Россия
Россия
Россия
Россия
Россия
Россия
Россия
Россия
Россия
Представлены результаты комплексных исследований водораздельных водохранилищ Волго-Донского судоходного канала (ВДСК), выполненных в 2024 г. Показаны гидрохимические особенности этих ис-кусственных водоемов. Приведены сведения по основным компонентам кормовой базы водохранилищ: фито- и зоопланктону, макрозообентосу. Уровень воды в 2024 г. превышал среднемноголетние значения при антициклональном типе погоды. Прозрачность воды варьировала от 0,5 м (мелководные участки летом) до 3,5 м (центральные акватории весной). Температурный режим характеризовался сезонной динамикой: весной 9,4–16,6 °C, летом до 33,5 °C, осенью 8,9–14,7 °C. Электропроводность изменялась от 630 мкСм/см (Карповское вдхр. осенью) до 1 190 мкСм/см (Варваровское вдхр. летом), отражая пространственно-временную изменчивость минерализации вод. Минеральный состав воды водораздельных водохранилищ ВДСК близок к составу воды Верхнего плеса Цимлянского водохранилища, их питающего, и относится к гидрокарбонатно-кальциевому типу. Минеральный фосфор находится в количествах, обычных для мезотрофных водохранилищ. Средняя концентрация хлорофилла а за вегетационный период составила 10,5 мкг/л (максимум летом – 34,5 мкг/л в Береславском вдхр.), с преобладанием вод β-мезотрофного типа. Фитопланктон представлен 196 видами. Средневегетационные значения численности и биомассы составили 15 831 тыс. кл./л и 4,6 мг/л соответственно. Зоопланктон характеризовался невысокими количественными показателями (135,7 тыс. экз./м3 и 0,21 г/м3), с максимумом летом (0,67 тыс. экз./м³). Основу численности формировали коловратки, основу биомассы – ракообразные. Бентоценозы водохранилищ сходны по структуре, но различаются по количественным показателям. Наибольшая кормовая база отмечена в Карповском вдхр., где доминируют ракообразные и моллюски. Средневегетационные количественные показатели донной фауны водохранилищ были в значительном объеме: 9 392 экз./м2 и 835,0 г/м2. Полученные данные свидетельствуют о стабильности экосистемы водохранилищ ВДСК, с характерными для равнинных водоемов сукцессионными процессами.
фитопланктон, зоопланктон, бентос, хлорофилл а, гидрохимический режим, сезон, водохранилище
Введение
Волго-Донской судоходный канал – это сложная гидротехническая система комплексного назначения, которая включает в себя Карповское (42 км2, средняя глубина 3,7 м), Береславское (15 км2, 3,5 м) и Варваровское (26 км2, 4,7 м) водохранилища. Они связаны цепью каналов и насосных станций, образуя каскад. Самое высокое – Варваровское, расположенное на Волго-Донском водоразделе, затем Береславское и Карповское – в долине р. Дон. Основное питание водохранилищ происходит за счет искусственной подачи воды насосными станциями из Цимлянского водохранилища. При работе шлюзов вода Варваровского водохранилища частично поступает в р. Волга, а частично обратно в Береславское водохранилище и далее через Карповское в Цимлянское [1].
Интенсивность грузоперевозок через канал только возрастает. Так, в навигацию 2024 г. она увеличилась на 29 % по сравнению с аналогичным периодом предыдущего года и составила более 13 млн т; выполнено более 60,5 тыс. шлюзований (+5,7 % относительно 2023 г.) и пропущено по бассейну 9,4 тыс. единиц судов (+13,3 %) [2].
С учетом возрастающей антропогенной нагрузки остается актуальной необходимость наблюдения за изменением гидрохимических и гидробиологических характеристик водохранилищ ВДСК. В 2024 г. впервые за последние 15 лет были проведены расширенные комплексные гидрохимические и гидробиологические исследования.
Цель данной работы: изучить динамику гидрохимического режима и структурно-функциональные особенности основных групп кормовых организмов ихтиофауны водохранилищ ВДСК.
Материал и методика
Сбор материала осуществлялся в рамках государственного задания № 076-00001-24-00 Средневолжским филиалом Всероссийского научно-исследовательского института рыбного хозяйства и океанографии с использованием самоходного плавательного средства в апреле, июле и октябре 2024 г. Пробы отбирались на верхнем, среднем и нижнем участках в глубоководных и прибрежных экологических зонах Карповского, Береславского и Варваровского вдхр. (рис. 1).

Рис. 1. Карта точек отбора проб в водохранилищах ВДСК в 2024 г.
Fig. 1. Map of sampling points of the VDSC reservoirs for 2024
Собраны и обработаны за вегетационный период 81 проба природной воды, 81 проба на фотосинтетические пигменты и 243 гидробиологических пробы (фито-, зоопланктон, зообентос).
Отбор проб природной воды производился в соответствии со стандартными аттестованными методиками, а также ГОСТ Р 59024-2020. Инструментально определялись на месте приборами температура, растворенный кислород и рН воды. Определение производилось в лаборатории гидрохимии и токсикологии Средневолжского филиала ГНЦ РФ ФГБНУ «ВНИРО» (№ RA.RU.516957) – перманганатной окисляемости (ПО), ионов аммония, нитрат-ионов, фосфат-ионов, хлорид-ионов, ионов гидрокарбонатов и нефтепродуктов (ПНД Ф 14.1:2:3.1-95; ПНД Ф 14.1:2:4.4-95; ПНД Ф 14.1:2:4.154-99; ПНД Ф 14.1:2:3:4.112-2023; ПНД Ф 14.1:2:3.96-97; ПНД Ф 14.1:2:4.168-2000). Качество поверхностных вод оценивалось по ПДК веществ для воды рыбохозяйственных водоемов (ПДКрх) согласно Приказу Минсельхоза РФ № 552, 2016 г. Отбор проб воды на анализ фотосинтетических пигментов фитопланктона осуществлялся интегрированно, их содержание определялось в 90 %-м растворе ацетона [3–5]. Для работы применялся спектрофотометр СФ-2000 со стандартным программным обеспечением. При оценке трофического статуса водных объектов придерживались шкал С. П. Китаева [6]. При сборе и обработке материала (фитопланктона, зоопланктона, зообентоса) использованы методические рекомендации ГосНИОРХ и общепринятые в гидробиологии методики [7–13]. Идентификацию гидробионтов проводили по сериям определителей: «Определители пресноводных водорослей СССР» (1953–1986 гг.) и «Визначник прiсноводних водоростей УРСР» (1953–1993 гг.), J. Komarek, B. Fott (1983 г.), П. М. Царенко (1990 г.), серия определителей – Susswasserflora von Mitteleuropa (1985–1990 г.), для фауны: «Определитель пресноводных беспозвоночных России и сопредельных территорий» (1994–2004 гг.), «Определитель зоопланктона и зообентоса пресных вод Европейской России» (2016 г.) и [14–21]. Валидные названия приведены в соответствии с международной номенклатурой GBIF 2025 г., Algaebase 2025 г. Статистическую обработку данных и расчет индексов проводили с помощью языка программирования R.
