β2Pk
где Pkʹ – нагрузочные потери при нагрузке β; β – отношение нагрузки ТР к его номинальной мощности; PК – потери КЗ ТР при его номинальной мощности.
Нагрузочные потери Pk изменяются от нуля (β = 0), когда трансформатор находится в режиме холостого хода, до Pkʹ (β = 1) – полные потери, потребители включены на номинальную мощность.
Во всех случаях, когда нагрузка равна нулю
и когда максимальна, потери на холостой ход P0 одинаковы, поэтому необходимо добиться наименьших потерь холостого хода. Рентабельно иметь ТР с наименьшими потерями.
Рассчитаем, когда выгодна работа одного ТР или нескольких при одинаковой общей нагрузке.
Суммарные потери одного ТР:
P0 + β2Pk
потери нескольких ТР:

Принимая во внимание суммарные потери при работе одного и нескольких ТР, составим уравнение

Найдем значение β:

т. е. величину отношения нагрузки ТР к его номинальной мощности. Таким образом, потери при работе нескольких ТР будут меньше, чем при работе одного ТР.
Обозначим β и βn для n-го количества ТР:
β ˂ βn,
если суммарные потери в одном ТР меньше, чем
в нескольких;
β ˃ βn,
если суммарные потери в одном ТР больше, чем
в нескольких.
Рассмотрим работу нескольких ТР. Обозначим параллельную работу трех ТР, имеющих разные напряжения КЗ UК.
На рис. 1 изображена работа трех соединенных параллельно ТР, которые имеют однотипные группы соединений и равные коэффициенты трансформаций.

Рис. 1. Схема для параллельной работы
трансформаторов
Fig. 1. Diagram of parallel operation of transformers
В данном расчете мы не будем рассматривать токи намагничивания и используем упрощенную схему замещения трансформаторов, обозначив их как ZК1, ZК2, ZК3, параллельные работы трех трансформаторов могут быть представлены на рис. 2.
Согласно схеме (рис. 2) падения напряжения
![]()
у всех трех трансформаторов одинаковы и равны:
где Í – общий ток нагрузки; Z – суммарное полное сопротивление схемы замещения, которое определяется по формуле
(2)
где ZК1, ZК2 и ZК3 – эквивалентное сопротивление соответствующего ТР.

Рис. 2. Упрощенная схема параллельной работы
трансформаторов с одинаковыми группами
соединений и коэффициентами трансформации
Fig. 2. Simplified diagram of parallel operation
of transformers with similar groups of connections
and transformation ratios
Токи отдельных ТР вычисляем по формуле

Как правило, эти токи не совпадают с фазой, поскольку аргументы φКI, φКII, φКIII комплексов
сопротивлений КЗ

могут быть не равны.
Например:

т. е. ÍI и ÍII сдвинуты по фазе на угол φКII – φКI. Однако в нормальных условиях эти изменения фазы незначительны, и можно с большой точностью принять

т. е. ÍI и ÍII сдвинуты по фазе на угол φКII – φКI. Однако в нормальных условиях эти изменения фазы незначительны, и можно с большой точностью принять
II + III + IIII = I
Таким образом, арифметические суммы полной мощности ТР с высокой точностью полной мощности нагрузки:
SI + SII + SIII = S
Комплексные значения в выражениях (1) и (2) могут быть заменены на модули. Составим уравнение

и аналогичные выражения для ZКII и ZКIII.
Подставляем эти выражения для ZК в (2) и заменяем токи пропорциональными их полным мощностям, умножив (2) на mUН .
Получим выражения
и аналогичные выражения для ZКII и ZКIII.
Подставляем эти выражения для ZК в (2) и заменяем токи пропорциональными их полным мощностям, умножив (2) на mUН .
Получим выражения

