Россия
Россия
Исследование посвящено оценке роли рыб семейства карповых (густера, лещ и др. виды) в формировании нерестового стада и структуре ихтиоценоза р. Промысловой (Калининградская обл.) – одного из ключе-вых водотоков бассейна Куршского залива Балтийского моря. На основе шестилетнего мониторинга (2017, 2018, 2021–2024 гг.) с применением гидроакустического комплекса NetCor и контрольных обловов ставными сетями выявлена трансформация рыбного сообщества, разделенная на две фазы. В период 2017–2021 гг. доминировали лещ, густера и плотва, однако в 2022–2024 гг. густера стала абсолютным доминантом (76 % численности, 75 % биомассы). Рост ее доли связан со снижением численности леща из-за бара в устье, ограничивающего его миграцию. Индекс Палия – Ковнацки подтвердил трансформацию сообщества: во второй фазе густера преобладала на всех участках реки, включая нерестилища. Пространственный анализ показал снижение доли густеры от устья (89 %) к верховьям (50 %), а временное распределение выявило растянутый нерестовый ход данного вида (апрель–июнь). В 2024 г. зафиксировано общее снижение численности рыб, вероятно, из-за мелиоративных работ по расчистке русла, повлиявших на гидрологический режим и кормовую базу данной реки. Сопоставление данных гидроакустики и сетных уловов подтвердило высокую корреляцию методов и эффективность применения гидроакустики в условиях малых рек Калининградской области. Работа подчеркивает ключевую роль густеры в поддержании устойчивости ихтиоценоза в условиях антропогенного воздействия и необходимость учета таких видов при управлении водными экосистемами бассейна Балтийского моря.
густера (Blicca bjoerkna, L.), лещ (Abramis brama, L.), семейство карповые (Cyprinidae), ихтиоценоз, река Промысловая, малые реки, гидроакустика, Куршский залив
Введение
Калининградская область, обладающая разветвленной сетью водных объектов, играет ключевую роль в поддержании экологического баланса бассейна Балтийского моря. Малые реки региона, соединяющиеся с крупными водоемами, служат не только миграционными путями для рыб, но и важными биотопами для формирования ихтиоценозов. Среди таких водотоков особое рыбохозяйственное значение имеет р. Промысловая – типичный представитель малых рек бассейна Куршского залива. Ее экосистема вносит существенный вклад в поддержание био-разнообразия как самого залива, так и прилегающих акваторий, выступая местом нереста и нагула для многих видов рыб. Ранее проведенные исследования [1, 2] позволили выявить некоторые особенности нерестовой миграции рыб в р. Промысловой, однако роль отдельных видов в структуре ихтиоценоза требует детализации. В частности, густера (Blicca bjoerkna, L.) и лещ (Abramis brama, L.), будучи массовыми видами в пресноводных экосистемах региона, могут оказывать значимое влияние на формирование нерестовых стад и трофические взаимодействия. Однако их вклад в поддержание устойчивости ихтиоценозов малых рек бассейна Куршского залива остается недостаточно изученным. Целью работы является оценка роли карповых видов рыб, в частности густеры и леща, в формировании нерестового стада и их значения для структуры ихтиоценоза р. Промысловой на основе обобщения данных за шестилетний период (2017, 2018, 2021–2024 гг.). Исследование предполагает решение следующих задач:
- анализ динамики численности и простран-ственно-временного распределения густеры и леща в весенний период;
- определение их роли в общей структуре рыбного сообщества реки.
Материалы и методы
Материалом для настоящей работы послужили результаты гидроакустического мониторинга миграций рыб, проведенного в весенний период 2017, 2018, 2021–2024 на р. Промысловой научным комплексом NetCor [3]. Всего было проанализировано 3 398 файлов эхограмм, состоящих из 36 358 страниц, по которым были сформированы результаты их обработки (сила цели, количество зарегистрированных особей). Восстановление размерного состава зарегистрированных прибором особей осуществлялось на основании полученных данных о силе цели отраженных сигналов и уравнения для бокового ракурса [4], хорошо зарекомендовавшего себя в исследованиях других водных объектов Ка-лининградской области [5, 6]:
TS = 24,2 logL – 68,3 + d,
где TS – сила цели, дБ; L – длина, см; d – поправка при разных (используемой и референтной) частотах; 24,2 и 68,3 – эмпирические коэффициенты.