Результаты исследований
Прозрачность воды в течение вегетационного периода по акватории водохранилищ ВДСК колебалась в пределах от 0,5 до 3,5 м. Наибольшую прозрачность наблюдали весной в центральных точках. Низким уровнем прозрачности отличались мелководные участки водохранилищ летом. Глубина на точках отбора проб отмечалась в интервале от 1,5 до 9 м. Сезонный ход температуры воды у водохранилищ весной находится в интервале от 9,4 до 16,6 ºС, летом от 26,1 ºС и в отдельных точках отбора достигает 33,5 ºС, осенью от 8,9 до 14,7 ºС. Динамика электропроводности имела значения от 630 до 1 150 мкСм/см, при этом самые низкие значения отмечались в Карповском вдхр. (летом – 800, осенью – 630 мкСм/см), а высокие в Варваровском (летом до 1 190, осенью – 910 мкСм/см).
Гидрохимический режим водохранилищ ВДСК в период исследований 2024 г. характеризуется приемлемыми условиями для функционирования экосистемы водоема (табл.).
Сезонные показатели гидрохимического режима водохранилищ ВДСК в 2024 г.*
Seasonal indicators of the hydrochemical regime of the VDSC reservoirs in 2024
|
Показатель |
ПДК рх |
Карповское |
Береславское |
Варваровское |
||||||
|
Весна |
Лето |
Осень |
Весна |
Лето |
Осень |
Весна |
Лето |
Осень |
||
|
Водородный показатель, |
6,5–8,5 |
– |
8,2–8,5 8,37 |
8,2–8,38 8,26 |
8,1–8,2 8,18 |
8,5–8,65 8,60 |
8,2–8,3 8,21 |
8,1–8,1 8,09 |
8,5–8,78 8,68 |
8,1–8,2 8,14 |
|
Растворенный кислород, |
≥ 6,0 |
9,7–14,7 12,37 |
4,8–8,1 6,6 |
5,6–8,1 6,41 |
9,18–11 10,0 |
6,4–16,6 10,47 |
4,6–16,2 8,62 |
8–21,2 14,13 |
10,6–20 17,96 |
5,9–9,2 8,1 |
|
Растворенный кислород, |
– |
93,5–132 114 |
62,2–102 85,1 |
43–85,5 62,3 |
93,1–112 99,7 |
73,3–226 131 |
45,0–16 85,3 |
83–217 144 |
216–257 240 |
51–80 70,6 |
|
Аммоний, |
0,5 |
0,16–0,4 0,30 |
0,25–0,5 0,36 |
0,3–0,69 0,43 |
0,18–0,4 0,23 |
0,2–0,36 0,25 |
0,3–0,7 0,49 |
0,14–0,2 0,18 |
0,33–0,5 0,44 |
0,2–0,59 0,24 |
|
Нитраты, |
40,0 |
0,21–0,7 0,46 |
0,1–0,6 0,13 |
0,47–7,3 1,51 |
0,15–0,5 0,28 |
0,3–0,74 0,52 |
< 0,1–1,3 0,26 |
0,1–0,4 0,2 |
0,1–0,58 0,29 |
0,2–0,4 0,31 |
|
Фосфаты, |
50 |
27–47 35 |
41–82 67 |
53–92 70 |
45–64 54 |
16–69 32 |
51–69 64 |
47–69 56 |
19–33 22 |
42–63 54 |
|
ПО, |
– |
6,7–7,6 7,2 |
5,8–7,4 6,6 |
5,7–6,7 6,2 |
5,6–7,2 6,4 |
7,4–9,2 8,5 |
5,7–6,8 6,2 |
6,9–7,7 7,2 |
7,0–8,7 8,1 |
6,0–7,2 6,6 |
|
Хлориды, |
300 |
98–118 105 |
83–97 94 |
74–78 76 |
129–139 133 |
127–157 149 |
103–117 108 |
144–158 149 |
167–173 169 |
148–159 154 |
|
Нефтепродукты, мг/дм3 |
0,05 |
0,09–0,2 0,15 |
0,03–0,3 0,11 |
0,01–0,1 0,04 |
0,1–0,2 0,2 |
0,03–0,2 0,09 |
0,01–0,04 0,02 |
0,04–0,2 0,11 |
0,1–0,4 0,25 |
0,04–0,1 0,07 |
|
Гидрокарбона-ты, |
– |
175–236 191 |
184–191 187 |
208–230 217 |
210–226 219 |
177–201 183 |
191–214 201 |
149–210 161 |
158–185 174 |
219–272 252 |
* Над чертой – колебания значений, под чертой – средняя величина.
