Россия
Россия
Рассматривается задача определения уровня риска аварийных ситуаций на основе объединения методов машинного обучения и нечетких данных. Современные системы определения уровня риска и анализа ава-рийных ситуаций требуют комплексного подхода, который будет объединять технологии искусственного интеллекта и экспертные знания. Предлагаемый метод включает несколько взаимосвязанных блоков, действий, которые обеспечивают высокую точность оценки рисков. Произведено разделение на постоянные и переменные факторы, существенно влияющие на уровень риска аварии. Блок предварительной обработки нечетких данных необходим для формирования нескольких наборов данных (мнение большинства и мнение меньшинства экспертов), с помощью которых возможно более полно учитывать мнение всех экспертов. Это позволяет избежать игнорирования маловероятных, но критичных рисков. Блок расчета средневзвешенного мнения экспертов необходим для расчета средневзвешенного уровня риска по постоянным и переменным факторам. Итоговый риск рассчитывается как взвешенная сумма оценок обеих групп. Коэффициенты весов (например, 0,4 для большинства, 0,2 для меньшинства) адаптируются под контекст ситуации, происходящей на объекте. Объектом будем считать ферму с установкой замкнутого водоснабжения (УЗВ). Например, в условиях неопределенности вес мнения меньшинства увеличивается или вес большинства уменьшается. Преимущества метода: интеграция нейронных сетей и экспертных оценок – обеспечивают адаптивность к разным сценариям и возможность учитывать при определении уровня риска величины, которые могут быть выражены только качественно. Учет мнений всех экспертов (альтернативных мнений) помогает повысить точность оценки ситуации и снижает риск возникновения «слепых зон». Каскадная обработка данных ускоряет принятие решений в реальном времени и помогает избежать серьезных последствий аварий. Данный метод можно использовать не только на фермах с УЗВ, но и в других сферах промышленности, транспорта и энергетики, где необходимо применять сочетание экспертных систем с системами ИИ и это критически важно для предотвращения аварий.
машинное обучение, нейронные сети, уровень риска, нечеткие данные
Введение
В настоящее время в условиях усиления экономической конкуренции и возрастающего дефицита природных ресурсов все более острыми становятся проблемы разработки новых прогрессивных методов и алгоритмов управления предприятием, что невозможно реализовать без качественного мониторинга эколого-экономических процессов производственного предприятия и последующего их анализа, позволяющего повысить эффективность принятия управленческих решений [1]. Водная акватория занимает около 71 % площади земной поверхности [2]. Вода находится в состоянии непрерывной циркуляции на Земле, сопровождающейся изменением ее агрегатного состояния. Основные химические компоненты природной воды отражают исходные физико-химические свойства природных сред в процессе циркуляции и являются основой для оценки качества (или степени загрязнения) воды и, соответственно, окружающей среды. Водная среда в основном является совокупностью поверхностных и подземных вод [3]. Ухудшение состояния объектов гидросферы является негативной тенденцией во всем мире, поэтому для рыбоводческих предприятий все более актуальными становятся системы мониторинга и контроля водной среды, предупреждающие об ухудшении качества воды и позволяющие принимать меры по предупреждению аварий, загрязнению окружающей среды, а также предотвращению распространения вреда от аварии [4].
Использование на предприятиях аквакультуры установок замкнутого водоснабжения (УЗВ) позволяет создавать контролируемую среду, что снижает влияние внешних факторов, однако не устраняет полностью угрозы, связанные с заболеваниями, ошибками персонала, сбоями в работе оборудования и другими рисками. Управление рисками аварийных ситуаций на рыбоводческих предприятиях, использующих УЗВ, является критически важным аспектом обеспечения стабильности и эффективности производства. Особое внимание следует уделять рискам, связанным с отставанием набора массы молоди, заболеваниями и гибелью рыб, и факторам, влияющим на уровень последствий, поскольку эти факторы непосредственно влияют на объемы производства и экономическую эффективность рыбоводческих хозяйств. Традиционные системы управления не позволяют оценивать такие факторы и включать их в контуры принятия решений, т. к. отсутствуют эффективные методы получения исходной информации и ее обработки. При решении проблемы рисков, возникающих на водных объектах, можно рассчитывать на компьютерные технологии, с помощью которых можно производить моделирование системы и анализ рисков, а также осуществлять дистанционное управление фермой с УЗВ и системами автоматики [5, 6]. Для оценки рисков на рыбоводческих предприятиях с учетом трудно формализуемой традиционными методами информации предлагается использовать метод, объединяющий набор нечетких данных, которые существенно влияют на уровень риска и введены на основе опроса экспертов, блок предварительной обработки нечетких данных, блок расчета средневзвешенного значения уровня риска, а также каскадную нейронную сеть. Нейронная сеть будет обучена последовательно, слой за слоем, на тренировочном наборе входных и выходных векторов данных, которые по характеру воздействия будут поделены на постоянные и переменные, а также на группы в зависимости от их направленности (биологический, технологический и т. д.). Блок предварительной обработки данных будет отбирать наборы данных, соответствующих мнению большинства экспертов и мнению меньшинства экспертов. Выдача оперативных рекомендаций производится вторым слоем каскада, который принимает на вход уровень риска и комбинацию соответствующих риску факторов и по ним подбирает набор оперативных мероприятий. На рис. 1 схематично изображен метод определения уровня риска и все его составляющие.