Видовая идентификация регистрируемых гид-роакустическим комплексом рыб и их размерный состав определялись на основании обловов став-ными одностенными жаберными сетями с шагом ячеи от 10 до 110 мм, которые проводились на трех основных участках реки:
- выше по течению реки на расстоянии 60–100 м от места установки гидроакустического комплекса (станция 1);
- на расширении р. Промысловой на расстоя-нии порядка 4 км от ее устья (станция 2);
- в Грибовом пруду на расстоянии 7,3 км от устья р. Промысловой (станция 3).
Обловы участка р. Промысловой в непосред-ственной близости работы гидроакустического комплекса позволили оценить видовой и размерный состав рыб, проходящих через сканируемое эхолотом сечение данного водотока, а результаты сетных съемок, проведенных на ее расширении и в Грибовом пруду, которые являются основными местами нереста весенне-нерестующих рыб, позволили сопоставить видовую структуру различных участков реки в целом и нерестилищ в частности. Схема расположения гидроакустического створа и мест проведения обловов на р. Промысловой представлены на рис. 1.

Рис. 1. Схема расположения гидроакустического створа и проведения контрольных обловов на р. Промысловой
Fig. 1. Diagram of the location of the hydroacoustic valve and the conduct of control fishing on the Promyshlovaya River
Материалы собирались и анализировались с применением стандартных ихтиологических методов [7], а также авторских методик, модифицированных для специфики малых водоемов Калининградской области [8]. Обработка данных контрольных обловов велась в информационно-аналитической системе «Рыбвод» [8]. За рассматриваемый период наблюдений были проанализированы результаты 671 облова и 10 692 экземпляров рыб.
Результаты и обсуждение
Контрольные обловы разноячейными сетями за рассматриваемый период наблюдений (2017, 2018, 2021–2024 гг.) позволили оценить динамику видовой структуры ихтиоценоза р. Промысловой. В ходе шестилетнего мониторинга было идентифицировано 23 вида рыб, при этом анализ собранной информации выявил выраженную трансформацию сообщества, что позволило разделить изучаемый период на две фазы: с 2017 по 2021 г. и с 2022 по 2024 г. Первая фаза (2017–2021 гг.) характеризовалась доминированием густеры, леща и плотвы, совокупная доля которых по численности превышала 70 %. В 2018 г. было отмечено увеличение доли ерша до 27 % от общего количества особей. По биомассе в указанный период преобладал лещ (более 59 % от совокупного показателя). Вторым и третьим видами по биомассе были густера и плотва, причем доля густеры постепенно снижалась, и к 2021 г. биомасса плотвы почти в 1,5 раза стала выше биомассы густеры. Во второй фазе (2022–2024 гг.) произошли изменения в видовой структуре рыбного сообщества р. Промысловой: доминирующим видом стала густера, составив в среднем более 76 % по численности и более 75 % по биомассе.
Доля окуня и прочих видов (вьюн, голавль, горчак, елец, жерех, карась золотой, карась серебряный, карп, колюшка девятииглая, колюшка трехиглая, красноперка, линь, пескарь, рыбец, судак, уклейка, щука, язь) по численности и биомассе была незначительна и составила порядка 15 и 8 % в первой фазе и 8 и 8 % во второй фазе соответ-ственно (рис. 2).

а б
Рис. 2. Динамика видовой структуры рыбного сообщества р. Промысловой: а – численность; б – биомасса
Fig. 2. Dynamics of the species structure of the fishing community of the Promyslovaya River:
a – abundance; б – biomass
С целью более детального анализа вклада каждого вида в состав рыбного сообщества р. Промысловой в выделенные две фазы (2017–2021 и 2022–2024 гг.) был рассчитан индекс Палия – Ковнацки [9]. В 2017–2021 гг. согласно данному индексу доминирующими по численности видами являлись плотва, густера и лещ, субдоминантами – ерш, окунь и уклейка; по биомассе доминирующим видом был лещ, субдоминантными – густера и плотва (рис. 3).

Рис. 3. Степень доминирования видов рыб р. Промысловой по индексу доминирования Палия – Ковнацки
по данным контрольных обловов 2017, 2018 и 2021 гг.
Fig. 3. The degree of dominance of fish species of the Promyslovaya River according to the Paliya – Kovnatsky
dominance index according to the control catches of 2017, 2018 and 2021
Во второй фазе единственным доминантным и по численности, и по биомассе видом стала густера. Лещ и плотва перешли в группу субдоминантных по численности видов, сюда же добавился и ерш. По биомассе в данную группу, помимо леща и плотвы, также вошли окунь и красноперка (рис. 4).

