Россия
Приводится результат определения значимости требований Конвенции ПДНВ-78 в деле безопасной эксплуатации морских судов. Отмечено, что исследование имеет большое значение для формирования объема и тематики программ базовой и дополнительной подготовки членов экипажей морских судов, а также для разработки материалов, применяемых в морских квалификационных комиссиях при оценке компетентности моряков. Действующие в настоящее время программы соответствуют минимальным стандартам компетентности тематически, но не предполагают количественного соответствия фактическому «весу» конвенционной функции. Исследуется «взвешивание» силами высококвалифицированных специалистов в области безо-пасности мореплавания стандартов компетентности каждой из семи функций Конвенции применительно к морским авариям. Определение значимости функций производилось методом анализа иерархий, разработанным Т. Саати. Согласно результатам опроса пятнадцати экспертов, проведенного посредством бумажного анкетирования, составлены матрицы парных сравнений. Каждая функция Конвенции ПДНВ-78 сравнивалась с каждой из оставшихся на предмет значимости для безопасности мореплавания по трем категориям: равная значимость; более значима; значительно более значима. Результаты опроса, представленные в виде таблиц, преобразованы в матрицы. Степенным методом на основе итераций установлен индекс согласованности и определен «вес» каждого эксперта. Респонденты с высоким индексом согласованности исключены из числа репрезентативных. Анкеты оставшихся восьми экспертов послужили основой для оценивания влияния нештатного исполнения экипажем судна своих функций (дисфункций) на создание аварийного случая. Установлено, что наибольшее значение для безопасности мореплавания имеют дисфункции «судовождение» и «техническая эксплуатация и ремонт».
метод анализ иерархий, дисфункция эргатического элемента, матрица парных сравнений, индекс согласованности эксперта, ПДНВ-78, аварийный случай
Введение
Международная конвенция о подготовке и дипломировании моряков и несении вахты ПДНВ-78 (Конвенция) является основополагающим документом, определяющим для стран-участниц качество персонала морских судов, осуществляющих торговое мореплавание. Разработанный Международной морской организацией (ИМО) в 1978 г. документ содержит положения Конвенции и текст Кодекса, в котором приводятся таблицы с минимальными стандартами компетенций для использования участниками международного судоходства при разработке своих национальных требований в области безопасности мореплавания. Компетенции, необходимые для управления судном, структурированы по функциям, каждая из которых означает «…группу задач, обязанностей и ответственности, указанных в Кодексе ПДНВ, необходимых для эксплуатации судна, обеспечения охраны человеческой жизни на море или защиты морской среды» [1, с. 23]. Конвенция вступила в силу в 1984 г. Россия присоединилась к ней в 2000 г., что выразилось в корректировке ряда нормативных требований, в первую очередь в процедуре обмена каждым моряком своего «морского» диплома, под которым следует понимать «…действительный документ, как бы он ни назывался, выданный Администрацией или по ее уполномочию, либо признаваемый Администрацией и дающий право его владельцу на занятие должности, указанной в этом документе или разрешенной национальными правилами» [1, с. 13]. В новом документе указывались конкретные функции, которые владелец диплома компетентен выполнять на судне на уровне своей ответственности. При этом набор функций для каждой специальности различался. Так, в дипломе судового электромеханика до 2010 г. указывалась функция под номером 5, соответствующая функции «электрооборудование, электронная аппаратура и системы управления на уровне эксплуатации»; в дипломе судового радиооператора – «радиосвязь на уровне эксплуатации» и т. д. Каждая из семи функций Конвенции содержит описание минимальных стандартов, которым должна соответствовать компетенция владельца диплома. Предполагается, что при наличии у моряка компетенции равной или выше указанных стандартов функция конвенции будет реализована полностью.
Вопросы «весомости» возникают при разработке программ дополнительной подготовки моряков в учебно-тренажерных центрах и при составлении материалов для оценки компетентности плавсостава в морских квалификационных комиссиях. Логично предположить, что наиболее весомым функциям следует уделять больше часов подготовки. Тема «весов» функций Конвенции и влияние их на качество эксплуатации судна и его силовой установки в настоящее время остается дискуссионной [2]. Авторитетные в области судовой энергетики исследователи полагают, что эмпирический подход не эффективен в отношении множества изменяющихся параметров, какими являются минимальные стандарты компетентности [3–5].
