Russian Federation
The game-theoretic problem of analyzing volumetric competition in an oligopoly is considered for the case of demand and cost functions of a general type. The cyberphysical system is investigated on the basis of presumptive variations, i.e. the assumptions of the players about the impact of their actions on the actions of the counterparty. The hierarchy of players' assumptions determines their stratification by leadership levels into zero-level leaders (considered as followers) who do not take into account the actions of the environment and are players with zero conjectural variation; leaders of the first level, who believe that the environment includes leaders of the zero level; leaders of an arbitrary level, who consider other players to be leaders of the previous level. The conjectural variation determines the player's level of leadership in the game and characterizes the player's optimal response to the counterparty's strategy. A comparative analysis of the players' assumptions is carried out in cases of linear and power-law functions of customer demand, as well as for various types of cost functions (linear, power-law, quadratic). The main research question is to model a cyber-physical system in the context of the influence of the types of consumer demand functions and player costs on the value of the total conjectural variation in the oligopoly game model. It is established that in the linear-quadratic model, the effect of an increase in player sales on a decrease in the sales volume of the environment is less radical than in the linear model. In the power-law model, there is a greater importance of the modulus of decrease in the sales volume of the environment relative to the linear model. The quadratic-power model is similar in characteristics to the negative-scale power model.
oligopoly, conjectural variation, demand function, cost function, linear function, power function, quadra- tic function
Введение
Игровая модель олигополии относится к агрегативным играм [1]. Для агрегативных игр характерно то, что результат игры для игрока является функцией суммарных действий других игроков,
т. е. игрового окружения, поэтому игрок формулирует предположения о стратегиях окружения, которые классики определили термином «предположительные вариации» [2, 3]. Игра с учетом таких предположений позднее была определена как рефлексивная игра [4]. Такая игра интерпретируется как киберфизическая система, поскольку реализует взаимодействие между мыслительным процессом менеджмента фирм и техническим процессом вариации объемов производства и продажи продукции или услуг. Например, в телекоммуникационной сфере решение менеджмента о росте или сокращении объема услуг реализуется через изменение мощностей радиолокационных станций. Процесс рефлексии выражает рассуждения игроков относительно наилучшего ответа окружения на вариации объемов производства и продажи. Формальное определение предположительной вариации следующее: прирост или сокращение объема продаж фирм из окружения, которые ожидает игрок (т. е. анализируемая фирма) в результате единичного увеличения своего объема продаж. Исследователи базируются на этих вариациях при анализе лидерства по Штакельбергу в рамках двух направлений: во-первых, анализируются варианты игры с различным количеством игроков, задействованных в процессе рефлексии, что ведетк расширению множества лидеров по Штакельбергу (Л. Жульен [5]), во-вторых, изучается углубление рефлексии, обусловливающее возникновение лидеров более высоких уровней, т. е. формирование многоуровневого лидерства (М. И. Гераськин [6]). В последнем случае иерархия предположений игроков обусловливает их стратификацию по уровням лидерства на лидеров нулевого уровня (рассматриваемых как последователей), которые не принимают во внимание действия окружения и являются игроками с нулевой предположительной вариацией. Далее могут возникать лидеры первого уровня, которые полагают, что в окружение входят лидеры нулевого уровня. В общем случае появляются лидеры r-го уровня, которые считают других игроков лидерами (r – 1)-го уровня. Эта иерархия определяет ранг рефлексии игрока r как номер в описанной последовательности ментальных типов, что позволило вывести формулу суммы предположительных вариаций лидера для произвольного ранга в случае выпукло-вогнутых функций издержек. Формула по существу зависит от параметров обратной функции спроса и функций издержек игроков, что позволяет проанализировать влияние различных видов этих функций на характер предположений игроков.