Рис. 4. Степень доминирования видов рыб р. Промысловой по индексу доминирования Палия – Ковнацки
по данным контрольных обловов 2022–2024 гг.
Fig. 4. The degree of dominance of fish species of the Promyslovaya River according to the Paliya – Kovnatsky
dominance index according to the control catches of 2022-2024
Анализ размерно-видовой структуры, полученной по данным контрольных обловов по каждой из двух выделенных фаз, показал, что основные различия в видовой структуре наблюдаются в размерных группах от 6 до 30 см. При этом особи с размерами до 6 см были представлены только ершом, от 27 до 45 см – в большинстве своем лещом, более 45 см – исключительно щукой. В первой фазе в размерных классах 12–15 и 21–24 см преобладала плотва, в то время как густера по численности доминировала лишь в размерных группах 15–21 см. Во второй фазе густера в большинстве своем была представлена размерами рыб от 12 до 24 см, доля плотвы по сравнению с первой фазой, наоборот, снизилась: в размерных группах 9–12 и 21–24 см она являлась вторым по численности видом (рис. 5).

а б
Рис. 5. Размерно-видовая структура рыбного сообщества р. Промысловой:
а – 2017–2021 гг.; б – 2022–2024 гг.
Fig. 5. The size and species structure of the fishing community of the Promyslovaya River:
a – 2017-2021; б – 2022-2024
В пространственно-временном распределении также прослеживаются определенные изменения в видовой структуре рыбного сообщества р. Про-мысловой. Так, в первой выделенной ранее фазе можно отметить различия в соотношении численности рыб между участком реки, расположенным в 1 км от устья (станция 1), и остальными двумя участками реки – ее расширении (на расстоянии порядка 4 км от устья) (станция 2) и Грибовом пруду (станция 3), причем последние две станции в целом имели сходную видовую структуру ихтиоценоза. Если на первой станции по численности преобладали лещ, виды, отнесенные ранее к группе «прочие виды», и ерш, то на остальных двух доминировали густера и плотва. Во второй фазе на всех станциях отмечалась преобладающая доля густеры по отношению к остальным видам, которая постепенно снижалась по мере удаления от устья: с 89 % на первой станции до 50 % на третьей (рис. 6).

а б
Рис. 6. Пространственная структура рыбного сообщества р. Промысловой:
а – 2017–2021 гг.; б – 2022–2024 гг.
Fig. 6. Spatial structure of the fishing community of the Promyslovaya River:
a – 2017-2021; б – 2022-2024
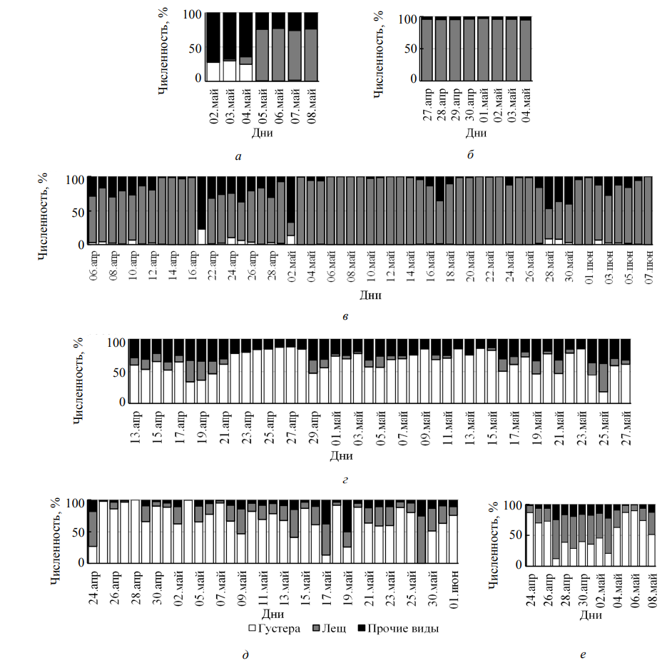
Данные гидроакустических исследований позволили по силе цели отраженного сигнала и уравнению для бокового ракурса восстановить размерный состав мигрирующих рыб. Сопоставление последнего с размерно-видовой структурой уловов ставных сетей дало возможность распределить количественные оценки результатов обработки эхограмм по видам рыб и сопоставить интенсивность захода с конкретными видами, в частности с лещом и густерой. В первой фазе в структуре нерестового хода преобладал лещ, а его заход в реку был растянут во времени. Выраженный ход густеры при этом практически отсутствовал: ее мигра-ционная активность приходилась на вторую часть апреля – начало мая и на последнюю декаду мая. Во второй фазе, начиная с 2022 г., в видовой структуре нерестового стада преобладала густера, ее ход был значительно растянут во временном аспекте: начиная с середины апреля вплоть до начала июня. Лишь в 2024 г. можно выделить период с 27 апреля по 3 мая, когда в видовой структуре нерестовой миграции преобладал лещ (рис. 7).