Рис. 1. Метод определения уровня риска и его составляющие
Fig. 1. The method оf determining the level of risk and its components
Научная новизна работы заключается разработке метода оценки уровня риска аварийной ситуации на установке УЗВ и выдачи оперативных мероприятий, позволяющий определить уровень риска аварийной ситуации и выдать набор оперативных мероприятий для оперативного снижения риска, отличающийся учетом экспертных знаний о возникновении и развитии аварийных ситуаций и совместной обработкой количественной и качественной информации о факторах риска, а также интеграцией каскадной нейронной сети с блоком предварительной обработки нечетких данных.
Подбор архитектуры и свойств каскадной искусственной нейронной сети В ходе подбора архитектуры и свойств каскадной искусственной нейронной сети были определены:
– оценка оптимального числа нейронов
![]()
где VV – количество нейронов в скрытом слое; I – количество входов; J – количество выходов; NN – количество обучающих примеров; – малое VV – опасность того, что сеть не обучится;
– большое VV – опасность того, что сеть переучится.
При выборе VV лучше ошибиться в большую сторону. При этом увеличение числа нейронов по сравнению с оптимальным оказывает незначительное влияние на свойства сети.
Задача каскадной нейронной сети – определить зависимость уровня риска F2 от постоянных и переменных факторов в процессе обучения, а затем (в процессе работы) по векторам входных данных определять текущий уровень риска.
В общем виде текущий уровень риска представим в виде формулы с неизвестной зависимостью F2 :
![]()
где PRM = (AP, PA, PO) – совокупность переменных факторов системы i-го состояния объекта QSi ; CNS = (BL, SB, TX, TE) – совокупность постоянных факторов системы i-го состояния объекта QSi , RAPi – риск аварии при i-м состоянии объекта по постоянным факторам; RASi – риск аварии при i-м состоянии объекта по переменным факторам.
Произведем оценку уровня риска RAi и определим i-й набор оперативных мероприятий OIi при i-м состоянии объекта QSi с помощью каскадной нейронной сети:
– QSi = f(BL, SB, TX, TE, AP, PO) – i-е состояние системы;
– вектор оперативных мероприятий;
– OIn – одно из оперативных мероприятий, направленное на снижение уровня риска аварийной ситуации;
– RAi – i-й уровень риска;
– RA = {RA1 ,…, RAn } – множество уровней риска аварии, которые соответствуют определенным состояниям системы УЗВ.
Множество всех состояний объекта описывается вектором SQS :
![]()
Описание нечетких множеств модели Универсальное множество всех факторов системы G образуется из всех множеств факторов, влияющих на состояние системы УЗВ:
G = BL + SB + TX + TE + AP + PA + PO,
где BL = {BL1, …, BLn} – вектор факторов биологического состояния; SB ̅ = {SB1, …, SBn} – вектор субъективных факторов состояния; TX = {TX1, …, TXn} – вектор технических факторов состояния; TE = {TE1, …, TEn} – вектор технологических факторов состояния; AP = {AP1, …, APn} – вектор аппаратурных факторов состояния; PA = {PA1, …, PAn} – вектор параметрических факторов состояния; PO = {PO1, …, POn} – вектор проектных факторов состояния.
Каждый вектор факторов содержит в себе набор факторов состояния определенной направленности (биологический, технологический и т. д.). Произведенный системный анализ фермы УЗВ как объекта управления позволил выявить основные факторы, существенно влияющие на уровень риска возникновения аварийных ситуаций. Рассмотрены существующие решения по управлению технологическим производством, определены их преимущества и недостатки. Для удобства обозначения входные переменные объединены в подмножества по трем признакам, возмущающие воздействия – по двум (постоянным и переменным факторам). Система УЗВ как объект управления характеризуется множествами входных и выходных переменных и управляющих воздействий (рис. 2):
![]()