По степени минерализации водохранилища ВДСК относят к водоемам с относительно повышенной минерализацией. Согласно классификации О. А. Алекина [22], данные водохранилища гидрокарбонатного класса, кальциевой группы II типа. По величине водородного показателя вода в водохранилищах слабощелочная, варьировалась в пределах ошибки определения. Незначительные превышения ПДК рН зафиксированы в летний период в Береславском и Варваровском вдхр., на 0,1 и 0,18 ед. соответственно, что, возможно, связано с активными процессами жизнедеятельности высшей водной растительности (см. табл.). Кислородный режим в 2024 г. был нестабилен, наблюдались периоды как низких, так и высоких показателей. ПДКрх растворенного кислорода, обеспечивающее нормальное развитие рыб, составляет 6 мг/дм3. Весной содержание растворенного в воде водохранилищ кислорода находилось на среднем уровне (12,17 мг/дм3, 119 % насыщения), что было благоприятно для жизнедеятельности гидробионтов. Минимум – 8,01 мг/дм3 – и максимум – 16,56 мг/дм3 – фиксировались в прибрежной части Варваровского вдхр. В летний период наблюдались две крайние ситуации: содержание кислорода в Карповском вдхр. падало ниже допустимой нормы, до 4,79 мг/дм3, что создавало опасность возникновения «заморов», приводящих к гибели ВБР. Вместе с тем в воде Варваровского и Береславского вдхр. уровень кислорода поднимался до аномально высоких значений – 16,57 и 20,3 мг/дм3 (226 и 257 % насыщения) соответственно, что могло отрицательно влиять на жизненные функции водных организмов и рассматривалось как следствие интенсивного развития фитопланктона, процессов гиперэвтрофикации. «Лишний кислород» способен вызывать оксидативный стресс у гидробионтов, нарушая их физиологические функции [23]. Осенью, из-за продолжительного периода высоких температур воздуха и воды, содержание растворенного кислорода по сравнению с летом не увеличилось в Карповском вдхр., на отдельных участках было ниже нормы – 5,58 мг/дм3. В Береславском и Варваровском – также понизилось вплоть до цифр ниже ПДК (4,63 и 5,59 мг/дм3 соответственно). Вероятнее всего, процессы фотосинтеза пошли на убыль, но в толще воды еще высоко содержание органических веществ, на окисление которых и использовался кислород. Перманганатная окисляемость – косвенный показатель трофности системы – зависит от количества и качества биогенных соединений, от разновидностей и содержания органических веществ, от общего биологического состава [24]. Способ поступления воды в водохранилища накачной, приток с водосборных площадей небольшой [1], все органическое вещество, находящееся в толще воды, автохтонно. Показатели ПО для Карповского вдхр. в 2024 г. не превышали 7,6 мгО/дм3, что близко к уровню мезотрофных водоемов. Более высокие цифры ПО летний период – в Береславском и Варваровском вдхр., 9,2 и 8,7 мгО/дм3 соответственно – свидетельствуют о присутствии повышенного количества «органики», переходе водоемов в статус более трофных – умеренно эвтрофных, что коррелирует с данными по рН и кислороду.
Также одним из факторов, вызывающих изменение трофического статуса водохранилищ, является повышенный уровень фосфатов [25]. Высокие значения последних фиксировались в Карповском вдхр. летом и осенью на уровне 1,34 и 1,4 ПДК соответственно, в Береславском и Варваровском – весной и осенью от 1,08 до 1,28 ПДК соответственно сезонам. 2024 г. характеризовался невысоким уровнем азотсодержащих биогенов в водной среде обследуемых водоемов, максимальные концентрации ионов аммония для всех водохранилищ зафиксированы в осенний период: от 1,18 до 1,38
и 1,4 ПДК – в Варваровском, Карповском и Береславсоком вдхр. соответственно.
Содержание хлоридов в воде Карповского вдхр. уменьшается от весны к осени, превышений ПДК не выявлено. В Береславском и Варваровском вдхр. наибольшие концентрации хлоридов зафиксированы в летний период – до 173 мг/дм3, что может быть следствием поступления более минерализированных вод с водосборной площади [23, 24]. Как уже было отмечено, изучаемые водохранилища гидрокарбонатные [22], уровень их стабилен с некоторыми сезонными колебаниями – некоторое их уменьшение наблюдалось в летний период, на фоне повышения рН, что указывает на извлечение из них водной растительностью углекислого газа, с образованием свободных радикалов ОН– [26]. Основными компонентами нефти и нефтепродуктов являются углеводороды различного происхождения. Помимо антропогенного загрязнения, углеводороды попадают в воду из-за естественных выделений живых организмов и разложения органического вещества [27, 28]. Весной в водохранилищах ВДСК содержание нефтепродуктов превышает ПДК в 2–3 раза, но в Карповском и Береславском водохранилищах к лету концентрация снижается до уровня ниже ПДК. В Варваровском водохранилище летом отмечается максимальное содержание – 5 ПДК, что пересекается с данными по содержанию органического вещества по показателю ПО. К осени концентрация нефтепродуктов снижается, но остается выше ПДК, вероятнее, как из-за антропогенного, так и биогенного воздействий.
Гидробиология
По материалам прикладных исследований филиала в отношении зарастания гелофитами водохранилища ВДСК можно отнести к умеренно заросшим, процент зарастания от общей площади акватории водохранилищ составляет: Карповское – 15 %, Береславское – 20 %, Варваровское – 14,7 %.
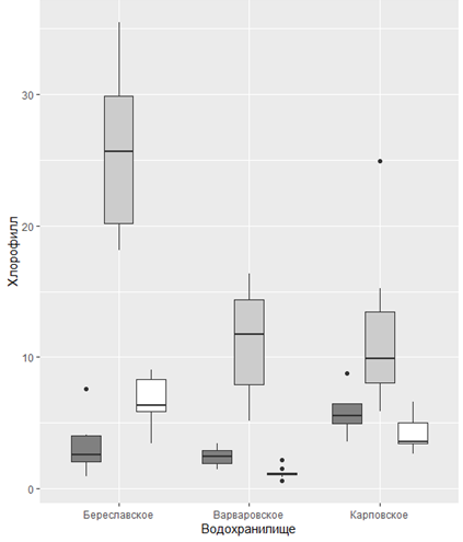
Содержание основного фотосинтетического пигмента хлорофилла а (Хл а) в воде водохранилищ ВДСК в период исследования изменялось в широком диапазоне, от 0,6 до 35,5 мг/м3, т. е. в 59 раз. Однако около 77 % всех значений не превышали 10 мг/м3, а 50 % были ограничены 6 мг/м3 (рис. 2, а) при средневегетационном значении 10,5 мг/м3.