Рис. 7. Интенсивность миграций рыб р. Промысловой по данным гидроакустики
(видовая структура восстановлена по данным контрольных обловов):
а – 2017 г.; б – 2018 г.; в – 2021 г.; г – 2022 г.; д – 2023 г.; е – 2024 г.
Fig. 7. Intensity of migrations of fish of the Promyslovaya River according to hydroacoustics data
(the species structure was restored according to control catches):
a – 2017; б – 2018; в – 2021; г – 2022; д – 2023; е – 2024
Известно, что на нерестовые миграции рыб влияют абиотические и биотические факторы среды. Среди абиотических факторов выделяют такие, как температура воды, сила и направление ветра, солнечная активность, уровень воды [1]. Сопоставление результатов мониторинга температуры и интенсивности хода густеры как доминантного представителя рыбного сообщества р. Промысловой во второй фазе наблюдений позволяют с уверенностью сказать, что температура воды являлась скорее второ-степенным показателем и не оказывала существенного влияния на заход данного вида в р. Промысловую (рис. 8), а активность нерестовой миграции определялась другими факторами, требующими дальнейшего изучения.
Рис. 8. Динамика изменения температурных условий и интенсивности миграции густеры р. Промысловой
по данным гидроакустики: а – 2022 г.; б – 2023 г.; в – 2024 г.
Fig. 8. Dynamics of changes in temperature conditions and intensity of migration
of the Promyslovaya River estuary according to hydroacoustics data:
a – 2022; б – 2023; в – 2024
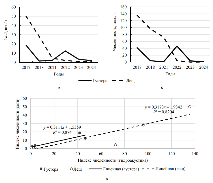
Анализ динамики интенсивности миграции гу-стеры р. Промысловой во второй фазе наблюдений показал снижение количества рыб данного вида, приходящихся на одни календарные сутки (с нескольких тысяч штук в 2021 г. до нескольких сотен в 2022 г. и до нескольких десятков в 2024 г.) (см. рис. 8). В связи с этим была проанализирована динамика индексов численности данных сетных уловов и гидроакустики за весь период наблюдений (рис. 9).

Рис. 9. Динамика индекса численности густеры и леща по данным контрольных обловов ставными сетями (а)
и гидроакустики (б) и сила линейной связи между индексами численности по сетям и гидроакустике (в)
Fig. 9. The dynamics of the abundance index of groupers and bream according
to the control catches of steel nets (a) and hydroacoustics (б), and the strength of the linear relationship between
the abundance indices for nets and hydroacoustics (в)
Результаты показали снижение численности леща в р. Промысловой с 2017 г., когда наблюда-лись максимальные значения индекса численности. В 2022 г. отмечается увеличение численности густеры в реке после некоторого ее снижения в 2018 и 2021 гг. Однако к 2024 г. отмечается общая тенденция к снижению численности рыб. Как видно, данные сетных уловов и акустики дают сходную динамику индексов численности (коэффициент линейной корреляции Пирсона (p = 0,05) составляет 0,93 для густеры и 0,91 для леща), что позволяет говорить о сходстве оценок двух методов и высо-кой степени достоверности получаемой средствами гидроакустики информации.
Снижение доли леща в структуре рыбного со-общества р. Промысловой и его численности может быть отчасти объяснено наличием бара в устье данного водотока [2], который вполне мог препятствовать заходу производителей данного вида в период нереста. Отсутствие пищевой конкуренции позволило густере занять экологическую нишу в реке и стать доминирующим по численности и биомассе видом. При этом общее снижение численности рыб в реке, отмечаемое в 2024 г., может быть временным явлением и связано, вероятнее всего, с проведением мелиоративных работ по расчистке русла р. Промысловой. На данный момент проведена реабилитация участка водотока протяженностью свыше 6,5 км от устья реки [10]. Проведенные работы, безусловно, повлияли на экосистему водотока и структуру его рыбного сообщества, однако в дальнейшем, по мере формирования естественных процессов и развития высшей водной растительности, р. Промысловая снова сможет выйти на «прежние» позиции и стать местом обитания и нереста для многочисленных и, прежде всего, ценных видов рыб.