Предположительная вариация характеризует оптимальную реакцию игрока на стратегию контрагента. Положительная вариация, т. е. предполагаемый игроком прирост действия контрагента в результате увеличения действия игрока, возникает редко. Такая реакция игрока окружения не оптимальна, поскольку ведет к росту суммарного объема продаж и затем к снижению равновесной цены, что, в свою очередь, обусловливает уменьшение выигрышей всех игроков. Поэтому положительная вариация относится только к игрокам, имеющим положительную отдачу от масштаба. Для таких игроков снижение равновесной цены не ведет к уменьшению выигрыша. В наиболее распространенных случаях постоянной или отрицательной отдачи от расширения масштаба предположительная вариация отрицательна. В этом случае игрок предполагает, что окружение намерено сокращать объем продаж с целью не допускать падения равновесной цены. В игре с числом игроков более двух при определении равновесия играет роль сумма предположительных вариаций, т. е. обобщенный параметр реагирования всех агентов. Чем больше число игроков, тем меньшее значение для суммы вариаций имеют редкие случаи положительной отдачи от масштаба, поэтому сумма предположительных вариаций обычно отрицательная. Спрос потребителей, как правило, моделируется либо посредством линейной функции [5–13] с переменной эластичностью, применяемой для отражения плавного снижения цены, либо с помощью степенной функции [5, 14–17] с постоянной эластичностью, которая выражает резкое снижение цены с увеличением агрегата предложения. Издержки игроков также могут расти прямо пропорционально действию согласно линейной функции [8, 10–12, 14, 16], но могут демонстрировать резкий рост с увеличением их действий, для описания которого применяют степенную [6, 15] или квадратичную [5, 7, 9, 13, 17] функции, и даже показывать замедленный рост, также моделируемый степенной функцией с эластичностью меньше единицы.
Обобщая, статья посвящена моделированию киберфизической системы в контексте влияния типов функций спроса потребителей и затрат игроков на величину суммарной предположительной вариации игрока в игровой модели олигополии.
Описание игровой модели олигополии
Модель оптимизации стратегии игрока базируется на максимизации функции полезности Πi:

где Q – суммарный объем продаж; Qi – объем продаж i-го игрока; P(Q) – обратная функция спроса, т. е. зависимость равновесной цены Р при условии
– функция издержек i-го игрока при условии
N – множество игроков; n – число игроков.
Равновесие Нэша в игре
при условии (2), полагая заданным вектор предположительных вариаций, вычисляется из следующей системы уравнений:
(3)
где
– предположительная вариация i-го игрока, т. е. ожидаемое варьирование объема продаж j-го игрока вследствие единичного прироста объема i-го игрока;
– равновесный объем продаж.
Система (3) при функции полезности (1) трансформируется следующим образом:
(4)
где
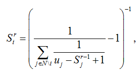
– сумма предположительных вариаций i-го игрока на r-м ранге рефлексии.
Для суммы предположительных вариаций получена следующая формула [6]:
(5)
с учетом
(6)
где uj (ui) – параметр нелинейности i-го (или j-го) игрока. Модель (5) разработана для не зависящих от объемов продаж игроков предположительных вариаций, т. е. при
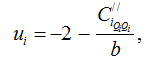
В [6] параметр ui вычислен по формуле
(7)
адекватной в случае линейной функции спроса (
). Параметр ui будем называть коэффициентом нелинейности, т. к. в отличие от линейной формы (4) при ui = –2 по (7) в случае нелинейных функций спроса и издержек этот параметр принимает другие значения.
Система (4) показывает, что предположительные вариации играют ведущую роль для нахождения равновесия в игре, а для расчета предположительных вариаций следует базироваться на функциях P(Q) и Ci(Qi).
Анализ моделей спроса потребителей и затрат игроков
В последующих преобразованиях опустим индекс игрока i и для объема продаж игрока используем символ
.
Рассмотрим следующие типы обратной функции спроса потребителей:
– функция линейного типа [5, 6, 9–15]
(8)
– функция степенного типа [5, 16, 17]
(9)
где a, b, A, α – постоянные коэффициенты; Pk(Q), k = 1,2 – функция спроса потребителей k-го типа. Многообразие функций затрат игроков представлено следующими типами:
– функция линейного типа [10, 12–14, 16, 17]
(10)
– функция степенного типа [6, 17]
(11)
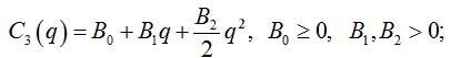
– функция квадратичного типа [5, 7–9, 11, 15]
(12)
где B0, B1, B2, β – константы; Cm(q), m = 1, 2, 3 – функция издержек m-го типа.
В дальнейшем обозначим игровые случаи индексом km, например, случай 13 означает k = 1, m = 3.
