Russian Federation
Russian Federation
Russian Federation
Boiling processes are widespread in the modern world. In refrigeration equipment, the most commonly used type of boiling is forced convection, in particular, when a two-phase flow occurs inside pipes. A characteristic feature of this type is that the intensity of heat exchange in it depends not only on the heat flow, liquid properties and pressure, but also on the hydrodynamic structure of the flow. The latter in turn depends on the liquid properties, pressure, pipe location (angle of the axis to the horizon), forced circulation rate, steam content in the flow, pipeline diameter, and the presence of intensifiers. One way to increase the intensity of teheat exchange is to include intensifiers in the design, the presence of which can significantly reduce the size of heat exchange equipment, provide greater thermal efficiency and, possibly, reduce operating costs and manufacturing costs. The inclusion of a swirled tape insert in a pipeline is considered, presents a mathematical model of the distribution of forces acting on a unit of liquid moving in a horizontal pipe with a swirled tape insert – an intensifier. The minimum degree of swirling of the tape turbulator along the pipeline length is calculated, the boundaries of the flow regimes (slug, wave, transitional, stratified) of the vapor-liquid mixture inside the pipeline with a swirled tape insert are determined. The results of the minimum degree of swirling of tape turbulators for the values of mass velocities ω = 25, 50, 100 kg/(m2·s) are presented. An analysis of the correspondence of graphical dependencies to the physical representation of the process of movement of the vapor-liquid mixture in a horizontal pipeline with a tape turbulator is carried out.
two-phase flows, swirling flow motion, turbulator, intensifier, heat exchanger
Введение
Теплообменные аппараты в современном мире широко используются в различных отраслях промышленности. Основополагающими факторами при их конструировании являются массогабаритные и энергетические показатели. Так, суммарная масса испарителя и конденсатора составляет от 50 до 70 % общей массы парокомпрессионных холодильных машин. Необратимые потери, обусловленные передачей теплоты при конечных разностях температур в аппаратах, составляют от 30 до 50 % общих энергетических затрат холодильной машины. С учетом изложенного уменьшение массы и увеличение энергоэффективности теплообменных аппаратов остается актуальной проблемой, наиболее перспективным путем решения которой является интенсификация теплообмена.
Интенсивность процесса теплоотдачи при движении парожидкостной смеси в горизонтальной трубе зависит от геометрических характеристик трубы, тепловой нагрузки, давления, скорости движения паровой и жидкостной фаз, свойств холодильного агента, режима течения жидкости, который в свою очередь задает величину смоченной поверхности. Для испарителей холодильных машин наиболее характерными являются снарядный, расслоенный и волновой режимы течения [1]. При таких режимах течения теплота отводится слабо ввиду того, что площадь омываемой поверхности невелика, в частности при расслоенном режиме течения жидкость течет по дну горизонтальной трубы, а при волновом – жидкостью периодически омывается большая часть поверхности.
В настоящее время существуют различные методы интенсификации теплообмена, большинство которых основано на увеличении поверхности теплообмена (использование ребер различной формы), воздействию на парожидкостную смесь: акустическому, механическому (изменению положения поверхности в пространстве, вибрации поверхности), гидродинамическому (включению в трубопровод вставок различного типа), а также с помощью магнитного или электрического поля. Сравнение вышеуказанных методов интенсификации свидетельствует о том, что в холодильной и криогенной технике наиболее целесообразно использовать ленточные турбулизаторы, принцип действия которых основан на увеличении смоченной хладоном поверхности теплообмена [2]. При этом определение геометрических характеристик закрученных ленточных вставок соответствующим конкретным условиям остается нерешенной задачей.
Одним из методов решения данной задачи является формирование математической модели, включающей в себя силы, действующие на единицу жидкости, в горизонтальной трубе с ленточным турбулизатором.
Модель движения парожидкостной смеси с ленточной вставкой
Рассмотрим модель, представленную на рис. 1. Трубопровод разделен ленточным турбулизатором, между ним и стенкой трубопровода протекает жидкость. На единицу жидкости постоянно действуют силы поверхностного натяжения, трения, инерции и тяжести, также следует учесть, что по пути движения жидкость с паром претерпевают фазовые превращения.