Рис. 2. Схема системы УЗВ как объекта управления
Fig. 2. The scheme of the UZV system as an object of management
Каждый отдельный фактор (например, TX7 и AP2 ) представляет собой множество чисел (диапазон изменения):

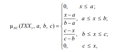
Для каждого отдельного фактора (например, TX7) определены наборы термов («хороший», «средний», «плохой») в соответствии с диапазонами изменения фактора и мнением эксперта. Например, фактор TX7" разделен на термы: «хороший» обозначим NC; «средний» – NR; «плохой» – NN:

где µi – функция принадлежности элемента ТXXi нечеткому множеству NC, NR, NN (0 ≤ µi ≤ 1) ; ТXXi – i-й элемент множества TX7 .
Каждый терм (например, «хороший») характеризуется своим нечетким множеством принадлежащих ему чисел из диапазона изменения фактора:

В данном случае множества пересекающиеся, из чего можно сделать вывод, что функции принадлежности будут пересекаться и одно значение конкретного фактора производства с определенной степенью уверенности будет относиться к нескольким термам. Например, µNC (TXX1 , a, b, c) = 0,6 и µNR (TXX1 , a, b, c) = 0,4, где a, b, c – числовые параметры, заданные экспертами (границы определенного терма), они упорядочены отношением a ≤ b ≤ c.
Чтобы учесть мнение всех экспертов, далее будет рассмотрен вариант обработки данных и выделения «Мнения большинства» и «Мнения меньшинства».
Эксперты оценивают уровень риска (как и в последующем будет делать каскадная ИНС) по определенной сумме (совокупности) факторов состояния системы УЗВ, которые мы назовем показателями состояния системы:

Для определения состояния системы УЗВ введем лингвистическую переменную «Уровень риска аварийной ситуации» YP. Терм-множество будет представлено десятью элементами: «очень низкий» yp1, «низкий» yp2, «чуть ниже среднего» yp3, «средний» yp4, «чуть выше среднего» yp5, «чуть ниже высокого» yp6, «высокий» yp7, «мегавысокий» yp8, «гигавысокий» yp9, «петавысокий» yp10. Принимаем диапазон множества YP [0, …, 100].
Каждый терм (например, yp2 – «низкий») характеризуется своим нечетким множеством принадлежащих ему чисел из диапазона изменения фактора:

Функции принадлежности Для описания функций принадлежности µi к определенным термам (нечетким множествам) будут использованы как стандартные функции принадлежности (треугольные и трапеции), так и функции принадлежности в виде полиномов разных степеней (степени и вид полиномов в зависимости от данных опроса экспертов будут определены разработанной программой ЭВМ под названием «Автоматизированная программа построения функций принадлежности нечетких множеств с использованием метода аппроксимации данных»). Например, треугольная функция принадлежности µNC к терму «хороший» (NC) описывается аналитически выражением

где a, b, c, – числовые параметры, заданные экспертами (границы определенного терма), они упорядочены отношением a ≤ b ≤ c; ТXX1 – конкретное значение 1-го фактора множества TX7 . Например, при значении фактора TXX1 = 3 степень принадлежности к терму «хороший» равна 0,6:
![]()
Формирование таблицы (вектора) степеней принадлежности к термам по всем факторам (по всему i-му состоянию объекта QSi )
В конкретной задаче будем иметь набор конкретных значений по всем факторам системы, т. е. QSi – системы УЗВ (значения каждого фактора, измеренные на конкретном предприятии и собранные по определенной методике). Для каждого фактора определены степени принадлежности к термам (табл. 1).
Таблица 1
Table 1
Оценка конкретного производства
(определяется степень принадлежности к термам по всем факторам)
Evaluation of a specific production
(the degree of belonging to the terms is determined by all factors)

