Россия
Россия
Россия
Электроэнергетический комплекс является критически важной составляющей отраслевой экономики, а его стабильное развитие и устойчивое функционирование обеспечивает энергетическую безопасность страны. Региональный аспект электроэнергетики характеризуется тесным взаимодействием с конечным потребителем, где развитие дополнительных механизмов для участников взаимодействия является необходимым условием для поддержания работоспособности системы энергоснабжения. Рассматривается вопрос реализации нового инструмента регуляторного соглашения для электросетевого комплекса Астраханской области, призванного устранить недостаток средств и недофинансирования сетевой организации. До настоящего времени в государстве не сформирована действенная структура управления и налаженная процедура применения такого инструмента, как регуляторное соглашение, опыт применения таких соглашений в Астраханской области может послужить базой для внедрения аналогичных инструментов в других субъектах. Проведен анализ основных характеристик электроэнергетического кластера Астраханской области, в результате которого территориальная сетевая организация филиал ПАО «Россети Юг» – «Астраханьэнерго» определена как наиболее предпочтительная для применения регуляторных соглашений. Дана характеристика классификации методов государственного регулирования цен (тарифов) на продукцию и услуги в электроэнергетике. Описана текущая проблематика деятельности в условиях критического недостатка денежных средств, в том числе вызванного проблемами тарифного регулирования. На основе анализа данных сделан вывод о невозможности снижения объема обоснованного долга, признанного регулирующим органом перед сетевой организацией, через тарифные решения. В контексте существующей проблематики рассмотрен механизм регуляторного соглашения как специализированный инструмент персонального регулирования, используемый исключительно для преодоления наиболее серьезных проблем и реализации масштабных инфраструктурных проектов. Обоснован алгоритм разработки проекта регуляторного соглашения для сетевой организации ПАО «Россети Юг».
электроэнергетический комплекс, регуляторное соглашение, территориальная сетевая организация, компенсация экономически обоснованных затрат, тарифное регулирование
Введение
Электроэнергетика является базовой отраслью экономики России, призванной прежде всего обеспечивать электроэнергией внутренние потребности государства. Важной экономической составляющей электроэнергетики является потенциал экспорта энергии в мировое пространство. Стабильное развитие отрасли и ее устойчивое функционирование обеспечивает энергетическую безопасность страны, бесперебойную работу индустриального сектора, а также обусловливает благополучие государства в целом [1, 2]. Основным нормативным документом для энергетической сферы является Федеральный закон «Об электроэнергетике» от 26.03.2003 № 35.
В работе рассматривается вопрос применения инструмента регуляторного соглашения (РС) для электросетевого комплекса Астраханской области, особенностью которого является значительный физический износ основных фондов: на 83 % изношены линии электропередачи, на 77 % – оборудование электрических подстанций. В условиях современности, когда век развития цифровой экономики и промышленности накладывает повышенные требования к надежности и качеству электроснабжения, вопрос обеспечения финансово-экономической деятельности территориальной сетевой организации (ТСО) является актуальным и востребованным. Практика применения РС как регулирующих воздействий регионального органа исполнительной власти является новой для России, и в настоящее время в стране отсутствуют эффективная система регулирования и устоявшаяся практика использования данного инструмента. Опыт применения таких соглашений в Астраханской области может послужить базой для внедрения аналогичных инструментов в других отраслях экономики.
Электроэнергетический кластер Астраханской области
Астраханская область является субъектом Российской Федерации в составе Южного федерального округа с населением порядка 1 млн человек. Расположена на юго-востоке европейской части России в дельте реки Волги. Регион граничит на севере с Волгоградской областью, на западе с Калмыкией, на востоке с Казахстаном, на юге омывается Каспийским морем.
Особенностью энергетики Астраханской области является значительная доля возобновляемых источников энергии, а именно солнечных и ветровых электростанций. По показателю «доля вырабатываемой альтернативными источниками электроэнергии» Астраханский регион входит в пятерку лидеров по России, занимая второе место после Республики Адыгея.
В зону обслуживания электроэнергетического кластера входит свыше 20 тыс. км линий электропередачи классом напряжения 0,4–110 кВ, 134 подстанции напряжением 35–110 кВ, свыше 4,5 тыс. трансформаторных пунктов 6–10/0,4 кВ. По состоянию на 01.01.2025 в регионе функционирует 4 ТСО, основная из которых – ПАО «Россети Юг», представленная филиалом «Астраханьэнерго». Данной компании принадлежит свыше 90 % электросетевых активов. Распоряжением губернатора Астраханской области ей присвоен статус системообразующей ТСО [3]. Три другие ТСО – ОАО «Оборонэнерго», ПАО «РЖД», ООО «Газпромэнерго» – можно отнести к разряду моноТСО, которые осуществляют обслуживание узкоограниченного сегмента потребителей и занимают долю рынка менее 10 % в совокупности.