Для расчета (6) выведем формулы
в случаях (8)–(12):

В результате параметры ukm, k = 1, 2, m = 1, 2, 3 для функций (8)–(12) имеют вид

Моделирование вариантов предположительных вариаций
Очевидно, что референтным случаем в наборе (13)–(15) является игра с линейными функциями спроса и издержек, для которой u11 = –2. Согласно (5) при
получим

В дальнейшем будем исследовать влияние функций спроса и издержек на предположительные вариации при r = 1 (т. е. примем
), поэтому в обозначении суммы предположительных вариаций опустим этот индекс, а также индекс игрока, т. е. обозначим
Будем рассматривать число игроков n = 3, при котором S11 = –0,67.
В случае 13 очевидно
, S13 > –0,67; поэтому рассмотрим нетривиальные случаи.
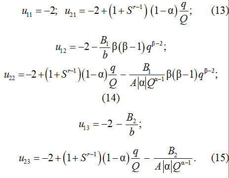
Во-первых, оценим влияние нелинейной функции спроса (9) при линейных издержках (10) на S, т. е. проанализируем отличие параметра u21 по формуле (13) от –2 и S12 от –0,67 при различных значениях эластичности спроса
и соотношения q / Q; положим Q = 100 и рассмотрим возрастание доли q / Q от 0 до 1 (рис. 1, 2).

Рис. 1. Коэффициент нелинейности при степенной функции спроса и линейных издержках
Рис. 2. Сумма вариаций при функции спросастепенного типа и функции затрат линейного типа
Fig. 1. The coefficient of nonlinearity for the power function of demand and linear costs Fig. 2. The sum of variations for the power-type demand function and the linear type cost function
Выводы: 1) коэффициент нелинейности u21 > –2 и увеличивается с ростом
и q / Q; 2) сумма вариаций S21 < –0,67 и уменьшается с ростом
и q / Q, выходя за пределы диапазона (–1, 0].
Следовательно, чем больше эластичность степенной функции спроса и доли игрока в агрегате предложения, тем больше абсолютная величина ожидаемого игроком сокращения объема продаж контрагентов вследствие увеличения объема продаж игрока.
Во-вторых, рассмотрим случай 12 как сочетание функции спроса по линейной модели (8) и функции затрат степенного типа (11). Анализ отклонений параметра u12, вычисленного по (14), и S12 от значений при линейной модели (–2 и –0,67 соответственно) проведен для диапазона коэффициента функции издержек β (0,2) и соотношения b / B1, которое будем считать возрастающим от 0 до 1 (рис. 3, 4).
|
Рис. 3. Коэффициент нелинейности
Fig. 3. Coefficient of non-linearity |
Рис. 4. Сумма вариаций при линейной функции спроса
Fig. 4. The sum of variations |
Выводы:
1) коэффициент нелинейности 
, причем этот коэффициент с ростом β уменьшается, а с ростом q и b / B1 уменьшается при β < 1 и увеличивается при β > 1. ;
2) сумма вариаций
, кроме того, эта сумма с ростом β увеличивается, а с ростом q и b / B1 увеличивается при β < 1 и уменьшается при β > 1.
Обобщая, при линейном характере спроса и степенных функциях издержек предположение игрока о реагировании окружения существенно зависит от вогнутости или выпуклости этих функций. С ростом показателя степени β, в том числе
с переходом от положительного эффекта масштаба к отрицательному, усиливается асимметрия игроков по издержкам, в связи с чем игровая позиция игрока с большим значением β ухудшается, поэтому при росте β уменьшается модуль S12. Другими словами, игрок с большими издержками имеет потенциально меньшее воздействие на игровое равновесие. Однако с уменьшением коэффициента B1 влияние показателя степени β постепенно нивелируется, и предположительная вариация приближается к уровню, присущему линейным издержкам. При больших значениях B1 и малых значениях q наибольшую роль играет различие вогнутости и выпуклости. В случае положительного эффекта масштаба (т. е. β < 1) увеличение B1 обусловливает рост модуля S12, а в случае отрицательного эффекта масштаба (т. е. β > 1) – к снижению этого показателя. Таким образом, положительный эффект масштаба компенсирует прирост коэффициента B1, а отрицательный – усугубляет.