В целях формирования математической модели вышеуказанного процесса необходимо ввести следующие допущения:
– температура на всем рассмотренном участке постоянна и равна температуре насыщения;
– сила Кориолиса и радиальная составляющая скорости отсутствует ввиду того, что единица жидкости движется по постоянной траектории;
– между стенками и парожидкостной смесью теплообмен отсутствует.
Рис. 1. Схема движения двухфазного закрученного потока:
Fин – сила инерции, действующая на пленку жидкости; Fтяж – сила тяжести; Fтр – сила трения
Fig. 1. Diagram of the motion of a two-phase swirling flow: Fin is the force of inertia acting on the liquid film;
Fgr is gravity; Ffr is friction
Ранее аналогичная модель была рассмотрена при определении доли смоченного периметра при движении парожидкостной смеси с интенсификатором в работе [3].
Таким образом, задача сводится к установлению соотношения сил, действующих на единицу жидкости, при котором жидкость под силой инерции, преодолевая силу тяжести, будет находиться в крайней верхней точке трубопровода.
Меру взаимодействия силы тяжести и силы инерции примем из работы [4]:
(1)
где ρi – плотность i-й фазы; – скорость движения i-й фазы; g – ускорение свободного падения, м/с2; l – линейный размер пленки жидкости, м.
В качестве линейного размера пленки жидкости в соответствии с работой [5] можно принять постоянную Лапласа:
(2)
где s – коэффициент поверхностного натяжения, Н/м; ρ' и ρ" – плотность жидкости и плотность пара соответственно, кг/м3.
Подставляя значение линейного размера (2) в выражение (1), можно получить критерий вида:
Данный критерий устойчивости газожидкостных систем был введен С. С. Кутателадзе, он характеризует условие начала деформации поверхности раздела фаз и, соответственно, структурных изменений в существующей газожидкостной системе под воздействием поверхностного напора, силы тяжести и поверхностного натяжения.
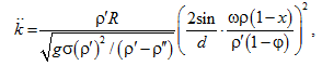
Модифицируя безразмерный комплекс , который представляет собой соотношение между прижимающей инерционной массовой силой Fин и силой тяжести Fтяж, с учетом криволинейного характера движения можем получить уравнение вида:
где R – радиус трубопровода, м; φ – истинное объемное паросодержание.
Условием существования сплошной жидкостной пленки, которая обеспечивает полное смачивание, является выполнение неравенства
Смачиваемость внутренней стенки трубы жидкостью в рассматриваемом сечении будет определяться и углом закрутки ленточной вставки f. При этом наличие сплошной жидкостной пленки будет обеспечено при условии:
Отсюда следует, что для обеспечения условий полного смачивания внутренней поверхности трубы ленточный турбулизатор должен иметь степень закручивания:
(3)
Следует отметить, что аналогичная формула получена в работе [1], в дальнейшем указанная зависимость использовалась авторами для определения смоченного периметра и расчета коэффициента теплоотдачи при кипении холодильного агента. При этом расчет изменения минимальной степени закручивания по длине трубопровода не проводился, сопоставление полученных данных с представлением о движении двухфазного потока в трубопроводе с ленточной вставкой не осуществлялось.
Расчет минимальной степени закручивания ленточного турбулизатора
В целях проверки полученного выражения – сравнение его показателей с имеющимися представлениями в отношении картины течения двухфазного потока внутри горизонтальной трубы – осуществлено математическое моделирование процесса по полученной формуле (3) для следующих условий: температура t = –15 °C; холодильный агент R407C; длина трубопровода l = 0, 0,1–3,8 м; диаметр трубопровода d = 0,017 м; удельный тепловой поток q = 6 000, 12 500, 22 500 Вт/м2; массовая скорость wr = 25, 75, 100 кг/(м2·с).
Тепловая нагрузка подобрана таким образом, чтобы для соответствующей массовой скорости массовое паросодержание холодильного агента менялось в диапазоне от 0 до 1 (обеспечивалось полное выкипание).
В целях установления целесообразности применения турбулизаторов, а также понимания физических процессов, происходящих в потоке парожидкостной смеси, получены графические зависимости степени закручивания ленточного турбулизатора по длине трубопровода для различных массовых скоростей (рис. 2–4). Кроме этого, для каждой из графических зависимостей определены режимы течения двухфазного потока в соответствии с картой режимов, представленной в работе [3].