Особенности тарифного регулирования
В настоящее время без применения механизмов регулирования сферы электроэнергетики обойтись невозможно. Процесс регулирования представляет определенную сложность и подробно регламентирован в части имеющейся обширной нормативно-правовой базы. При осуществлении тарифного регулирования в электроэнергетике органы исполнительной власти должны руководствоваться принципами государственного регулирования цен (тарифов) [4]. Для реализации принципов в электроэнергетике применяются методы регулирования цен, анализ характеристик которых приведен в таблице.
Методы государственного регулирования цен (тарифов) на продукцию и услуги в электроэнергетике
Methods of state regulation of prices (tariffs) for products and services in the electric power industry
|
Метод |
Характеристика |
Сущность метода |
|
Метод экономически обоснованных расходов (затрат) |
Основной метод регулирования в российской энергетике. До 2011 г. применялся для расчета всех регулируемых цен (тарифов). Метод применяется в отношении всех организаций, расходы которых впервые учитываются при утверждении |
Цены (тарифы) рассчитываются на основе размера необходимой валовой выручки (далее – НВВ) организации, осуществляющей регулируемую деятельность, полученной от реализации каждого вида продукции (услуг), и расчетного объема производства соответствующего вида продукции (услуг) за расчетный период регулирования |
|
Метод индексации тарифов |
Индексации подлежат ранее утвержденные регулируемые цены (тарифы) и (или) их предельные (min/max) уровни либо НВВ регулируемых организаций |
Тарифы, рассчитанные с применением данного метода, устанавливаются на срок: не менее 3 лет – при первом применении, не менее 5 лет – при повторном |
|
Метод сравнения аналогов |
Метод применяется для установления долгосрочных тарифов и предполагает сравнение компаний друг с другом. Компания с оптимальным соотношением параметров деятельности принимается в виде стандарта для других регулируемых субъектов |
Анализ осуществляется органом регулирования каждые 5 лет. Метод применяют для небольших организаций |
|
Метод доходности инвестированного капитала (RAB-регулирование) |
Метод направлен на привлечение инвестиций в строительство и модернизацию энергетических объектов и стимулирование эффективности расходов организаций энергетического комплекса |
Регулируемые тарифы устанавливаются на основе НВВ, которая определяется с учетом ежегодных в течение долгосрочного периода регулирования корректировок |
|
Метод долгосрочной индексации НВВ |
Метод применяется при осуществлении государственного регулирования тарифов на услуги по передачи электрической энергии в форме установления долгосрочных тарифов |
При установлении тарифов на первый год долгосрочного периода регулирования величина подконтрольных расходов определяется с помощью метода сравнения аналогов, а в последующие годы долгосрочного периода регулирования индексируется исходя из индекса потребительских цен и изменения количества активов сетевой организации |
На филиал ПАО «Россети Юг» – «Астраханьэнерго» как на системообразующую сетевую компанию региона возложены функции обеспечения надежного и качественного электроснабжения потребителей, которыми являются физические и юридические лица и социально значимые объекты, а также технологическое присоединение к электросетевому комплексу новых потребителей электроэнергии.
На протяжении ряда лет филиал ПАО «Россети Юг» – «Астраханьэнерго» осуществляет свою деятельность в условиях критического недостатка денежных средств (убыток по передаче электроэнергии за период 2009–2024 гг. составил 10,5 млрд руб.), в том числе вызванного следующими проблемами тарифного регулирования:
– наличие существенного уровня «регуляторного долга» в размере 5,5 млрд руб. (с учетом решений судов по оспариванию тарифных решений 2021–2022 гг.), что в 1,2 раза превышает НВВ компании;
– дефицит методов тарифного регулирования в части учета расходов на обслуживание заемных средств;
– ежегодное недополучение выручки от оказания услуг по передаче электрической энергии и опережающие темпы роста расходов на оплату услуг по передаче электрической энергии по сетям единой национальной (общероссийской) электрической сети.
Каждый проблемный вопрос, безусловно, имеет предпосылки и свою историю возникновения. По состоянию на 01.01.2025 в вопросе тарифного регулирования системообразующей территориальной сетевой компании филиала ПАО «Россети Юг» – «Астраханьэнерго» в Астраханской области сложилась следующая ситуация:
– проценты по обслуживанию заемных средств составляют порядка 60 % собственной НВВ предприятия (из-за роста ставки рефинансирования, а также из-за регуляторных решений, не покрывающих проценты по обслуживанию заемных средств);
– накопленные обязательства в части льготного технологического присоединения значительно превышают сроки, указанные в договорах;
– предприятие не имеет полноценной инвестиционной программы, направленной на повышение надежности и качества электроснабжения потребителей;
– отток из отрасли квалифицированных кадров.