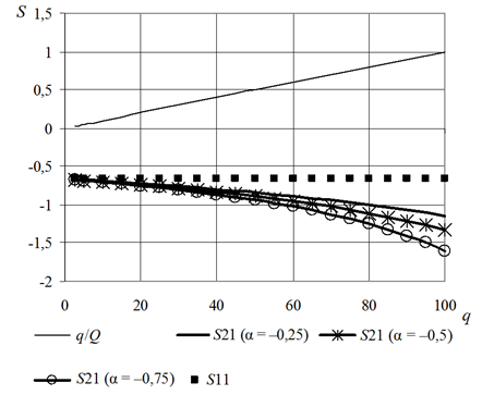
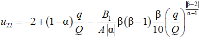
В-третьих, в случае степенной функции спроса (9) проанализируем влияние степенной функции издержек (11) на S, т. е. изучим отличие u22 от –2 и S22 от –0,67 при различных значениях эластичности издержек
, эластичности спроса
, постоянном Q = 100, переменных отношениях q / Q
(рис. 5, 6).
|
а |
б |
Рис. 5. Коэффициент нелинейности при степенных функциях спроса и издержках: β = 0,8 (а); β = 1,2 (б)
Fig. 5. The coefficient of nonlinearity for power functions of demand and costs: β = 0.8 (a); β = 1.2 (б)
|
|
|
а б
Рис. 6. Сумма вариаций при степенных функциях спроса и издержках: β = 0,8 (а); β = 1,2 (б)
Fig. 6. The sum of variations for power functions of demand and costs: β = 0.8 (a); β = 1.2 (б)
С помощью численных экспериментов установлено, что в исследуемых диапазонах параметров можно приближенно заменить
, поэтому формулу (14) представим
в виде
.
Выводы:
1) коэффициент нелинейности
причем этот коэффициент:
а) с ростом q / Q немонотонно изменяется (вначале уменьшается, а затем возрастает) при β < 1 и монотонно увеличивается при β > 1;
б) с ростом
увеличивается при β < 1 и уменьшается при β > 1;
в) с ростом B1 / A увеличивается при β < 1 и уменьшается при β < 1;
2) сумма вариаций
, причем:
а) с ростом q / Q изменяется немонотонно (вначале возрастает, а затем уменьшается), имеет разрывы второго рода при β < 1 и монотонно уменьшается при β > 1;
б) с ростом
уменьшается (за исключением интервалов с разрывами) при β < 1 и увеличивается при β > 1;
в) с ростом B1 / A уменьшается (за исключением интервалов с разрывами) при β < 1 и увеличивается при β > 1.
В целом при степенных функциях спроса и затрат предположение игрока о реагировании окружения только в случае отрицательного эффекта масштаба (т. е. β > 1) всегда растет по абсолютной величине с увеличением его рыночной доли и снижается по абсолютной величине с увеличением B1 и эластичности спроса; в случае положительного эффекта масштаба (т. е. β < 1) зависимость предположения игрока о реагировании окружения от рыночной доли немонотонна.
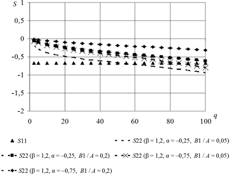
В-четвертых, рассмотрим сочетание функции спроса по степенной модели (9) и функции затрат квадратичного типа (12). Анализ отклонений параметра u23, вычисленного по (15), и S23 от значений при линейной модели (–2 и –0,67 соответственно) проведем при различных значениях эластичности спроса
, постоянном Q = 100, переменных отношениях
(рис. 7, 8).
|
Рис. 7. Коэффициент нелинейности при степенной
Fig. 7. The coefficient of nonlinearity with a power function of demand and quadratic costs |
Рис. 8. Сумма предположительных вариаций функции спроса степенного типа
Fig. 8. The sum of the estimated variations of the demand function of the power type |
Выводы:
1) коэффициент нелинейности
, кроме того, возрастает с ростом параметра q / Q и убывает с ростом коэффициента B2, а от эластичности спроса
может зависеть немонотонно, в частности, при малых значениях B2;
2) сумма вариаций
, причем убывает с ростом параметра q / Q, возрастает с ростом коэффициента B2, а от эластичности спроса
может зависеть немонотонно.