Заключение
Проведенное исследование выявило значительные изменения в структуре ихтиоценоза р. Промысловой. На основе шестилетнего мониторинга (2017–2024 гг.) установлено, что в 2017–2021 гг. доминирующими видами по биомассе были лещ, густера и плотва, однако к 2022–2024 гг. густера стала абсолютным доминантом. Это подтвержда-ется расчетами индекса Палия – Ковнацки, кото-рый отразил переход густеры в категорию един-ственного доминирующего вида во второй фазе исследований. Вероятнее всего, наблюдаемые изменения связаны с формированием отмели в устье реки, которая ограничила миграцию леща, освободив экологическую нишу для густеры. Анализ гидроакустических данных показал, что нерестовый ход густеры растянут во времени (апрель–июнь) и не коррелирует с температурными условиями, что указывает на влияние иных факторов среды, требующих дальнейшего изучения (например, гидрологического режима или биотических взаимодействий). Высокая согласованность данных сетных обловов и гидроакустики (коэффициент корреляции Пирсона ≥0,91) подтверждает надежность примененных методов для оценки численности густеры и структуры ихтиоценоза в целом. Полученные данные могут играть важную роль при разработке мер по сохранению биоразнообразия бассейна Куршского залива, включая регулирование мелиорации и восстановление миграционных путей для леща. Дальнейшие исследования должны быть направлены на долгосрочный мониторинг восстановления экосистемы после антропо-генных вмешательств и анализ влияния климати-ческих факторов на динамику нерестовых мигра-ций. Работа вносит вклад в понимание механизмов перестройки рыбных сообществ, что необходимо для устойчивого управления водными ресурсами Балтийского региона.
1. Алдушин А. В., Алдушина Ю. К., Бурбах А. С. Характеристика нерестовой миграции рыб в реках бассейна Куршского залива на примере реки Промысловая // Рыбное хозяйство. 2024. № 2. С. 71–78. DOIhttps://doi.org/10.36038/0131-6184-2024-2-71-78.
2. Шибаев С. В., Соколов А. В., Алдушин А. В., Дегтев А. И., Новожилов О. А., Барановский П. Н., Серпунин Г. Г., Саускан В. И. Оценка воспроизводительной способности и возможного эффекта рыбохозяйственной мелиорации на примере реки Промысловой бассейна Куршского залива // Изв. КГТУ. 2019. № 55. С. 145–160.
3. Дегтев А. И., Мощевикин А. П., Борисенко Э. С., Мочек А. Д., Смирнов Ю. В. Количественная оценка проходных рыб гидроакустическим методом на мелководных водотоках // Рыбное хозяйство. 2007. № 6. С. 102.
4. Lilja J., Marjomäkia T., Riikonenb R., Jurveliusb J. Side-aspect target strength of Atlantic salmon (Salmo salar), brown trout (Salmo trutta), whitefish (Coregonus lavaretus), and pike (Esox lucius) // Aquatic Living Resources. 2000. V. 13. P. 355–360.
5. Алдушин А. В., Алдушина Ю. К. Характеристика нерестового хода рыб рек бассейна Вислинского залива на примере реки Прохладной // Изв. КГТУ. 2024. № 72. С. 11–25. DOIhttps://doi.org/10.46845/1997-3071-2024-72-11-25.
6. Алдушин А. В. Первые результаты мониторинга нерестового хода рыб в реке Матросовка Калининградской области // Биологическое разнообразие: изучение, сохранение, восстановление, рациональное использование: материалы IV Междунар. науч.-практ. конф., посвящ. 110-летию со дня основания Карадаг. науч. ст. им. Т. И. Вяземского (Керчь, 17–23 сентября 2024 г.). Симферополь: Изд-во «Типография "Ариал"», 2024. С. 154–159.
7. Правдин И. Ф. Руководство по изучению рыб (преимущественно пресноводных). М.: Пищ. пром-сть, 1966. 376 с.
8. Шибаев С. В. Теоретические основы применения системного подхода в рыбохозяйственных исследованиях и информационном обеспечении управления водными биоресурсами внутренних водоемов: автореф. дис. ... д-ра биол. наук. Калининград, 2002. 42 с.
9. Мэгарран Э. Экологическое разнообразие и его измерение. М.: Мир, 1992. 184 с.
10. Завершена расчистка реки Промысловой в Славском округе // Портал Правительства Калининградской области. URL: https://gov39.ru/press/375998/?sphrase_id=2691660 (дата обращения: 27.05.2025).