По причине недостатка средств и недофинансирования в тарифе расходов по обслуживанию долгового портфеля проведение компанией вынужденной минимизации расходов по производственным, инвестиционным и иным программам приводит в итоге к старению основных производственных фондов, накоплению обязательств по технологическому присоединению льготных категорий потребителей, оттоку квалифицированного персонала и кадровому «голоду», а также к «штрафованию» в тарифных решениях последующих лет
и накоплению проблем.
Все вышеперечисленное происходит по причине недостаточного роста тарифа за услуги по передаче электрической энергии, несбалансированности тарифных решений, а также ввиду высокой ежегодной платы банкам-кредиторам, за счет сформированного кредитного портфеля. И к 2025 г. сложилась ситуация, когда объем обоснованного долга, признанного регулирующим органом, перед сетевой организацией превышает возможности тарифа потребителей Астраханской области. Соответственно, экономически обоснованные затраты не могут быть покрыты через тарифные решения.
Инструмент компенсации затрат сетевой организации
В настоящее время в Астраханской области сложилась непростая ситуация с регулированием сферы энергетики – энергопотребление в регионе фактически не увеличивается, поэтому компенсировать экономически обоснованные затраты сетевой организации через тарифные решения практически невозможно. Существует вероятность, что Правительству Астраханской области придется решать вопрос компенсации затрат сетевой организации через региональный бюджет.
Вариантом возврата сетевой организации экономически обоснованных расходов может стать РС, которое определит порядок возврата регуляторного долга по годам и объемам (в том числе на срок более 5 лет).
Долгосрочные соглашения заключаются при эталонном методе расчета затрат и регулирования тарифов в сфере электроэнергетики. Метод эталонов предполагает, что исключается «тарифная дискриминация» за счет использования экономически обоснованных параметров, применяемых для всех регулируемых предприятий сферы электроэнергетики [5].
Вопросы правового регулирования инфраструктуры предоставления коммунальных услуг с использованием РС рассмотрены в работах [6–9]. Обобщая результаты исследований, можно утверждать, что РС представляют собой специализированный механизм персонального регулирования, используемый исключительно для преодоления наиболее серьезных проблем и реализации масштабных инфраструктурных проектов, особенно тех, что требуют значительных финансовых вложений. Именно поэтому данная тема играет важную роль в современной экономике России.
Соглашение об условиях осуществления регулируемых видов деятельности, иными словами – РС, – термин для нашей страны относительно новый. Несмотря на то что механизм реструктуризации регуляторного долга ожидался достаточно давно, соответствующая нормативная база появилась только в августе 2023 г. Многолетние наработки сетевых организаций и министерств экономического развития субъектов РФ были утверждены соответствующим постановлением Правительства [10].
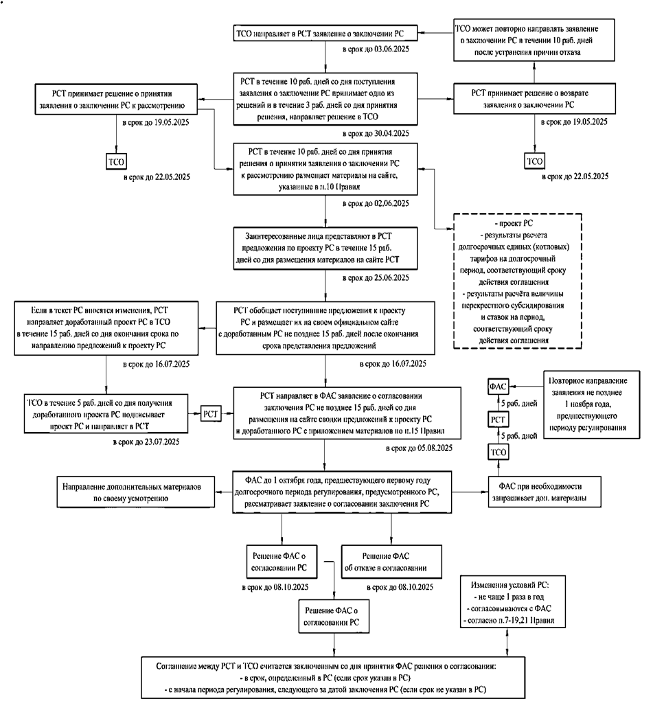
Для того чтобы строго выдержать определенные постановлением сроки, сетевая организация ПАО «Россети Юг» сформировала блок-схему, отражающую основные этапы работы над проектом РС (рисунок).