Обобщенно эти рассуждения означают, что в рассматриваемом случае (т. е. степенная функция спроса и квадратичная функция издержек) сумма вариаций игрока отрицательна. Модуль этой суммы увеличивается при росте рыночной доли игрока и снижается при увеличении темпа роста издержек. Кроме того, модуль этой суммы меньше, чем для линейного случая, если рыночная доля игрока мала, а в противном случае – выше, чем в линейном случае.
Заключение
Обобщим результаты, полученные на основе сравнения линейной модели (т. е. линейная функция спроса и линейные функции издержек) и многообразия нелинейных моделей.
Линейно-квадратичная модель (т. е. функция спроса линейного типа и функции издержек квадратичного типа) демонстрирует менее радикальное предположение игрока о снижении объема продаж окружения в результате прироста объема игрока, чем линейная модель. Причиной является повышение уровня издержек при квадратичной функции по сравнению с линейным случаем. Поэтому при сокращении объема продаж на меньшую величину окружение достигает того же снижения издержек, которое в линейном случае требует больших усилий. Случай функции спроса степенного типа и функций издержек линейного типа обеспечивает большее значение модуля уменьшения действия окружения относительно линейной модели, следовательно, окружение стремится к большему снижению агрегированной цены. Вероятно, это связано с более резким ростом цены вследствие уменьшения агрегата действия в случае функции спроса степенного типа по сравнению с линейной моделью. Линейно-степенная модель (т. е. функция спроса линейного типа и функции издержек степенного типа) в зависимости от типа эффекта масштаба показывает различные свойства. При положительном эффекте масштаба (т. е. β < 1) модуль суммы вариаций игрока больше, а при отрицательном эффекте масштаба (т. е. β > 1) меньше, чем в линейном случае. Причина этого различия аналогична вышеотмеченному феномену: при положительном эффекте масштаба (т. е. при вогнутых функциях издержек) издержки окружения меньше, чем в линейном случае, поэтому окружение может позволить себе большее сокращение объема продаж. В случае отрицательного эффекта масштаба ситуация противоположная. Степенная модель (т. е. случай степенных функций спроса и издержек) является наиболее многовариантной среди прочих, т. к. опции эффектов масштаба интерферируют с различными темпами снижения функции спроса при малых и больших значениях рыночной доли игрока. Если эта доля мала, то при положительном эффекте масштаба (т. е. β < 1) игрок может ожидать положительной суммы вариаций, т. е. увеличения объема продаж окружения вследствие роста объема игрока. Если эта доля велика, то игрок ожидает сокращения объема продаж окружения, но в отличие от линейно-степенной модели это сокращение больше, чем в линейном случае. При отрицательном эффекте масштаба (т. е. β > 1) игрок всегда ожидает сокращения объема продаж окружения, и это сокращение меньше, чем в линейном случае, если рыночная доля игрока мала, а в противном случае – наоборот.
Квадратично-степенная модель (т. е. случай степенной функции спроса и квадратичных функций издержек) аналогична по характеристикам степенной модели с отрицательным эффектом масштаба (т. е. β > 1), поскольку квадратичная функция издержек также имеет отрицательный эффект масштаба. Но, кроме того, в этой ситуации играет роль соотношение темпа роста издержек и эластичности спроса. Для высокоэластичного спроса и низких темпов роста издержек тенденция подобна вышеуказанной в степенной модели. Однако для низкоэластичного спроса и высоких темпов роста издержек игрок ожидает от окружения реакции как в линейно-степенной модели с отрицательным эффектом масштаба (т. е. β > 1): сокращение объема продаж окружения меньше по сравнению с линейной моделью.
Полученные результаты с практической точки зрения имеют значение для выбора адекватных моделей функций спроса и издержек при формировании системы уравнений расчета равновесия в игре олигополии. В частности, при анализе структуры телекоммуникационного рынка [15] как киберфизической системы результирующие равновесия существенно зависят от ментальных характеристик менеджмента операторов мобильной связи. Анализ показал, что наиболее простая модель линейных функций спроса и издержек, использованная как референтный случай, не выражает всего многообразия предположений лиц, принимающих решения на рынке олигополии. Нелинейные функции точнее описывают процессы изменения фундаментальных параметров рыночной среды (цены и издержек фирм), вследствие чего оценки ментальных предсказаний фирм-игроков становятся более достоверными. Очевидно, что перспективным направлением наших исследований является систематизация возможных равновесий в модели олигополии конкретного рынка, например телекоммуникационного рынка России, с последующим сопоставлением расчетных равновесий и реальных объемов услуг фирм в ретроспективном периоде. После этого выбор наиболее адекватной модели позволит сделать достоверные предсказания ментальных оценок фирм-игроков, что, в свою очередь, обеспечит возможность достоверного прогнозирования равновесной траектории развития телеком-рынка.