Цели и задачи исследования
Целью настоящей работы является определение «веса» каждой отдельной функции Конвенции, для чего автором было проведено исследование мнений экспертов о влиянии указанных функций на качество эксплуатации судна, его технических средств и оборудования. В группу, состоящую их 15-и экспертов, вошли специалисты, представляющие самые разные виды морской деятельности: контроль и надзор за мореплаванием; техническое наблюдение; образование; организация спасательных работ; расследование аварий; оценка компетентности плавсостава; торговое мореплавание. Все эксперты имеют высшее морское образование, опыт работы как в командных должностях на морском судне, так и на берегу. Средний трудовой стаж экспертов составил не менее 36-и лет, плавательный – не менее 19-и лет. Два специалиста являются кандидатами технических наук и имеют научные звания доцентов, один является кандидатом юридических наук. По мнению автора, представленная группа респондентов в достаточной мере обладает компетенциями всех функций Конвенции и может выступать в роли экспертов при определении их «весов».
Материалы и методы исследования
Определение «весов» функций производилось методом анализа иерархий [6]. Указанный метод является широко используемым на практике инструментом, позволяющим обосновать формирование критерия эффективности, в нашем случае – «вес» функции. При этом эксперт не ищет единственно верный критерий, а лишь сравнивает все альтернативные варианты и затем выбирает наилучший сообразно своим профессиональным знаниям и внутреннему убеждению. Указанный подход позволяет количественно оценивать однородные альтернативные варианты [7]. Производя анализ, эксперт рассматривает требования Конвенции как совокупность взаимосвязанных подсистем (функций) и выстраивает их, руководствуясь личным опытом. Декомпозиция проблемы на составляющие строго субъективна: так, капитан, старший механик и электромеханик одного и того же судна, имеющие одинаковый стаж работы на указанном судне, по-разному оценивают значение «своих» стандартов компетентности для безопасности мореплавания. Однако производя оценку в рамках выполнения общей задачи (рейсового задания), они приходят к объективно близким оценкам [6].
Опрос экспертов производился с помощью анкет, изготовленных в виде таблицы размером 7 × 7 ячеек, преобразованной в матрицу парных сравнений А порядка N = 7 (по числу функций Конвенции). В ячейки таблицы эксперт проставлял свои суждения о влиянии дисфункций эргатического элемента на морское происшествие. Под дисфункцией эргатического элемента понимается неисполнение судовым персоналом предписанной ему функции или некорректной ее реализации в такой сложной эргатехнической системе, которой является современное морское судно. Термин «дисфункция» синонимичен английским понятиям dysfunction, malfunction [8]. Предполагается, что экипаж укомплектован в соответствии с действующими нормативными требованиями к безопасности мореплавания.
Попарно ассоциируемые дисфункции отмечались по пятибалльной шкале. При одинаковом влиянии выставлялась 1, сильном – 3, очень сильном – 5, и наоборот, менее сильном – 1/3, гораздо менее сильном – 1/5. Логический анализ дисфункций эксперт осуществляет на основе своего практического опыта.
Определение «веса» функций ПДНВ-78
Обезличенная анкета суждений каждого эксперта представляется в виде бланка с вопросом и таблицей для заполнения (табл. 1).
Таблица 1
Table 1
Фрагмент анкеты суждений эксперта
Fragment of the expert opinion questionnaire
|
Дисфункции |
Судовождение |
Обработка |
Управление |
Судовые |
Электрооборудование, электронная |
Техническое |
Радиосвязь |
|
Коды |
df1 |
df2 |
df3 |
df4 |
df5 |
df6 |
df7 |
|
df1 |
1 |
3 |
3 |
3 |
3 |
1 |
3 |
|
df2 |
1/3 |
1 |
1 |
1 |
1/3 |
1/3 |
3 |
|
df3 |
1/3 |
1 |
1 |
1 |
1/5 |
1/3 |
1 |
|
df4 |
1/3 |
1 |
1 |
1 |
1 |
1 |
1 |
|
df5 |
1/3 |
3 |
5 |
1 |
1 |
1 |
1 |
|
df6 |
1 |
3 |
3 |
1 |
1 |
1 |
3 |
|
df7 |
1/3 |
1/3 |
1 |
1 |
1 |
1/3 |
1 |
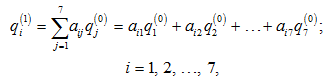
На первом этапе производится качество экспертизы, а именно расчет индекса согласованности (ИС) суждений эксперта. Известно, что согласованность положительной обратно симметричной матрицы эквивалентна требованию равенства ее максимального собственного значения λmax с n, т. е. λmax = n. Отклонение от согласованности выражается ИС:
где λmax – наибольшее (по модулю) собственное число матрицы парных сравнений А.