(3)
где Sp – общая нагрузка трансформаторов, кВА;
Si – полная мощность, которая будет передаваться через рассматриваемый i-й ТР в сеть вторичного напряжения, кВА; SНОМI – номинальная мощность рассматриваемого i-го ТР; SНn – мощность n-го ТР, работающего параллельно, кВА; UКi% – напряжение КЗ рассматриваемого i-го ТР, %; UКn% – напряжение КЗ n-го ТР, %; n – количество параллельно работающих ТР.
Согласно результатам исследований [2, 3, 6], напряжение КЗ параллельно подключенных ТР может отличаться не более ±10 %. В нескольких источниках [1–3, 7] не указывается конкретно,
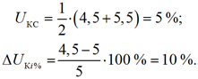
в каком значении UК определяется это отклонение. Поэтому допустимое различие в напряжениях КЗ по отношению к среднему значению UКС найдем исходя из выражения (2) [8]:
(4)
Любое фактическое отклонение напряжения КЗ n-го ТР от UКС выражено в процентах и рассчитывается по формуле
(5)
Согласно производственным характеристикам, ТР с номинальной мощностью 630–2 500 кВА, напряжением (6–10) / 0,4 кВ, применяемые в системах электроснабжения предприятий, имеют значения 4,5; 5,5 и 6 % [9].
Выполним расчеты по формулам (4) и (5) для каждой группы ТР и определим, возможна ли параллельная работа двух ТР из группы [10–12]:

Аналогичный расчет произведем для других сочетаний ТР UК. Определим мощности, передаваемые через ТР в сеть напряжением до 1 000 В двух и трех подстанций ТР. Результаты приведены в табл. 1.
Таблица 1
Table 1
Сочетания трансформаторов при различных напряжениях UК
Combinations of transformers at different voltages UК
|
№ группы |
№ ТР |
Напряжение КЗ, % |
Среднее значение UКС, % |
Значение ∆UК, % |
Параллельная работа |
|
1 |
1 |
4,5 |
5 |
–10 |
+ |
|
2 |
5,5 |
+10 |
|||
|
2 |
2 |
5,5 |
5,75 |
–4,35 |
+ |
|
3 |
6 |
+4,35 |
|||
|
3 |
1 |
4,5 |
5,33 |
–18,75 |
– |
|
2 |
5,5 |
–12,12 |
|||
|
3 |
6 |
–9,37 |
|||
|
4 |
1 |
4,5 |
4,5 |
0 |
+ |
|
1 |
4,5 |
0 |
|||
|
1 |
4,5 |
0 |
|||
|
5 |
1 |
4,5 |
5,17 |
–19,35 |
– |
|
2 |
5,5 |
–19,35 |
|||
|
2 |
5,5 |
0 |
|||
|
6 |
2 |
5,5 |
5,5 |
0 |
+ |
|
2 |
5,5 |
0 |
|||
|
2 |
5,5 |
0 |
|||
|
7 |
3 |
6 |
5,67 |
8,82 |
+ |
|
2 |
5,5 |
8,82 |
|||
|
2 |
5,5 |
0 |
|||
|
8 |
3 |
6 |
5,83 |
0 |
+ |
|
3 |
6 |
5,6 |
|||
|
2 |
5,5 |
5,6 |
|||
|
9 |
3 |
6 |
6 |
0 |
+ |
|
3 |
6 |
0 |
|||
|
3 |
6 |
0 |
|||
|
10 |
3 |
6 |
5,5 |
0 |
– |
|
3 |
6 |
27,3 |
|||
|
1 |
4,5 |
27,3 |
|||
|
11 |
3 |
6 |
5 |
30 |
– |
|
1 |
4,5 |
30 |
|||
|
1 |
4,5 |
0 |
|||
|
12 |
3 |
6 |
5,33 |
9,38 |
– |
|
2 |
5,5 |
28,1 |
|||
|
1 |
4,5 |
18,8 |
При разных UК и SНОМ = 1 000 кВА выполним расчет по формуле (3) для разной общей мощности нагрузки (Sр ≤ ∑SНОМi). Для примера произведем расчет для первой группы ТР (см. табл. 1) [13, 14]:


Расчет допустимых сочетаний UК работы ТР
и остальных значений Sp произведем исходя из характеристики линейки ТР в табл. 2 [9].
Результаты произведенных расчетов возможных сочетаний ТР приведены в табл. 3.
Также выполним расчет для ТР с разными UК
и SНОМ, данные сведем в табл. 4.
Таблица 2
Table 2
Характеристика трансформаторов
Characteristics of transformers
|
Модель ТР |
Номинальная мощность SНОМ, кВА |
Напряжение КЗ UК, % |
|
ТМГ 12-400/10-У1(ХЛ1) |
400 |
4,5 |
|
ТМГ 12-630/10-У1(ХЛ1) |
630 |
5,5 |
|
ТМГ 12-1000/10-У1(ХЛ1) |
1 000 |
5,5 |
|
ТМГ 12-1250/10-У1(ХЛ1) |
1 250 |
6 |
Таблица 3
Table 3
Сочетания трансформаторов при различной величине нагрузки Sp
Combinations of transformers with different load Sp
|
Общая нагрузка ТР Sp, кВА |
Номинальная мощность ТР SН, кВА |
||||
|
ТР 1 |
ТР 2 |
ТР 3 |
|||
|
Группа № 1 |
|||||
|
1 000 |
550 |
450 |
Рассматривается группа |
||
|
1 500 |
825 |
675 |
|||
|
2 000 |
1 100 |
900 |
|||
|
2 400 |
1 320 |
1 080 |
|||
|
Группа № 2 |
|||||
|
1 000 |
521,8 |
478,3 |
Рассматривается группа |
||
|
1 500 |
782 |
717,4 |
|||
|
2 000 |
1 043 |
956,5 |
|||
|
2 400 |
1 252 |
1 147,8 |
|||
|
Группа № 7 |
|||||
|
1 000 |
342,8 |
342,9 |
314,3 |
||
|
1 500 |
514,3 |
514,3 |
741,4 |
||
|
2 000 |
685,7 |
685,7 |
628,6 |
||
|
2 500 |
857,1 |
857,1 |
785,7 |
||
|
3 000 |
1 028,6 |
1 028,6 |
942,9 |
||
|
3 600 |
1 234,3 |
1 234,3 |
1 131,4 |
||
|
Группа № 8 |
|||||
|
1 000 |
553 |
323,5 |
323,5 |
||
|
1 500 |
529,4 |
485,3 |
485,3 |
||
|
2 000 |
705,9 |
647 |
647 |
||
|
2 500 |
882,3 |
808 |
808 |
||
|
3 000 |
1 058,8 |
970,6 |
970,6 |
||
|
3 600 |
1 270,6 |
1 164,7 |
1 164,7 |
||
Таблица 4
Table 4
Сочетания трансформаторов при различных величинах Sp и UК
Combinations of transformers with different values of Sp and UК
|
Общая нагрузка трансформаторов Sp, кВА |
Номинальная мощность ТР SНОМ, кВА |
|||
|
ТР 1 |
ТР 2 |
ТР 3 |
||
|
Группа № 1 |
||||
|
|
400 |
1 000 |
Рассматривается группа |
|
|
1 000 |
328,4 |
450 |
||
|
1 500 |
492,5 |
675 |
||
|
2 000 |
657 |
900 |
||
|
2 400 |
788 |
1 080 |
||
Окончание табл. 4
Ending of Table 4
|
Общая нагрузка трансформаторов Sp, кВА |
Номинальная мощность ТР SНОМ, кВА |
|||
|
ТР 1 |
ТР 2 |
ТР 3 |
||
|
Группа № 2 |
||||
|
|
630 |
1 250 |
Рассматривается группа |
|
|
1 000 |
354,8 |
645,2 |
||
|
1 500 |
532,1 |
967,9 |
||
|
2 000 |
709,5 |
1 290,5 |
||
|
2 400 |
851,4 |
1 548,6 |
||
|
Группа № 8 |
||||
|
|
630 |
1 000 |
1 250 |
|
|
1 000 |
227 |
360,3 |
413 |
|
|
1 500 |
340,4 |
540,4 |
619,2 |
|
|
2 000 |
454 |
720,5 |
825,6 |
|
|
2 500 |
567,4 |
900,6 |
1 072 |
|
|
3 000 |
680,8 |
1 080,8 |
1 238,4 |
|
|
3 600 |
817 |
1297 |
1 486 |
|
|
Группа № 9 |
||||
|
|
630 |
1 250 |
1 250 |
|
|
1 000 |
216 |
392,2 |
392,2 |
|
|
1 500 |
223,5 |
588,3 |
588,3 |
|
|
2 000 |
431,3 |
784,4 |
784,4 |
|
|
2 500 |
539 |
980,5 |
980,5 |
|
|
3 000 |
647 |
1 176,6 |
1 176,6 |
|
|
3 600 |
776,3 |
1 411,9 |
1 411,9 |
|
Заключение
Таким образом, условия для параллельной работы являются самыми лучшими при равных значениях UК. При неравных значениях UК повышение нагрузки номинальной мощности достигнет ТР с наименьшим UК. Остальные ТР в параллельной работе будут недогружены. Дальнейшее повышение общей нагрузки будет недопустимо, поскольку ТР с меньшим UК перегрузится. Такое распределение мощностей справедливо для ТР с одинаковой SНОМ и разными UК, % [15, 16].