|
а |
б |
|
в |
г |
Рис. 2. Динамика показателей концентраций хлорофилла а, мг/м3 (а) и биомассы:
фитопланктона, г/м3(б); зоопланктона, г/м3(в); бентоса, г/м2 (г) водохранилищ ВДСК
Fig. 2. Dynamics of chlorophyll a concentrations, mg/m3 (а) and phytoplankton biomass, g/m3 (б);
zooplankton, g/m3 (в); benthos, g/m2 (г) of the VDSC reservoirs
В весенний период содержание Хл а отмечено на уровне 3,8 мг/м3 с колебаниями от 0,9 до 8,8 мг/м3. Наибольшие значения отмечались в этот период в Карповском вдхр. (5,8 мг/м3), наименьшие в Варваровском (2,5 мг/м3) (см. рис. 2, а). В летний период при прогреве воды до 33,5 °С на пике развития фитоценозов в водохранилищах ВДСК фиксируются наибольшие значения концентраций Хл а, при средних около 16 мг/м3, однако в двух крайних водохранилищах – Карповском и Варваровском – отмечались примерно равные значения содержания Хл а: около 10 мг/м3 (см. рис. 2, а). Максимальные концентрации Хл а достигали 34,5 мг/м3 в Береславском вдхр. и в среднем здесь составили 26 мг/м3.
Наиболее встречаемые значения Хл а осенью – около 4 мг/м3, с минимальными значениями 1,2 мг/м3 в Варваровском вдхр. и максимальными в Береславском – 6,7 мг/м3 (см. рис. 2, а). В этот период затухает вегетационная активность фитопланктона и фиксируется наибольший разброс концентраций по акватории водохранилищ ВДСК. В 2024 г. наименьшая разница в величинах Хл а отмечена в Карповском вдхр., и воды этого водохранилища характеризуются умеренной степенью изменчивости (Cv = 66 %); более вариабельны концентрации фотосинтетических пигментов в воде Береславского (91 %) и Варваровского (102 %) вдхр. По данным 2024 г. наибольшие средние концентрации хлорофилла на уровне α-эвтрофных отмечаются в Береславском вдхр. (средневегетационная концентрация Хл а – 16 мг/м3). В остальных водохранилищах воды имеют категорию β-мезотрофных. (средневегетационная концентрация Хл а в Карповском – 8,6 мг/м3, в Варваровском – 6,8 мг/м3), что коррелирует с данными гидрохимических исследований – уровнем ПО, фосфора, кислорода, рН (см. табл.). Наибольшая разница между минимальными и максимальными показателями, как и коэффициент вариации в сезонном аспекте, отмечается в осенний период (Cv = 65 %), наименьшая – в летний (Cv = 53 %). Фитопланктон. За период исследования в 2024 г. в фитопланктоне водохранилищ ВДСК обнаружено 196 видов (206 таксонов водорослей рангом ниже вида). Максимально представлены диатомовые (95 формы), разнообразны зеленые (45 форм), включающие 26 хлорококковых, 14 – вольвоксовых, 1 – десмидиевых и 1 – улотрисовых, цианобактерии (25), немало криптофитовых (14), динофитовых (11), золотистых (9) и эвгленовых (7). Структура фитоценоза сходна с описанной по результатам ежемесячных обследований в 2005–2007 гг. [29]. В среднем регистрировали от 16 до 22 форм в пробе, максимум (36 форм) отмечали в Карповском вдхр. летом, минимум 5 в Варваровском – осенью. Индекс Жаккара для водохранилищ достаточно высок и составляет 0,56–0,69. Сезонная смена групп вполне закономерна и свойственна происходящим сукцессиям в водохранилищах равнинного типа [30]. В сезонной динамике видового спектра водорослей четко проявляются структурные изменения. Весной отмечено наибольшее количество форм микроводорослей – 131. Видовой спектр диатомовых наиболее широкий – 90 видов. Частота встречаемости была наибольшей: Cyclotella atomus Hustedt, Cyclotella minutula Kützing, Synedra radians var. radians Kützing, Amphora ovalis (Kütz.) Kütz., Gomphonema olivaceum (Hornemann) Ehrenberg. Разнообразие зеленых отмечалось значительно меньше (13), среди них преобладали хлорококковые (9).
Из 9 представителей криптофитовых, отмечаемых во все сезоны, весной наиболее часто обнаруживался Chroomonas nordstedtii Hansg. Из золотистых, одной из малочисленных групп водорослей, весной достигающей наибольшего разнообразия (7), часто отмечался Dinobryon divergens O. E. Imhof. Весной и осенью наблюдалось наименьшее число видов в группе цианобактерий (6). Динофитовые и эвгленовые весной также были представлены небольшим числом видов – 4 и 2 соответственно. Летнее сообщество планктонных водорослей несколько беднее – 102 вида и разновидности.
В этот период своего максимального разнообразия (35) достигали зеленые, включающие 24 хлорококковых и 11 вольвоксовых. Видовой состав цианобактерий возрос до максимального – 23 формы. Часто встречались следующие виды: Chrysosporum bergii (Ostenf.) Zapomelová et al., Anabaena oscillarioides Bory ex Bornet & Flahault, Cuspidothrix elenkinii (Kisselev) Rajaniem & al., Aphanizomenon flosaquae Ralfs ex Bornet & Flahault, Dolichospermum spiroides (Kleb.) Wacklin, L. Hoffm. & Komárek. Разнообразие диатомовых и золотистых закономерно летом снизилось до 22 и 8 видов соответственно. Количество динофитовых выросло до 8 видов, их которых Peridiniopsis oculata (F. Stein) Bourr. отмечался наиболее часто. Разнообразие эвгленовых и криптофитовых и оставалось на весеннем уровне –
3 и 8 видов. Среди последних часто встречались Cryptomonas erosa Ehrenb. и Komma caudata (Geitler) D. R. A. Hill. Осенью отмечено наименьшее число видов – 61. Как и весной, преобладали диатомовые (28), среди которых часто встречалась типично летняя центрическая Aulacoseira granulata (Ehrenberg) Simonsen. Видовой спектр зеленых снизился до 12 как за счет уменьшения числа видов хлороккоковых (до 7), так и вольвоксовых (до 4). Из криптофитовых (10 видов) наибольшая частота встречаемости была у K. caudata, Ch. nordstedtii. Разнообразие золотистых, эвгленовых и динофитовых не превышало
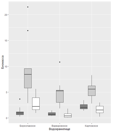
1–2 вида. Средневегетационные значения численности и биомассы фитопланктона составили 15 831 тыс. кл./л и 4,6 мг/л соответственно. Современная биомасса несколько ниже показателей 2005–2007 гг.