По смыслу значения λmax должно выполняться равенство:
где
– собственный вектор, представляющий после нормализации вектор «весов» дисфункций по суждению эксперта.
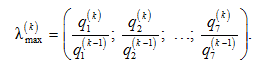
Степенной метод на основе итераций достаточно надежно определяет λmax. Обозначим собственные векторы-столбцы на k-й итерации:
где
– компоненты вектора qk; k – номер итерации.
Показатель степени Т означает, что вектор-строка транспонируется в вектор-столбец. На начальной итерации выбирается вектор-столбец q0 = (1, 0, 0, 0, 0, 0, 0)T, затем итерационный процесс повторяется для k = 1, 2, … до достижения заданной точности вычисления λmax:
На каждом k > 1 шаге рассчитывается наибольший по модулю компонент вектора
:
Таким образом,
является k-м приближением величины λmax:
Итерационный процесс вычисления λmax прекращается при достижении заданной точности ɛ = 0,001:
Обработка результатов анкеты (см. табл. 1) производилась следующим образом – по суждениям эксперта построена матрица А:
После умножения ее на вектор q0 = (1, 0, 0, 0, 0, 0, 0)T справа получим:
Каждый компонент вектора q1 определяется скалярным произведением соответствующей вектор-строки матрицы А на вектор q0 или как сумма покомпонентных произведений первой вектор-строки матрицы А и вектора q0. В общем виде формула имеет вид:
где aij – это элементы матрицы А (i – номер строки; j – номер столбца).
Продолжая итерационный процесс:
определяем приближение к наибольшему собственному числу
для 2-й итерации:
Полученные результаты итераций до k = 10 представлены в табл. 2.
Таблица 2
Table 2
Максимальные значения λmax по итерациям
Maximum values λmax by iteration
|
Итерации |
q2 / q1 |
q3 / q2 |
q4 / q3 |
q5 / q4 |
q6 / q5 |
q7 / q6 |
q8 / q7 |
q9 / q8 |
q10 / q9 |
|
Компоненты вектора |
7 |
8,2 |
7,6 |
7,58 |
7,60 |
7,60 |
7,5949 |
7,5950 |
7,5951 |
|
8 |
7,2 |
7,7 |
7,61 |
7,59 |
7,60 |
7,5957 |
7,5950 |
7,5950 |
|
|
6 |
7,3 |
7,6 |
7,61 |
7,59 |
7,59 |
7,5953 |
7,5951 |
7,5950 |
|
|
9 |
7,7 |
7,5 |
7,58 |
7,60 |
7,60 |
7,5948 |
7,5950 |
7,5951 |
|
|
15 |
7,4 |
7,4 |
7,62 |
7,60 |
7,59 |
7,5947 |
7,5952 |
7,5951 |
|
|
6 |
7,3 |
7,6 |
7,61 |
7,59 |
7,59 |
7,5952 |
7,5951 |
7,5950 |
|
|
6 |
8,2 |
7,6 |
7,56 |
7,60 |
7,60 |
7,5949 |
7,5949 |
7,5951 |
|
|
λmax |
15 |
8,2 |
7,7 |
7,62 |
7,60 |
7,60 |
7,5957 |
7,5952 |
7,5951 |
|
ɛ |
– |
6,8 |
0,5 |
0,13 |
0,02 |
0,0053 |
0,0015 |
0,0005 |
0,0001 |
После десятой итерации процесс можно остановить, поскольку
Таким образом, приближение составляет λmax = 7,5951. Индекс согласованности суждений данного эксперта составляет:
Значение ИС менее 0,1000 свидетельствуют об адекватности суждений эксперта и возможности учета его мнения в общем анализе.