При выборе из табл. 1 соответствующих значений степени принадлежности по каждому фактору TXXi образуются два множества: «мнение меньшинства» и «мнение большинства».
Лингвистические переменные «мнение большинства» как GM и «мнение меньшинства» как GS определяются как
– мнение большинства;
– мнение меньшинства.
Учитывая, что введенная ранее лингвистическая переменная «Уровень риска аварийной ситуации» YP будет определяться теперь для двух векторов данных GM и GS (по мнению большинства

и по мнению меньшинства), обозначим их RA1 и RA2, при этом диапазоны множеств и их наполнение будут идентичны YP:

Терм-множество RA1 будет представлено десятью элементами: «очень низкий» pa1, «низкий» pa2, «чуть ниже среднего» pa3, «средний» pa4, «чуть выше среднего» pa5, «чуть ниже высокого» pa6, «высокий» pa7, «ультравысокий» pa8, «мегавысокий» pa9, «высочайший» pa10. Каждый терм (например, pa2 – «низкий») характеризуется своим нечетким множеством принадлежащих ему чисел из диапазона изменения фактора:

![]()
Терм-множества RA2 будут представлены десятью элементами: «очень низкий» ap1, «низкий» ap2, «чуть ниже среднего» ap3, «средний» ap4, «чуть выше среднего» ap5, «чуть ниже высокого» ap6, «высокий ap7», «ультравысокий ap8», «мегавысокий» ap9, «высочайший» ap10.
Каждый терм (например, pa2 – «низкий») характеризуется своим нечетким множеством принадлежащих ему чисел из диапазона изменения фактора:

После этого данные вектора GM и GS поступают на вход первого слоя уже обученной каскадной нейронной сети, изображенной на рис. 3, которая рассчитывает уровень риска «по мнению большинства» и «по мнению меньшинства».

Рис. 3. Изображение первого слоя каскадной нейронной сети
Fig. 3. Image of the first layer of a cascading neural network
Определение средневзвешенного уровня риска
Далее из RA1 и RA2 формируется вектор риска OK = {RA1, RA2}, который поступает в блок расчета средневзвешенного уровня риска PP:
![]()
где Λ1 – коэффициент учета мнения большинства (Λ1 = 0,8); Λ2 – коэффициент учета мнения меньшинства (Λ2 = 0,2); RA1 – уровень риска «по мнению большинства»; RA2 – уровень риска «по мнению меньшинства».
Определение уровня риска по постоянным и переменным факторам Учитывая трудоемкость экспертной оценки уровня риска по всей совокупности факторов системы i-го состояния объекта QSi, введено разделение факторов на постоянные CNS и переменные PRM. В этом случае экспертная оценка риска производится отдельно по совокупности постоянных факторов CNS и совокупности переменных факторов PRM системы УЗВ, которые принадлежат одному состоянию объекта QSi. Поэтому получаем для каждой совокупности факторов свою оценку уровня риска.
Введем для каждого из них свое обозначение:
– RAP – риск аварии при i-м состоянии объекта по постоянным факторам;
– RAS – риск аварии при i-м состоянии объекта по переменным факторам.
При этом определяется множество состояний объекта по постоянным факторам SCNS и множество состояний объекта по переменным факторам SPRM и множество соответствующих им уровней риска аварий по постоянным факторам NRAP
и множество соответствующих уровней риска по переменным факторам NRAS:

На рис. 4 схематично изображен метод подбора оптимальных сочетаний факторов и все его составляющие.

