Россия
Россия
Россия
В статье проводится анализ и сравнение инновационного метода кластерного ГРП с традиционным. Кластерный ГРП представляет собой экономически выгодную альтернативу обычному ГРП. Вместо со-здания сплошной проппантной пачки, он формирует отдельные кластеры проппанта в трещине, что приводит к образованию дополнительных проводящих каналов и повышению проницаемости. Основное преимущество заключается в существенном снижении затрат: требуется меньше проппанта, жидкости и времени на проведение операции. Технология основана на импульсной закачке жидкости, чередующей чистую жидкость и жидкость с проппантом, что позволяет формировать оптимальную структуру кластеров. В отличие от равномерного распределения проппанта в традиционном ГРП, кластерный ГРП создает «столбы» проппанта, поддерживающие трещину открытой. При проектировании кластерного ГРП необходимо учитывать расстояние между кластерами и плотность проппантных пачек. Для оценки эффективности технологии использовался коэффициент продуктивности, приведенный к эффективной толщине пласта. Коэффициент продуктивности каждой скважины рассчитывался на основе ежедневных данных о добыче с применением корреляции Вогеля (для условий ниже давления насыщения). Результаты демонстрируют, что кластерный ГРП обеспечивает стабильную добычу в течение двух лет, сопоставимую с соседними скважинами. Этот факт в свою очередь подтверждает наличие каналов, поскольку равномерное распределение проппанта обычно приводит к значительным потерям добычи.
продуктивность скважины, кластерный ГРП, осложнение, низкопроницаемый коллектор, проппант
Введение
В условиях современных реалий, когда с каждым годом природных запасов полезных ископаемых становится все меньше, часто приходится сталкиваться с трудными горно-геологическими условиями, из которых извлечение флюида при использовании традиционных способов нерентабельно. Одним из основных способов увеличения нефтеотдачи является традиционный гидравлический разрыв пласта (ГРП) – задавливание жидкости разрыва в пласт для создания новых проницаемых трещин в последствии заполняемых проппантом. Этот метод имеет ряд недостатков, из которых основными являются высокая стоимость и сложность выполнения операции, следствием чего появился усовершенствованный метод – кластерный ГРП. Принципиальное отличие кластерного ГРП от традиционного заключается в нагнетании проппанта в трещину, которое приводит к созданию групп (кластеров) и в свою очередь способствует появлению дополнительных каналов между ними и, как следствие, повышению проницаемости трещины в целом (рис. 1).

Рис. 1. Схематическое представление каналов
Fig. 1. Schematic representation of channels
Преимуществом метода является значительное удешевление операции за счет понижения количества задавливаемого проппанта (в среднем на 43 % меньше по сравнению с традиционным ГРП), количества жидкости до 20 % и, в результате, сокращение времени, затраченного на операцию, на 25 %.
Технология кластерного ГРП
Для того, чтобы добиться нужного результата, используется целый комплекс технологий, связанных с закачкой жидкости в пласт. В отличие от традиционного ГРП жидкость разрыва подается в пласт импульсно (рис. 2 [1]).

Рис. 2. График закачки при кластерном ГРП
Fig. 2. Injection schedule for cluster hydraulic fracturing
Суть импульсов заключается в чередовании чистой жидкости (каналы в проппантной пачке) и жидкости с проппантом – проппантных прослоек, поддерживающих каналы в открытом состоянии. Однако, как видно из рис. 2, первый и последний этап обработки при гидроразрыве требует непрерывной подачи проппанта в трещину. Смысл такого решения заключается в необходимости создания надежной и равномерной связи трещины и ствола в зоне перфорации. Также важно отметить, что следует предусмотреть последнюю фазу определенной длительности – достаточно короткой, чтобы не нарушить фильтрационные свойства разрушения, и в то же время достаточной для поддержания трещины раскрытой [1].
Схема распределения проппанта в трещине также отличается от традиционного ГРП – в первом случае размещение происходит, как правило, по всей зоне воздействия, в свою очередь в кластерном формируются «столбы», поддерживающие разрушение открытым и создающие проводящие каналы (рис. 3).