(5,6 мг/л) [29]. Тест One-Way ANOVA не показал достоверных отличий в биомассе фитопланктона водохранилищ при p < 0,05. На рис. 2, б представлен ход изменения биомассы планктонных водорослей по каждому водохранилищу по сезонам. Весной средние значения численности и биомассы составили 2 200 тыс. кл./л и 1,3 мг/л. В Карповском вдхр. развивался диатомово-криптофитовый комплекс с долями этих групп в общей биомассе 71 и 14 % соответственно. К ведущим видам в водохранилище относили C. minutulа, S. radians. и K. caudata. В Береславском вдхр. развивался диатомово-золотистый комплекс (55 и 44 % соответственно), а в Варваровском золотисто-диатомово-криптофитовый. На долю этих отделов приходилось 59, 23 и 10 % соответственно. К ведущим в обоих водохранилищах относился D. divergens, а в Варваровском еще и Chr. nordstedtii. Летом средние значения численности и биомассы достигали максимальных значений: 24 584 тыс. кл./л и 6,7 мг/л. В этот период цианобактерии составляли основу общей биомассы на всех водохранилищах (52 % в Карповском, 46 % в Береславском и 56 % в Варваровском). К ведущим видам относились Aph. flosaquae, A. oscillarioides, D. spiroides, C. elenkinii. За счет обильного развития представителей вольвоксовых неравномерно по водохранилищам возрастала роль зеленых. Их доля составляла 29 % в биомассе фитопланктона Варваровского вдхр. и 12 и 11 % в Береславском и Карповском вдхр. На отдельных станциях представители вольвоксовых имели высокие биомассы – это Colemanosphaera charkowiensis (Korshikov) H. Nozaki, T. K. Yamada, F. Takahashi, R. Matsuzaki & T. Nakada в Варваровском вдхр. с биомассой 5,8 мг/л и долей 53 % и Pteromonas aculeata Lemmerm. (9,04 мг/л и 55 %) в Береславском. Вклад в биомассу диатомовых водорослей наиболее заметен в Береславском (25 %) и в Карповском (20 %), в Варваровском их доля составляла всего 6 %. Криптофитовые имели 13 % в Карповском и 10 % в Береславском. Ведущими из них были Chr. bergii, Cr. erosa. Представители динофитовых водорослей составляли не более 6 % биомассы. В Береславском вдхр. отмечена максимальная летняя биомасса 21,2 мг/л, в которой по 34 % приходилось на Aph. flosaquae (7,4 мг/л) и A. granulata (7,5 мг/л). Осенью развивался диатомово-криптофитовый комплекс со средней численностью 9 714 тыс. кл./л и биомассой 3,2 мг/л. Доля диатомовых по водохранилищам составляла 55–63 %, криптофитовых – 42 % в Варваровском, 38 % в Карповском и несколько меньше в Береславском (25 %). На нескольких станциях Береславского водохранилища по-прежнему были заметны летние вольвоксовые (22 и 59 %), а Карповского – цианобактерии (19 и 20 %). К ведущим видам относились во всех водохранилищах A. granulata, K. caudata, Ch. nordstedtii.
Зоопланктон. В период наблюдений видовое разнообразие зоопланктона водохранилищ канала Волго-Дон было представлено 46 видами, из которых Rotifera – 23, Cladocera – 13, Copepoda – 10.
Всего весной было обнаружено 20 видов зоопланктеров. В Карповском вдхр. среди коловраток доминировали Keratella quadrata (O. F. Müller, 1786) и Lecane luna (O. F. Müller, 1776), среди ветвистоусых рачков – Bosmina longirostris (O. F. Müller, 1785), веслоногие рачки встречались науплиальными и взрослыми особями – Halicyclops neglectus (Kiefer, 1935) и понто-каспийской Eurytemora caspica (Sukhikh et Alekseev, 2013). Ведущий комплекс Береславского вдхр. в тот же период представлен другим видовым разнообразием – Asplanchna priodonta (Gosse, 1850), Polyarthra dolichoptera (Idelson, 1925), Chydorus sphaericus (O. F. Müller, 1785). Планктофауна копепод идентична веслоногим ракообразным Карповского вдхр. Биоценоз Варваровского вдхр. представлен иным видовым составом, где массовыми из коловраток были L. luna, Synchaeta pectinata (Ehrenberg, 1832), из ветвистоусых – C. sphaericus, E. caspica и Eucyclops serrulatus (Fischer, 1851) из веслоногих рачков.
К лету спектр видов зоопланктона закономерно расширился до 36. Увеличение видов произошло практически во всех систематических сообществах. Изменились и ведущие группы организмов. Сокращается число обнаруженных видов среди коловраток, увеличивается количество ветвистоусых и веслоногих ракообразных, что характерно для летнего сезона. В доминантном составе водохранилища по-прежнему преобладает K quadrata, у кладоцер ведущим видом становится южный рачок – Diaphanosoma orghidani (Negrea, 1982). Среди копепод чаще встречаются взрослые и половозрелые особи – понто-каспийские Heterocope caspica (Sars, 1897) и E caspica, североамериканский Acanthocyclops americanus (Marshall, 1893) и восточноазиатский Termocyclops taihokuensis (Harada, 1931), T. crassus, H. neglectus, ранее указанные в работе [15]. Массовые виды Береславского вдхр. схожи с летней фауной Карповского. Помимо зоопланктона в пробах встречаются простейшие организмы. В Варваровском вдхр. отмечено наибольшее разнообразие видов в канале за летний период. Замещаются полностью доминантные представители ветвистоусых рачков на понто-каспийский вид Podonevadne trigona ovum (Zernov, 1901), что прослеживалось и ранее [15], и коловраток – Euchlanis dilatata (Ehrenberg, 1832), Asplanchna priodonta, Finilinia longiseta (Ehrenberg, 1834). Копеподы летом представлены видами Mesocyclops leuckarti (Claus, 1857), A. americanus, T. crassus, E. caspica, H. neglectus, Diacyclops bicuspidatus (Claus, 1857). Осенний биоценоз канала характеризуется неравномерным распределением зоопланктона между водохранилищами. Наибольшее количество видов в данный период встречалось в Береславском вдхр. – 19, тогда как в Варваровском в разы меньше – 6, а в Карповском – 10. В Карповском вдхр. в массе S. pectinata из коловраток, B. longirostris и Daphnia galeata (Sars, 1864) из ветвистоусых рачков. Среди копепод взрослые и науплиальные. Доминирующие виды зоопланктеров Береславского вдхр. – S. pectinata, P. dolichoptera, B. longirostris. Варваровское вдхр. представлено P. dolichoptera и ветвистоусым рачком B. longirostris. Индекс Чекановского – Съеренсена показал высокое сходство биоразнообразия между Карповским и Береславским вдхр. (0,7) и умеренное сходство Варваровского и Карповского, Варваровского с Береславским (0,5). В период наблюдений средневегетационные количественные значения водохранилищ ВДСК находились на невысоком уровне и составляли 135,7 тыс. экз./м3 и 0,21 г/м3. Весной в Береславском вдхр. отмечена наибольшая численность и биомасса зоопланктона –
49,8 тыс. экз./м3 и 0,175 г/м3. Наименьшие количественные значения отмечены в Карповском вдхр. – 32,761 тыс. экз./м3 и 0,04 г/м3. В Варваровском вдхр. численность составляла 41,879 тыс. экз./м3, а биомасса 0,05 г/м3. В Карповском и Варваровском вдхр. основу численности составляли коловратки (75 и 76 %), а биомассы – науплиальные стадии развития веслоногих рачков. И только в Береславском вдхр. основу численности и биомассы составляют личиночные стадии развития копепод (78 и 70 %).