1. Anderson S. P., Erkal N., Piccinin D. Aggregative games and oligopoly theory: short-run and long-run analysis. RAND Journal of Economics, 2020, vol. 51 (2), pp. 470-495.
2. Bowley A. L. The Mathematical Groundwork of Economics. Oxford, Oxford Univers. Press, 1924. 324 p.
3. Stackelberg H. Market Structure and Equilibrium. Springer, 2011. 134 p.
4. Novikov D. A., Chkhartishvili A. G. Reflexion and Control: Mathematical Models. London, CRC Press, 2014. 298 p.
5. Julien L. A. On noncooperative oligopoly equilibrium in the multiple leader-follower game. European Journal of Operational Research, 2017, vol. 256 (2), pp. 650-662.
6. Geraskin M. I. The Properties of Conjectural Variations in the Nonlinear Stackelberg Oligopoly Model. Automation and Remote Control, 2020, vol. 81 (6), pp. 1051-1072.
7. Aizenberg N. I., Zorkal’tsev V. I., Mokryi I. V. Study of Unsteady Oligopoly Markets. Journal of Applied and Industrial Mathematics, 2017, vol. 11, no. 1, pp. 8-16.
8. Algazin G. I., Algazina Y. G. To the Analytical Investigation of the Convergence Conditions of the Processes of Reflexive Collective Behavior in Oligopoly Models. Automation and Remote Control, 2022, vol. 83 (3), pp. 367-388.
9. Fedyanin D. N. Monotonicity of equilibriums in Cournot competition with mixed interactions of agents and epistemic models of uncertain market. Procedia Computer Science, 2021, vol. 186, pp. 411-417.
10. Lo C. F., Yeung C. F. Quantum Stackelberg oligopoly. Quantum Information Processing, 2022, vol. 21 (3), p. 85.
11. Ougolnitsky G., Gorbaneva O. Sustainability of In-tertwined Supply Networks: A Game-Theoretic Approach. Games, 2022, vol. 13 (3), p. 35.
12. Ugol'nickij G. A., Usov A. B. Sravnitel'nyj analiz effektivnosti sposobov organizacii vzaimodejstviya ekonomicheskih agentov v modelyah duopolii Kurno s uchetom ekologicheskih uslovij [The interaction of economic agents in Cournot duopoly models under ecological conditions: a comparison of organizational modes ]. Avtomatika i telemekhanika, 2023, no. 2, pp. 150-168.
13. Filatov A. Iu. Neodnorodnost' povedeniia firm na oligopol'nom rynke: strategicheskie firmy i tsenopoluchateli [Heterogeneity of firms' behavior in the oligopoly market: strategic firms and price recipients]. Izvestiia Irkutskogo gosudarstvennogo universiteta, 2015, vol. 13, pp. 72-83.
14. Cornes R., Fiorini L. C., Maldonado W. L. Expectational stability in aggregative games. Journal of Evolutionary Economics, 2021, vol. 31 (1), pp. 235-249.
15. Geras’kin M. I., Chkhartishvili A. G. Structural modeling of oligopoly market under the nonlinear functions of demand and agents’ costs. Automation and Remote Control, 2017, vol. 78 (2), pp. 332-348.
16. Kanieski da Silva B., Tanger S., Marufuzzaman M., Cubbage F. Perfect assumptions in an imperfect world: Managing timberland in an oligopoly market. Forest Policy and Economics, 2022, vol. 137, p. 102691.
17. Zhou X., Pei Z., Qin B. Assessing Market Competition in the Chinese Banking Industry Based on a Conjectural Variation Model. China and World Economy, 2021, vol. 29 (2), pp. 73-98.