Рис. 3. Схема размещения проппанта: а – кластерный ГРП; б – традиционный ГРП
Fig. 3. Proppant placement scheme: a – cluster hydraulic fracturing; б – traditional hydraulic fracturing
Вследствие такого размещения проппанта нужно учитывать расстояние между группами, а также плотность пачек. Очевидно, что при более плотном распределении материала будет повышаться устойчивость трещины и в то же время уменьшаться проводимость каналов за счет уменьшения расстояния между пачками. Такой же принцип работает и в обратную сторону.
Помимо импульсного нагнетания жидкости в трещину стабильность проппантных кластеров, и соответственно, каналов, поддерживается за счет определенных добавок: волоконного материала и различных соединений, заполняющих пустоты в пачке (синтетические полимеры, органические материалы). Первые образуют сетку, связывающую проппантную пачку (рис. 4 [2]), которые в свою очередь увеличивают площадь контактов «проппант – проппант» и «проппант – порода», что способствует укреплению кластера.

Рис. 4. Визуализация стабилизирующих добавок
Fig. 4. Visualization of stabilizing additives
Практический опыт применения кластерного ГРП на Южно-Приобском месторождении
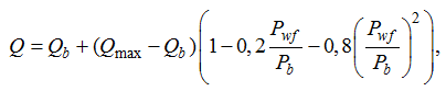
Анализа эффективности применения основан на вычислении коэффициента продуктивности, приведенного к эффективной толщине пласта. Для этого для каждой скважины коэффициент продуктивности был рассчитан из данных по ежедневному дебиту с использованием Вогельской корреляции при давлении, ниже давления насыщения. Полная добыча может быть выражена следующим уравнением:
(1)
где Pwf – забойное динамическое давление, атм; Pb – давление насыщения, атм; Qb – дебит скважины при давлении Pwf = Pb, м3/сут; Qmax – теоретический максимальный дебит при Pwf, м3/сут:
где Pr – среднее давление в пласте.
Рассчитав формулы (2) и (3), можно выразить уравнение через коэффициент продуктивности:

Коэффициент продуктивности Jd – полезный инструмент для сравнения нефтяных скважин, добывающих из пластов с разной проницаемостью и чистой продуктивностью при разных значениях депрессии, что имеет место для большинства скважин в изучаемых районах из-за неоднородности пластов и искусственного подъема как механизма обеспечения добычи [3].
На рис. 5 представлено сравнение эффективности кластерного и традиционного ГРП [4].

Рис. 5. График безразмерной продуктивности между кластерным и традиционным ГРП
Fig. 5. Graph of dimensionless productivity between cluster and traditional hydraulic fracturing
Из рис. 5 можно сделать вывод, что кластерный ГРП приводит к стабильной работе скважин в течение двух лет. Тенденция добычи очень похожа на динамику ближайших соседних скважин. Этот результат добычи подтвердил наличие каналов, поскольку ожидалось, что равномерное распределение проппанта приведет к значительным, если не общим, потерям добычи. В соседних скважинах применяли проппант 12/18 по обычной технологии, масса которого почти в 2 раза больше по сравнению с кластерным ГРП. К 2013 г. первые скважины, работающие уже 5 лет, продолжали стабильно добывать нефть благодаря устойчивому каналу и поддержанию давления в пласте.
Заключение
В результате анализа результатов применения кластерного ГРП можно сделать вывод, что кластерный ГРП представляется перспективной альтернативой традиционному ГРП. Он демонстрирует улучшенные показатели и обеспечивает более эффективное завершение скважин.
1. Baryshnikov A., Sidorenko V., Tychinski A. et al. Implementation of Real Time Monitoring System for Priobskoye Field // Paper SPE 136375 Presented at the 2010 SPE Russian Oil & Gas Technical Conference and Exhibition Held, Moscow, 26–28 October 2010. Moscow, 2010. P. 940–951.
2. Kayumov R., Klyubin A., Enkababian P. et al. First Channel Fracturing Applied in Mature Wells Increases Production from Talinskoe Oilfield in Western Siberia (Russian) // Paper SPE-159347 Presented SPE Russian Oil and Gas Exploration and Production Technical Conference and Exhibition, Moscow, 16–18 October 2012. Moscow, 2012. P. 213–235.
3. Doctor S., Tolmachev A., Chebykin N. et al. Use of Channel Fracturing Technology Increases Production and Reduces Risks in Horizontal Wellbore Completions – First Experience in Russia, South-Priobskoe Oil Field // Paper SPE 171221 Presented at the SPE Russian Oil and Gas Exploration & Production Technical Conference and Exhibition, Moscow, 14–16 October 2014. Moscow, 2014. P. 669–682.
4. Nikurova L., Surtaev V., Yamilov R. et al. Enhancing Well Productivity after Hydraulic Fracturing in the Priobskoe Oilfield // Paper SPE 102194 Presented at the 2006 SPE Russian Oil and Gas Technical Conference and Exhibition Held, Moscow, 3–6 October 2006. Moscow, 2014. P. 424–433.