Рис. 4. Метод подбора оптимальных сочетаний факторов: ИНС – искусственная нейронная сеть
Fig. 4. The method of selecting optimal combinations of factors: ИНС – artificial neural network
В соответствии с методом, схематично представленным на рис. 4, при обучении нейронной сети на ее вход последовательно подаются векторы (множества) состояний объекта, отдельно по постоянным и переменным факторам, а на выход нейронной сети последовательно подается множество соответствующих им уровней риска по постоянным и переменным факторам.
Таким образом, для определения средневзвешенного уровня риска мнение большинства RA1
и мнение меньшинства RA2 разбиваются на две составные части – по постоянным факторам и по переменным факторам:

Далее из RA1 и RA2 формируется вектор риска
, который поступает в блок расчета средневзвешенного уровня риска PPB:
PPB = (RAP + RAS) Λ1 + (RAP + RAS) Λ2 = RA1 • + RA2 Λ2.
Выдача оперативных рекомендаций производится с помощью второго слоя каскада на основе входного вектора WER, который объединяет в себе вектор PRM и соответствующий ему уровень риска RAS:
![]()
Выходной вектор (вектор ответов сети) REW, который состоит из набора оперативных рекомендаций для снижения уровня риска по переменным факторам:
.
После обучения данный слой каскадной ИНС готов выдать набор оперативных рекомендаций OI1, при поступлении на ее вход вектора WER:
.
Описание используемой нейросетевой модели
Используемая нейросетевая модель решает задачи нелинейной регрессии и классификации (аппроксимации) с помощью каскадной ИНС.
Нейронная сеть – это универсальный аппроксиматор, который выявляет зависимость входных
и выходных данных (т. е. подбирает полином во время обучения, иначе говоря, происходит подстройка весов между нейронами нейронной сети wjk, wij). Нелинейность аппроксиматора определяется введением нелинейных функций активаций, т. к. кроме них в нейронной сети существует еще только средневзвешенное значение входных величин (факторов). Степень полинома формируется за счет слоев сети и функций активации.
Разница между регрессией и классификацией в передаточных функциях выходного слоя
и функционале ошибки
В первом случае используется сигмоида и MSE (средняя квадратичная ошибка), а во втором нормализованная экспоненциальная функция softmax и бинарная кросс-энтропия (функция потерь, используемая в машинном обучении для задач классификации).
Нейронная сеть реализует нелинейную регрессию (аппроксимацию) или классификацию за счет уравнения

где Ai – вектор факторов (технические, технологические, субъективные, …); wjk, wij – веса.
Средневзвешенное суммирование на j-м нейроне Sj:

Передаточная функция j-го нейрона fj:
Значение на выходе j-го нейрона Qj :
![]()
Средневзвешенное суммирование на k-м нейроне Sk:

Передаточная функция k-го нейрона fk:
![]()
Значение на выходе k-го нейрона Сk:
![]()
Подстройка весов в общем виде
:

где
– частные производные по весам
.
Подстройка весов для выходного слоя

где
– частные производные по весам
.
Подстройка весов для скрытого слоя![]()

Первый слой каскада выполняет задачу регрессии, а второй слой выполняет задачу классификации, поэтому на выходах этих слоев будут использоваться разные функции активации и функционалы ошибки.
Первый слой каскада:
– на выходе – функция активации сигмоида;
– функционал ошибки: MSE или MAE (средняя абсолютная ошибка);
– целевая функция – функционал ошибки (MSE,
которую оптимизируем – приводим к минимуму) E1:

где Dk – ответ сети; Ck – оценка экспертов (желаемый ответ сети).
Второй слой каскада:
– на выходе: функция активации softmax;
– функционал ошибки: бинарная кросс-энтропия E2:

где Dij – ответ сети;
– оценка экспертов (желаемый ответ сети).
Оценка результатов
Проверка результативности модели произведена на обучающем и тестовом множестве.
Для теста был создан репрезентативный набор данных из 500 индивидов (охватывающий все возможные сценарии). С учетом всего изложенного выше алгоритм дает правильные и устойчивые результаты (среднее отклонение 8 %). Множество запусков алгоритма для оценки распределения результатов показало, что найденное локальное решение близко к глобальному оптимуму. Далее была проведена проверка на субоптимальное решение, исследование влияния параметров популяции на производительность алгоритма, которые показали, что генетический алгоритм не требует дальнейшей настройки.
Фрагмент результатов тестирования по основным метрикам качества приведен в табл. 2 и 3, проверка результативности на обучающем множестве приведена в табл. 2.
Таблица 2
Table 2
Результаты тестирования на обучающем множестве
Test results on the training set
|
Параметр |
Значение |
|
Примеров в обучающем множестве |
150 |
|
Среднеквадратичная ошибка на обучающем множестве |
0,08 |
|
Ошибки на обучающем множестве, % |
4,92 |
|
Средняя перекрестная энтропия на обучающем множестве |
0,76 |
Проверка результативности на тестовом множестве приведена в табл. 3.
Таблица 3
Table 3
Результаты тестирования на проверочном множестве
Test results on the verification set
|
Параметр |
Значение |
|
Примеров в обучающем множестве |
50 |
|
Среднеквадратичная ошибка на обучающем множестве |
0,10 |
|
Ошибки на обучающем множестве, % |
6,52 |
|
Средняя перекрестная энтропия на обучающем множестве |
0,86 |
Среднеквадратичная ошибка и средняя перекрестная энтропия на обучающем и тестовом наборе данных (см. табл. 2) указывают на соответствие прогнозов реальным значениям (средневзвешенной оценке экспертов).
Заключение
Предполагаемый благоприятный эффект от использования предложенных методов: повышение скорости реакции на возникновение аварийных ситуаций; учет важных факторов, влияющих на риск возникновения аварии, которые не учитываются в классических методах; предотвращение тяжелых последствий аварий; средневзвешенная экспертная оценка как реакция на отклонения показателей, как основа качественного принятия решений. Внедрение рассмотренных методов позволит повысить технико-экономические показатели функционирования предприятий, в том числе снизить трудоемкость и затраты времени на обслуживание оборудования, снизить материальные и финансовые ресурсы.
Предлагаемый метод определения уровня риска аварийной ситуации на основе интеграции каскадной искусственной нейронной сети и блока предварительной обработки нечетких данных позволит эффективнее и точнее определять уровень риска для рыбоводческих предприятий, использующих установки замкнутого водоснабжения.
Важно продолжать исследования в данной области, т. к. водная среда является частью окружающей среды – пространства, в котором вода образуется, распределяется и преобразуется в природе, – и относится к совокупности различных природных и связанных с ними социальных факторов, которые могут прямо или косвенно влиять на жизнь и развитие людей.
Предложенный в данной статье метод можно использовать не только на фермах УЗВ, но и в других сферах промышленности, транспорта и энергетики, где необходимо использовать сочетание экспертных систем с системами ИИ и это критически важно для предотвращения аварий.
1. Голушков Н. А., Кокуев А. Г. Повышение эффективности управления предприятием с использованием интегральной оценки воды // 66-я Междунар. науч. конф. Астрахан. гос. техн. ун-та (Астрахань, 25–29 апреля 2022 г.): материалы. Астрахань: Изд-во АГТУ, 2022. С. 320–322. Режим доступа: 1 CD-ROM. № государственной регистрации 0322203804.
2. Авалиани С. Л., Иродова Е. В., Печенникова Е. В., Шимонова Т. Е. Оценка реальной опасности химических веществ на основе анализа зависимости концентрация (доза) – статус организма // Гигиена и санитария. 1997. № 2. С. 58–60.
3. Айдинов Г. В. Современные гигиенические технологии в решении региональных проблем охраны здоровья населения: автореф. дис. … д-ра мед. наук. M.: 1999. С. 1–50.
4. Голушков Н. А., Кокуев А. Г. Интегрированная платформа мониторинга водной среды прудового хозяйства // Вестн. Астрахан. гос. техн. ун-та. Сер.: Управление, вычислительная техника и информатика. 2023. № 1. С. 57–63. DOI:https://doi.org/10.24143/2072-9502-2023-1-57-63.
5. Голушков Н. А., Кокуев А. Г. Метод построения системы раннего предупреждения об опасных отклонениях в показателях качества воды и закономерности ее функционирования // Современная наука: актуальные проблемы теории и практики. Сер.: Естественные и технические науки. 2023. № 4-2. С. 61–64. DOI:https://doi.org/10.37882/2223–2966.2023.04-2.06.
6. Голушков Н. А., Кокуев А. Г. Структура и функциональная блок-схема системы раннего предупреждения об опасных показателях качества воды // Современная наука: актуальные проблемы теории и практики. Сер.: Естественные и технические науки. 2023. № 7. С. 41–47. DOI:https://doi.org/10.37882/2223-2966.2023.07.09.