Летом максимальные значения биомассы зоопланктона отмечены в Береславском вдхр. Основу биомассы формируют разные стадии развития копепод (0,67 г/м3), при этом численность составляет 146,6 тыс. экз./м3. В Варваровском вдхр. при высоком значении численности (350,7 тыс. экз./м3) биомасса составляет 0,496 г/м3 за счет коловраток (90 и 67 %). Минимальная численность и биомасса была в Карповском вдхр. (79,3 тыс. экз./м3 и 0,242 г/м3), основу составляли науплиальные и копеподитные стадии развития (95 и 82 %). Осенью наибольшую биомассу зоопланктона регистрировали в Карповском вдхр. – 0,1 г/м3, численность в Береславском – 31,4 тыс. экз./м3. В Варваровском вдхр. зоопланктон принимал минимальные количественные значения – 5,8 тыс. экз./м3 и 0,009 г/м3 (см. рис. 2, в). Основу численности на всех трех водохранилищах формировали коловратки (Карповское – 76 %, Береславское – 80 %, Варваровское – 48 %). Биомассу Карповского вдхр. на 71 % составляли кладоцеры, Береславского – коловратки (45 %), Варваровского – копеподы (51 %).
На протяжении всего вегетационного сезона в пробах встречались велигеры моллюсков рода Dreissena: весной они отмечены в Карповском и Варваровском вдхр., их вклад в количественные показатели не превышает 0,5 %; летом встречались во всех водохранилищах – не более 12 %; осенью только в Береславском – не более 0,02 %. Численность и биомасса зоопланктона водохранилищ распределялась неравномерно. Его наибольшие значения отмечены в прибрежных точках, а наименьшие в центральных. В Береславском вдхр. летом в отдельных пробах (у балки Самородная) биомасса достигала 0,6 г/м3 (см. рис. 2, в). Низкий уровень биомассы позволяет отнести водохранилища ВДСК к малокормным. Чтобы оценить значимость различий в численности и биомассе зоопланктона между водохранилищами и сезонами, использовали однофакторный дисперсионный анализ (ANOVA), который показал, что различия статистически значимы, p < 0,05. Макрозообентос. Донная фауна водохранилищ ВДСК в течение всего вегетационного периода 2024 г. насчитывала 72 вида, включающих 18 личинок хирономид, 18 высших ракообразных, 15 олигохет, 7 моллюсков, 3 полихеты и 11 видов прочих донных организмов. Общее количество выявленных видов по водоемам составило: в Карповском – 48, в Береславском – 47, в Варваровском – 51. Ядро константных видов, играющих основную роль в количественных показателях, составили 8 бентонтов встречаемостью 52–88 %: весной – Chelicorophium curvispinum (G. O. Sars, 1895), Polypedilum nubeculosum (Meigen, 1804), Dreissena polymorpha (Pallas, 1771); летом – D. polymorpha, Ch. curvispinum, Chironomus plumosus (Linnaeus, 1758), Chelicorophium chelicorne (G. O. Sars, 1895), Dreissena bugensis (Andrusov, 1897), Potamothrix moldaviensis (Vejdovský & Mrázek, 1903), P. nubeculosum, Procladius ferrugineus (Kieffer, 1918); осенью – Dr. polymorpha, Dr. bugensis, Ch. chelicorne, P. mol-
daviensis, P. nubeculosum, которые являются обычными для данных водоемов. Второстепенными видами с встречаемостью 30–48 % выступали: весной – Limnodrilus claparedianus (Ratzel, 1868), P. mol-
daviensis, Hypania invalida (Grube, 1860); летом – Microchironomus tener (Kieffer, 1918); осенью – Theodoxus major (Issel, 1865), Dikerogammarus haemobaphes (Eichwald, 1841), Ch. curvispinum, Pro-
cladius choreus (Meigen, 1804). Остальные виды имеют меньшую степень распространения, и их встречаемость по водоемам колеблется в пределах 4–28 %.
Количество видов в пробе по водохранилищам колебалось в широком диапазоне: в Карповском – 7–17, в Береславском – 0–14, в Варваровском – 0–16. По характеру видовой структуры донных биоценозов все три водохранилища схожи, но экологически благополучнее состояние донного сообщества Карповского вдхр. Общность структуры доминантных комплексов зообентоса водоемов канала была очень высокой: индекс сходства состава массовых видов Карповского и Варваровского вдхр. составил 0,77, Карповского и Береславского – 0,69, Береславского и Варваровского – 0,65. Это вполне объяснимо их относительной территориальной близостью, морфологией, сходными физико-химическими свойствами воды, температурным режимом и другими экологическими условиями.