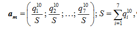
После оценки ИС эксперта нормированием вектора
определяется вектор «весов» дисфункций:
где S – сумма всех компонентов вектора
, m – порядковый номер эксперта.
Используя вектор
, полученный как скалярное произведение соответствующей вектор-строки матрицы А на вектор
, вычисляется вектор «весов»:
Нормируя этот вектор, находим вектор «весов» дисфункций по суждению нашего эксперта (в транс-понированном виде, т. е. в виде вектор-строки):
am = (0,274; 0,0970; 0,0724; 0,1078; 0,1715; 0,1979; 0,0820).
Сумма транспонированных «весов» дисфункций равна 1.
Результаты обработки матриц парных сравнений всех 15-и экспертов приведены в порядке возрастания ИС в итоговой табл. 3.
Таблица 3
Table 3
Итоговая таблица «весов» дисфункций по суждениям респондентов
The final table of the “weights” of dysfunctions according to the judgments of the respondents
|
Респонденты |
«Вес», % |
ИC |
«Весовые» коэффициенты дисфункций |
|||||||
|
df1 |
df2 |
df3 |
df4 |
df5 |
df6 |
df7 |
∑dfi |
|||
|
Эксперт 1 |
100,0 |
0,0000 |
0,1429 |
0,1429 |
0,1429 |
0,1429 |
0,1429 |
0,1429 |
0,1429 |
1,000 |
|
Эксперт 2 |
95,0 |
0,0501 |
0,2796 |
0,0961 |
0,1223 |
0,1004 |
0,1223 |
0,2394 |
0,0398 |
1,000 |
|
Эксперт 3 |
94,1 |
0,0590 |
0,2561 |
0,2410 |
0,1023 |
0,0977 |
0,1023 |
0,1588 |
0,0419 |
1,000 |
|
Эксперт 4 |
93,6 |
0,0644 |
0,2901 |
0,1183 |
0,0882 |
0,0698 |
0,1237 |
0,2591 |
0,0508 |
1,000 |
|
Эксперт 5 |
93,6 |
0,0644 |
0,3030 |
0,1011 |
0,1139 |
0,0669 |
0,0669 |
0,2801 |
0,0682 |
1,000 |
|
Эксперт 6 |
92,5 |
0,0748 |
0,2280 |
0,2280 |
0,0489 |
0,0705 |
0,1355 |
0,2420 |
0,0472 |
1,000 |
|
Эксперт 7 |
92,3 |
0,0771 |
0,2606 |
0,2444 |
0,0606 |
0,1199 |
0,0513 |
0,1989 |
0,0643 |
1,000 |
|
Эксперт 8 |
90,1 |
0,0992 |
0,2714 |
0,0970 |
0,0724 |
0,1078 |
0,1715 |
0,1979 |
0,0820 |
1,000 |
|
Эксперт 9 |
89,7 |
0,1034 |
0,2076 |
0,0578 |
0,0876 |
0,1312 |
0,1466 |
0,2076 |
0,1616 |
1,000 |
|
Эксперт 10 |
84,3 |
0,1572 |
0,2726 |
0,1015 |
0,0531 |
0,1277 |
0,2034 |
0,1978 |
0,0440 |
1,000 |
|
Эксперт 11 |
83,9 |
0,1613 |
0,3126 |
0,0417 |
0,0822 |
0,1100 |
0,1460 |
0,2117 |
0,0957 |
1,000 |
|
Эксперт 12 |
81,3 |
0,1875 |
0,2786 |
0,0764 |
0,1119 |
0,1375 |
0,1101 |
0,2436 |
0,0418 |
1,000 |
|
Эксперт 13 |
80,1 |
0,1986 |
0,2641 |
0,2253 |
0,1457 |
0,1230 |
0,0744 |
0,1100 |
0,0575 |
1,000 |
|
Эксперт 14 |
67,4 |
0,3264 |
0,3042 |
0,0449 |
0,1194 |
0,0848 |
0,0935 |
0,2646 |
0,0887 |
1,000 |
|
Эксперт 15 |
43,3 |
0,5667 |
0,3256 |
0,0355 |
0,1774 |
0,0422 |
0,1300 |
0,1544 |
0,1349 |
1,000 |
Круг репрезентативных экспертов, на суждения которых можно полагаться, определяется их ИС, который в определенном смысле отражает уровень его профессионализма. При ИС > 0,10 рекомендуется произвести повторный опрос эксперта или исключить его из числа репрезентативных. В настоящем исследовании повторный опрос не производился ввиду большой загруженности респондентов, данные экспертов с высоким ИС были исключены из расчетов. Были также исключены данные эксперта 1, посчитавшего, что все функции одинаково важны и заполнившего ячейки таблицы единицами. Однако это противоречит изначальному предположению о разновесности дисфункций.