При параллельно работающем ТР с разными UК, но одинаковыми номинальными мощностями возникает разница между мощностью, передаваемой через ТР, и установленные мощности будут недоиспользованы. Например: разница UК на 0,5 % влечет к увеличению разницы мощностей в 2,3 раза.
Недопустимо превышать соотношение номинальных мощностей более 1/3. При параллельной работе ТР с наименьшей мощностью даже при незначительной перегрузке будет больше нагружаться
в процентном соотношении, располагая меньшим UК.
Если параллельно работают ТР разной мощности, значительно эффективнее, если ТР меньшей мощности имеет большее напряжение UК. Действительно, при нагрузке он окажется недогруженным, но это не представляет большого неудобства, т. к. недогрузка ТР меньшей мощности оказывает экономически незначительное влияние на общую мощность системы, в отличие от неполной нагрузки большего трансформатора. В случае если ТР меньшей мощности имеет меньшее напряжение UК, то он ограничивает работу всей системы. Его нагрузку требуется разгрузить, чтобы ТР не оказался перегруженным.
1. Вольдек А. И., Попов В. В. Электрические машины. Введение в электромеханику. Машины постоянного тока и трансформаторы. СПб.: Питер, 2008. 320 с.
2. Алпатов М. Е., Бутырин П. А. Аналитическая теория трансформаторов: моногр. М.: Изд-во МЭИ, 2019. 110 с.
3. Щукин О. С. Электрические машины. Трансформаторы. Асинхронные машины. Нижневартовск: Изд-во НВГУ, 2009. 109 с.
4. Киреева Э. А. Электроснабжение и электрооборудование организаций и учреждений. М.: Кнорус, 2015. 234 с.
5. Осташенков А. П. Трансформаторное оборудование. Йошкар-Ола: Изд-во ПГТУ, 2020. 80 с.
6. Kirtley J. L. Transformers: Electric Power Princi-ples: Sources, Conversion, Distribution and Use, Second Edition, 2019. URL: https://doi.org/10.1002/9781119585305.ch6 (дата обращения: 25.08.2022).
7. Marenbach R., Jäger J., Nelles D. Elektrische Ener-gietechnik,Grundlagen, Energieversorgung, Antriebe und Leistungselektronik, 2020. URL: https://link.springer.com/book/10.1007/978-3-658-29492-2#bibliographic-information (дата обращения: 14.08.2022).
8. Литвинов И. И. Системы учета электроэнергии в электрических сетях: учеб. пособие. Новосибирск: Изд-во НГТУ, 2022. 121 с.
9. Акимов Е. Г. Трансформаторы силовые и измерительные: справ. М.: Ай Би Тех, 2004. 384 с.
10. Кудашев А. С. Электрические сети и подстанции: учеб. пособие. Волгоград: Изд-во ВолгГТУ, 2021. 102 с.
11. Кокин С. Е. Проектирование подстанций распределительного электросетевого комплекса. М.: Изд-во МЭИ, 2018. 231 с.
12. Немировский А. Е. Электрооборудование электрических сетей, станций и подстанций. М.: Изд-во МЭИ, 2018. 223 с.
13. Шульга Р. Н. Специальные вопросы разработки выключателей генераторов, трансформаторов, конденсаторных батарей: учеб. пособие. М.: Изд-во МЭИ, 2021. 232 с.
14. Киреева Э. А. Устройство и техническое обслуживание электрических подстанций. М.: Академия, 2020. 255 с.
15. Николаев М. Ю., Горюнов В. Н., Прусс С. Ю. и др. Основы составления главных схем электрических подстанций. Омск: Изд-во ОмГТУ, 2019. 93 с.
16. Конюхова Е. А. Электроснабжение объектов. М.: Академия, 2021. 398 с.