Донные организмы распределяются в водоемах в зависимости от имеющихся биотопов, которые были достаточно разнообразны. Около 40 % от общей площади дна канала занимает твердый глинисто-песчаный грунт, остальная часть слагается песком с различной степенью заиливания или глинистыми и черными илами с примесью ракуши и детрита.
В соответствии с характером биотопов происходит и распределение организмов макробентического сообщества. На твердом грунте в больших количествах встречались высшие ракообразные и моллюски, на мягких грунтах возрастают значения пелофилов – малощетинковых червей и личинок хирономид. В целом водохранилища канала характеризуются значительным развитием донных кормовых ресурсов. Средневегетационные количественные показатели донной фауны водохранилищ составляли 9 392 экз./м2 и 835,0 г/м2, в основном за счет массового развития в 2024 г. двустворчатого моллюска Dr. polymorpha. Весной в Карповском вдхр. наблюдаются наибольшие скопления донных животных среди всех исследованных водоемов. Их численность по станциям колеблется в пределах 3 000–19 960 экз./м2, достигая веса 18,44–2 950,8 г/м2, составляя в среднем 12 769 экз./м2 и 1 191,99 г/м2 (см. рис. 2, г). Минимальные показатели численности и биомассы отмечались в Береславском вдхр. – 1 320 экз./м2
и 28,65 г/м2 соответственно, за счет низких значений высших ракообразных и моллюсков. Средневегетационные показатели бентоса в Варваровском вдхр. составили 5 422 экз./м2 и 541,02 г/м2.
Летом наибольшие показатели как численности, так и биомассы зафиксированы в Карповском вдхр., составляя 20 116 экз./м2 и 1 158,86 г/м2, что более чем в 2 раза выше, чем в Варваровском вдхр.
(8 227 экз./м2 и 527,34 г/м2 соответственно). В Береславском вдхр. отмечается минимум количественных показателей, равный 3 400 экз. весом 108,54 г на одном квадратном метре.
К осени общая средняя биомасса бентоса во всех водоемах несколько возрастает, составляя максимум в Карповском вдхр. – 1 899,7 г/м2, а на отдельных его участках (открытое мелководье в центральной точке нижнего разреза) достигая 6 035,48 г/м2. Интенсивность развития донных беспозвоночных в Береславском вдхр. составила 12 353 экз./м2 и 1 241,08 г/м2, а в Варваровском – 8 278 экз./м2
и 814,81 г/м2. Основу численности во всех водохранилищах составляют ракообразные, на долю которых приходится: в Карповском – 46 %, в Береславском –28 %, в Варваровском – 38 % от суммарной, а подавляющую часть биомассы составляют моллюски, определяющие на 97 % запасы общей биомассы в Карповском вдхр., на 99 % в Береславском, на 98 % в Варваровском.
В количественных показателях зообентоса мы выделяем «общий» и «мягкий» бентос. К «общему» бентосу относят все группы организмов, включая моллюсков. С позиции кормовой базы для рыб большее значение имеет «мягкий», наиболее ценный в кормовом отношении, зообентос. По величине средневегетационной биомассы мягкотелых бентических организмов наиболее кормным является Карповское вдхр. (37,25 г/м2). Береславское вдхр. стоит на последнем месте (5,13 г/м2), а Варваровское занимает, соответственно, промежуточное положение (12,43 г/м2). Суммарная величина продукции бентоса по водохранилищам составила: в Карповском – 6 944,59 г/м2, в Береславском – 2 222,003 г/м2, в Варваровском – 3 063,233 г/м2. Согласно принятой классификации М. Л. Пидгайко [22], Карповское вдхр. можно оценить как «весьма высококормный» водоем, Варваровское – «высококормный», а Береславское – «выше средней кормности». Тест Крускала – Уоллиса выявил статистически значимые различия в медиане биомассы бентоса между группами (р = 0,031). Попарные сравнения с поправкой Бенджамини – Хохберга показали, что биомасса в Карповском вдхр. значимо выше, чем в Береславском (р = 0,02), но не отличается от Варваровского (р = 0,15).
Заключение
По результатам проведенных исследований установлено, что основные рыбохозяйственные гидрохимические показатели находились на пригодном уровне для жизнедеятельности водных организмов.
По исследуемым показателям трофический статус экосистемы водохранилищ определяется как мезотрофный – умеренно-эвтрофный. По уровню развития зоопланктона водохранилища относятся
к низкокормным. Ведущая роль в формировании донных кормовых ресурсов принадлежит ракообразным и моллюскам. Наиболее кормным среди водохранилищ канала является Карповское.
Однако необходимо отметить, что в системе водохранилищ канала ВДСК высокие значения фосфатов, нефтеуглеводородов и перманганатной окисляемости зафиксированы в Береславском вдхр. Данные показатели, являясь маркерами отрицательного антропогенного влияния, вероятнее всего, провоцируют здесь высокое развитие фитоценозов в летний период при чрезмерном прогревании водной толщи. Неравномерность состояния планкто- и бентофауны, отсутствие донных организмов в отдельных пробах отражает неблагополучность условий обитания для гидробионтов в Береславском вдхр.
1. Трусов В. З. Ихтиофауна водохранилищ Волго-Донского канала им. В. И. Ленина и биологическое обоснование ее реконструкции // Изв. ГосНИОРХ. 1969. Т. 65. C. 11–32.
2. Грузоперевозки в Волго-Донском бассейне в 2024 году увеличились на 29 % – до 13,5 млн т. URL: https://portnews.ru/news/371296/ (дата обращения: 10.12.2024).
3. Lorenzen C. J., Jeffrey S. W. Determination of chlo-rophyll in sea water. Paris: UNESCO, 1980. 20 p.
4. Сигарева Л. Е. Спектрофотометрический метод определения пигментов фитопланктона в смешанном экстракте // Методические вопросы изучения первичной продукции планктона внутренних водоемов. СПб.: Гидрометеоиздат, 1993. С. 75–84.
5. SCOR-UNESCO Working Group № 17. Determina-tion of photosynthetic pigments in sea water // Monographs on Oceanographic Methodology. Paris: UNESCO, 1966. P. 9–18.
6. Китаев С. П. Основы лимнологии для гидробиологов и ихтиологов. Петрозаводск: Изд-во КарНЦ РАН, 2007. 395 с.