Эксперт 9 отнесен к репрезентативным ввиду незначительного превышения его ИС значения 0,10. Итоговые данные репрезентативных экспертов сведены в табл. 4.
Таблица 4
Table 4
«Весовые» коэффициенты дисфункций от репрезентативных экспертов
“Weighting” coefficients of dysfunctions from representative experts
|
Респонденты |
«Вес», % |
ИC |
«Весовые» коэффициенты дисфункций |
|||||||
|
df1 |
df2 |
df3 |
df4 |
df5 |
df6 |
df7 |
∑dfi |
|||
|
Эксперт 2 |
95,0 |
0,0501 |
0,2796 |
0,0961 |
0,1223 |
0,1004 |
0,1223 |
0,2394 |
0,0398 |
1,000 |
|
Эксперт 3 |
94,1 |
0,0590 |
0,2561 |
0,2410 |
0,1023 |
0,0977 |
0,1023 |
0,1588 |
0,0419 |
1,000 |
|
Эксперт 4 |
93,6 |
0,0644 |
0,2901 |
0,1183 |
0,0882 |
0,0698 |
0,1237 |
0,2591 |
0,0508 |
1,000 |
|
Эксперт 5 |
93,6 |
0,0644 |
0,3030 |
0,1011 |
0,1139 |
0,0669 |
0,0669 |
0,2801 |
0,0682 |
1,000 |
|
Эксперт 6 |
92,5 |
0,0748 |
0,2280 |
0,2280 |
0,0489 |
0,0705 |
0,1355 |
0,2420 |
0,0472 |
1,000 |
|
Эксперт 7 |
92,3 |
0,0771 |
0,2606 |
0,2444 |
0,0606 |
0,1199 |
0,0513 |
0,1989 |
0,0643 |
1,000 |
|
Эксперт 8 |
90,1 |
0,0992 |
0,2714 |
0,0970 |
0,0724 |
0,1078 |
0,1715 |
0,1979 |
0,0820 |
1,000 |
|
Эксперт 9 |
89,7 |
0,1034 |
0,2076 |
0,0578 |
0,0876 |
0,1312 |
0,1466 |
0,2076 |
0,1616 |
1,000 |
Согласно данным табл. 4 формируется единое мнение о «весах» дисфункций, для чего векторы «весов» экспертов нормируются, т. е. определяется их «вес» именно внутри отобранной группы экспертов путем деления «веса» выбранного эксперта в процентах на сумму всех компонентов (от 95,0 до 89,7 %) и дальнейшего деления персонального компонента на полученную сумму. Вектор «весов» экспертов:
aТ = (0,128; 0,127; 0,126; 0,125; 0,125; 0,122; 0,121).
Из колонок df1–df7 табл. 4 формируем Р – матрицу «весов» дисфункций всех экспертов размером 8 × 7 ячеек. Количество строк (восемь) в матрице соответствует количеству репрезентативных экспертов, семь столбцов соответствуют количеству функций ПДНВ-78. Перемножение вектора «весов» самих экспертов
на матрицу P слева (по правилам умножения матриц) позволяет получить единое (общее) мнение экспертов о «весах» дисфункций, т. е. значимости дисфункций:
Получаем общее экспертное суждение о «весах» дисфункций:
wТ = (0,262; 0,148; 0,087; 0,095; 0,115; 0,223; 0,070).