В дополнении к порядку заключения и изменения РС предусмотрен механизм расторжения РС, при котором инициатор расторжения РС в соответствии с пунктами 33–36 Правил [10] направляет другой стороне РС уведомление о намерении расторгнуть РС. Другая сторона в течение 30 рабочих дней направляет инициатору ответ на уведомление. После этого инициатор направляет в ФАС заключение о согласовании расторжения РС с приложением материалов, указанных в пункте 38 Правил. Далее ФАС рассматривает заявление о согласовании расторжения РС в течение 30 рабочих дней со дня его поступления и принимает одно из двух решений – согласование о расторжении РС (в этом случае РС считается расторгнутым со дня принятия решения, предусмотренного пунктом 40 или 41 Правил) или отказ в согласовании расторжения РС (в случае несоблюдения требований пунктов 37–38 Правил).
Следует отметить, что нормативная база в части соглашений о регулируемом виде деятельности обновилась относительно недавно, и в 2024 г. всего 3 субъекта РФ заключили с сетевыми организациями РС (Чеченская Республика, Омская, Новгородская области). Таким образом, в нашей стране еще ни разу не был востребован механизм расторжения. Применительно к Астраханской области, ввиду многолетних долгов службы по тарифам перед сетевой организацией, вопрос заключения РС имеет особое значение, и на данном этапе намерений о заключении с последующим расторжением речи не идет.
Порядок заключения и изменения РС между исполнительным органом субъекта РФ
в области государственного регулирования тарифов (РСТ) и ТСО при принятии Федеральной
антимонопольной службой (ФАС) решений
The procedure for concluding and amending a regulatory agreement between the executive body of a subject
of the Russian Federation in the field of state regulation of tariffs and the territorial grid organization
when making decisions by the Federal Antimonopoly Service (FAS)
Заключение
Приведенные в работе результаты аналитического исследования применимости инструмента РС для компенсации затрат ТСО в целях улучшения показателей финансово-экономической деятельности потенциально являются основой для функционирования электросетевого комплекса в региональном аспекте. Приведенная последовательность разработки проекта РС, его изменения и порядка расторжения может быть не только применена для сферы электроэнергетики Астраханской области, но и распространена на другие регионы, в которых для поддержания процессов требуются значительные финансовые вложения.
1. Кислицын В. Д. Стратегическое развитие электроэнергетики России // Актуал. вопр. соврем. экономики. 2022. № 9. С. 50–57.
2. Устинова Л. Н., Сиразетдинов Р. М., Сиразетдинова Э. Р., Устинов Д. А. Энергетический сектор России: экономический аспект // Экономика, предпринимательство и право. 2023. Т. 13. № 2. С. 401–412. DOIhttps://doi.org/10.18334/epp.13.2.117105.
3. Об определении системообразующей территориальной сетевой организации на территории Астраханской области: Распоряжение губернатора Астраханской области от 05.09.2024 № 719-р. URL: https://pravo-astrobl.ru/documents/document-0002202409050015/?ysclid=miygvn0xwo253582208 (дата обращения: 08.09.2025).
4. Об электроэнергетике: Федеральный закон РФ от 26.03.2003 № 35-ФЗ. URL: https://www.consultant.ru/document/consdocLAW41502/ (дата обращения: 10.09.2025).
5. Попов Д. С., Шувалов И. Г., Бологова В. В. Модель гибкого нормирования тарифного коэффициента для территориальных сетевых организаций при внедрении метода эталонных операционных затрат // Экономика труда. 2024. Т. 11. № 12. С. 2281–2298. DOIhttps://doi.org/10.18334/et.11.12.122128.
6. Васильев Д. А. Государственное тарифное и антимонопольное регулирование электроэнергетического комплекса: институциональный аспект // Гос. упр. Электрон. вестн. 2023. № 97. С. 85–97. DOIhttps://doi.org/10.24412/2070-1381-2023-97-85-97.
7. Редькин И. В., Зайцев М. В. Правовое регулирование инфраструктуры предоставления коммунальных услуг с использованием регуляторных соглашений (контрактов) в российской и зарубежной практике // Рос. конкурент. право и экономика. 2024. № 2 (38). С. 60–69. DOIhttps://doi.org/10.47361/2542-0259-2024-2-38-60-69.
8. Джазовская И. Н., Есякова С. С. Актуальные вопросы развития электросетевого комплекса // Перспективы развития предприятий в условиях инновационной направленности экономики: материалы IV Междунар. науч.‐практ. конф. (Пенза, 23 мая 2018 г.). Пенза: Изд-во ПГУ, 2018. С. 41–46.
9. Системное тарифное регулирование в энергетической отрасли: теория, методология, практика. М.: Изд-во КГЭУ, 2022. 536 с.
10. О соглашениях об условиях осуществления регулируемых видов деятельности: Постановление Правительства РФ от 31.08.2023 № 1416. URL: https://www.garаnt.ru/products/ipo/prime/doc/407496560/?ysclid=miyhem0x2w721084153 (дата обращения: 11.09.2025).