7. Руководство по методам гидробиологического анализа поверхностных вод и донных отложений / под ред. В. А. Абакумова. Л.: Гидрометеоиздат, 1983. 240 с.
8. Лаврентьева Г. М., Бульон В. В. Методические рекомендации по сбору и обработке материалов при гидробиологических исследованиях на пресноводных водоемах. Фитопланктон и его продукция. Л., 1982. 32 с.
9. Методика изучения биогеоценозов внутренних водоемов. М.: Наука, 1975. 239 с.
10. Корнева Л. Г. Опыт использования морфофункциональной классификации пресноводных водорослей для оценки динамики и пространственного распределения ассоциаций фитопланктона Рыбинского водохранилища // Яросл. пед. вестн. (Естеств. науки). 2012. Т. III. С. 110–114.
11. Салазкин А. А., Иванова М. Б. Методические рекомендации по сбору и обработке материалов при гидробиологических исследованиях на пресноводных водоемах. Зоопланктон и его продукция. Л.: Изд-во ГосНИОРХ – ЗИН, 1982. 33 с.
12. Салазкин А. А., Огородникова В. А. Методические рекомендации по сбору и обработке материалов при гидробиологических исследованиях на пресноводных водоемах. Задачи и методы изучения использования кормовой базы рыб. Л.: Изд-во ГосНИОРХ – ЗИН, 1984. 19 с.
13. Гламазда В. В. Современное состояние зоопланктона Цимлянского водохранилища и его продукция // Сб. науч. тр. ГосНИОРХ. 1982. Вып. 184. С. 30–34.
14. Мирошниченко М. П., Лапицкий И. И., Калинина С. Г. Потенциальная рыбопродуктивность Цимлянского водохранилища и пути ее реализации // Сб. науч. тр. ГосНИОРХ. 1986. Вып. 242. С. 29–41.
15. Кутикова Л. А. Коловратки фауны СССР (Rotatoria). Подкласс Eurotatoria (отряды Ploimida, Monimotrochida, Paedotrochida). Л.: Наука, 1970. 745 с.
16. Лазарева В. И., Сабитова Р. З. Зоопланктон Цимлянского водохранилища и канал Волга – Дон // Зоолог. журн. 2021. № 4. С. 1473–1486. DOI:https://doi.org/10.31857/S0044513421040115.
17. Лазарева В. И., Болотов С. Э. Анализ сосуществования недавнего вселенца Diaphanosoma orghidani Negrea с аборигенным видом D. brachyurum (Lievin) (Crustacea, Cladocera) в Рыбинском водохранилище // Рос. журн. биолог. инвазий. 2013. Т. 6. № 2. С. 18–34.
18. Лазарева В. И. Расселение чужеродных понтокаспийских видов зоопланктона в водохранилищах Волги и Камы // Рос. журн. биолог. инвазий. 2019. Т. 12. № 3. С. 29–52.
19. Жихарев В. С., Гаврилко Д. Е., Шурганова Г. В. Находка тропического вида Thermocyclops taihokuensis Harada, 1931 (Copepoda: Cyclopoida) в европейской части России // Поволж. эколог. журн. 2019. № 2. С. 264–270. DOI:https://doi.org/10.35885/1684-7318-2019-2-264-270.
20. Alekseev V. Confusing Invader: Acanthocyclops americanus (Copepoda: Cyclopoida) and Its Biological, Anthropogenic and Climate-Dependent Mechanisms of Rapid Distribution in Eurasia // Water. 2021. V. 13. N. 10. P. 1423. DOI:https://doi.org/10.3390/w13101423.
21. Connolly J., Watkins J., Hinchey Malloy E., Rud-stam L., Reid J. New cyclopoid copepod (Thermocyclops crassus) reported in the Laurentian Great Lakes // Journal of Great Lakes Research. 2017. V. 43. P. 198–208. DOI:https://doi.org/10.1016/j.jglr.2017.03.020.
22. Пидгайко М. Л., Александров Б. М., Иоффе Ц. И., Максимова Л. П., Петров В. В., Савотеева Е. Б., Салазкин А. А. Краткая биолого-продукционная характеристика водоемов Северо-Запада СССР // Из. ГосНИОРХ. 1968. Т. 67. С. 205–228.
23. Алекин О. А. Основы гидрохимии / отв. ред. С. В. Бруевич. Л.: Гидрометеоиздат, 1970. 443 с.
24. Smith V. H., Tilman G. D., Nekola J. C. Eutrophication: Impacts of excess nutrient inputs on freshwater, marine, and terrestrial ecosystems // Environmental Pollution. 1999. V. 100. P. 179–196.
25. Шашуловская Е. А., Мосияш С. А., Далечина И. Н. Многолетние изменения основных показателей трофического состояния крупного равнинного водохранилища под влиянием климатической трансформации и сукцессионных процессов // Биология внутренних вод. 2021. № 6. С. 547. DOI:https://doi.org/10.31857/S0320965221060164.
26. Двинских С. А. Факторы формирования и эле-менты химического состава поверхностных вод: учеб.- метод. пособие. Пермь: Изд-во Перм. гос. нац. исслед. ун-та, 2020. 77 с.
27. Барабашин Т. О., Кораблина И. В., Павленко Л. Ф., Скрыпник Г. В., Короткова Л. И. Методическое обеспечение мониторинга загрязнения водных объектов Азово-Черноморского бассейна // Водные биоресурсы и среда обитания. 2018. Т. 1. № 3-4. С. 9–27.
28. Ermakova Y. S., Pavlenko L. F., Barabashin T. O., Borovkov A. B., Novikova T. M. Composition of Hydrocarbons in Lipid Fractions of Mass Species in the Phytoplankton of the Azov and Black Seas // Oceanology. 2020. V. 60. № 4. P. 556–563.
29. Калинина С. Г., Кравцова Г. В., Мышьякова Н. В. Современное состояние фитопланктона водораздельных водохранилищ Волго-Донского судоходного канала // Состояние, охрана, воспроизводство и устойчивое использование биоресурсов внутренних водоемов: 55-лет ВО ГосНИОРХ. Волгоград, 2007. С. 130–136.
30. Михеева Т. М. Сукцессия видов в фитопланктоне: определяющие факторы. Минск: Изд-во БГУ им. В. И. Ленина, 1983. 72 с.