Заключение
Результаты настоящего экспертного мнения согласуются с исследованиями морских происшествий на судах под российским флагом. Так, в работе А. Н. Соболенко отмечается, что количество аварий, связанных с ошибками эксплуатации главных двигателей, достигает в разные годы 28 % от общего числа [8]. В 2020 г. из 60-и аварий, зарегистрированных в российском судоходстве, 50 % отнесено к техническим [5, 9], в 2022 г. из 32-х аварий 15 вызвано поломками СЭУ [10]. За 2011–2018 гг. доля несоответствия судового персонала минимальным стандартам компетентности составляла 0,227 и 0,232 для «судовождения» и «технической эксплуатации и ремонта» соответственно [11]. Технические аварии промысловых судов в Дальневосточном регионе за период с 2011 по 2017 г. составили 38 % [12]. Соизмеримый «вес» ошибок экипажей морских судов указывается в других работах [13].
Таким образом, используя суждения группы экспертов в области безопасности мореплавания, обработанные методом анализа иерархий, установлено, что наиболее значимыми для создания аварийной ситуации являются несоблюдения стандартов функции «судовождение» (дисфункция df1 = 0,262) и функции «техническая эксплуатация и ремонт» (дисфункция df6 = 0,223). Остальные функции Конвенции обладают меньшими «весами». Указанный метод в полной мере применим к решению задач настоящего исследования, позволяет группе специалистов выстроить иерархию компонентов системы с объективным обоснованием профессионализма каждого из экспертов.
1. Международная конвенция о подготовке и дипломировании моряков и несении вахты 1978 года (ПДМНВ-78) с поправками (консолидированный текст). СПб.: Изд-во ЦНИИМФ, 2010. 806 с.
2. Гомзяков М. В. Распределение ответственности экипажа по стандартам ПДНВ-78 к морской аварии // Проблемы трансп. Дальнего Востока. Докл. науч.-практ. конф. 2019. Т. 1. С. 251–257.
3. Кича Г. П., Надежкин А. В., Семенюк Л. А. Новые стохастические модели очистки топлив и масел судовыми центробежными аппаратами со сложной гидродинамической обстановкой // Мор. интеллектуал. технологии. 2018. № 4-5 (42). С. 77–89.
4. Кича Г. П., Семенюк Л. А., Тарасов М. И. Стохастическая ячеистая модель очистки моторного масла от механических примесей объемным фильтрованием // Мор. интеллектуал. технологии. 2020. № 1-2 (47). С. 105–112.
5. Надежкин А. В., Кича Г. П., Семенюк Л. А. Оптимизация режимов комбинированной очистки моторного масла в судовых дизелях методами вариационного исчисления // Мор. интеллектуал. технологии. 2017. № 3-2 (37). С. 93–100.
6. Саати Т. Л. Принятие решений. Метод анализа иерархий / пер. с англ. Р. Г. Вачнадзе. М.: Радио и связь, 1993. 316 с.
7. Тихомирова А. Н., Сидоренко Е. В. Модификация метода анализа иерархий Т. Саати для расчета весов критериев при оценке инновационных проектов // Соврем. проблемы науки и образования. 2012. № 2. С. 261.
8. Соболенко А. Н., Гомзяков М. В. Надежность эргатического элемента в составе судовой энергетической установки // Мор. интеллектуал. технологии. 2021. № 4-3 (54). С. 66–71.
9. Соболенко А. Н., Гомзяков М. В. Анализ причин некоторых аварийных случаев судовых энергетических установок в Дальневосточном регионе в 2020 году // Мор. интеллектуал. технологии. 2021. № 4-3 (54). С. 72–78.
10. Огай С. А., Гомзяков М. В., Соболенко А. Н. Анализ причин отказа судового дизеля ZGODA-SULZER 6ZA 40S в эксплуатации // Вестн. Инженер. шк. Дальневосточ. федерал. ун-та. 2023. № 3 (56). С. 70–77.
11. Друзь И. Б., Гомзяков М. В. Определение весовых коэффициентов по факторам влияния эргатического элемента судна на морскую аварийность в Дальневосточном регионе // Мор. интеллектуал. технологии. 2020. № 1-2 (47). С. 136–144.
12. Соболенко А. Н., Турищев И. П., Гомзяков М. В., Москаленко О. В. Анализ технических отказов на промысловых судах в Дальневосточном // Вестн. Астрахан. гос. техн. ун-та. Сер.: Морская техника и технология. 2019. № 3. С. 48–55.
13. Гомзяков М. В. Аварийность на море: вес и цена человеческого фактора // Мор. вестн. 2019. № 3 (71). С. 102–104.