Рис. 2. Изменение минимальной степени закручивания ленточного турбулизатора по длине трубопровода
для массовой скорости ωr = 25 кг/(м2·с): 1 – снарядный; 2 – волновой; 3 – расслоенный режим течения
Fig. 2. Change in the minimum degree of twisting of the belt turbulator along the length
of the pipeline for a mass velocity ωρ = 25 kg/(m2·s): 1 – projectile; 2 – wave; 3 – stratified flow mode
Рис. 3. Изменение минимальной степени закручивания ленточного турбулизатора по длине трубопровода
для массовой скорости ωr = 50 кг/(м2·с): 1 – снарядный; 2 – волновой; 3 – расслоенный;
4 – переходный режим течения
Fig. 3. Change in the minimum degree of twisting of the belt turbulator along the length of the pipeline
for a mass velocity of ωρ = 50 kg/(m2·s): 1 – projectile; 2 – wave; 3 – stratified; 4 – transient flow mode
Рис. 4. Изменение минимальной степени закручивания ленточного турбулизатора по длине трубопровода
для массовой скорости ωr = 100 кг/(м2·с): 1 – снарядный; 2 – волновой; 3 – расслоенный;
4 – переходный режим течения
Fig. 4. Change in the minimum degree of twisting of the belt turbulator along the length of the pipeline
for a mass velocity of ωρ = 100 kg/(m2·s): 1 – projectile; 2 – wave; 3 – stratified; 4 – transient flow mode
Анализ результатов расчета минимальной степени закручивания ленточного турбулизатора
Для понимания результатов проведенного моделирования процесса следует отметить, что большее значение шага ленточной вставки s соответствует меньшей степени закрутки ленточного турбулизатора. Из этого следует, что на единицу длины трубопровода ленточный турбулизатор будет делать меньше оборотов.
Анализируя данные зависимости, можно сделать вывод о том, что для всех принятых значений массовых скоростей график функции s / d = f(l) ведет себя одинаково, с увеличением длины трубопровода (ростом массового паросодержания) степень закрутки сначала незначительно уменьшается, затем возрастает.
Указанная зависимость хорошо соответствует физическому представлению процесса. Так, с увеличением количества выкипевшей жидкости увеличивается скорость паровой фазы, соответственно, растет инерционная составляющая, действующая на единицу жидкости. Ввиду того, что жидкой фазы становится меньше, обеспечить условия полного омывания поверхности при движении в горизонтальном трубопроводе с ленточной вставкой значительно сложнее. Исходя из этого, можно сделать вывод о том, что для различных участков трубопровода необходима различная степень закрутки турбулизатора. В начале движения парожидкостной смеси в основном наблюдается картина снарядного либо волнового режимов течения, при которых большая часть поверхности трубопровода омывается холодильным агентом, в этом случае теплообмен происходит между жидким хладоном и стенкой трубы. Соответственно, наличия вставки, меняющей гидродинамику потока и увеличивающей площадь поверхности, омываемой холодильным агентом, не требуется.
При сопоставлении зависимостей, характеризующих изменение минимальной степени закручивания ленточного турбулизатора по длине трубопровода для различных массовых скоростей получены следующие результаты (рис. 5).
Рис. 5. Изменение минимальной степени закручивания ленточного турбулизатора по длине трубопровода
для значений массовых скоростей ωr = 25, 50, 100 кг/(м2·с)
Fig. 5. Change in the minimum degree of twisting of the belt turbulator along the length of the pipeline
for the values of mass velocities ωρ = 25, 50, 100 kg/(m2·s)
Таким образом, с увеличением значений массовой скорости степень закрутки турбулизатора уменьшается, что соответствует представлению физической картины процесса, т. к. повышается инерционная составляющая сил, действующих на единицу жидкости.
Заключение
Проведенный расчет геометрических характеристик ленточного турбулизатора для обеспечения условий полного смачивания внутренней поверхности при движении парожидкостной смеси в горизонтальной трубе демонстрирует зависимость степени закручивания турбулизатора, которая изменяется не только по длине трубопровода, но и соответственно массовым скоростям. Данные расчетные зависимости возможно использовать на практике в целях интенсификации теплообмена при проектировании холодильных машин с внутритрубным кипением.
1. Bukin V. G., Shurshev V. F., Danilova G. N. Eksperimental'noe issledovanie teploobmena pri kipenii smesi R22/R142b v isparitele kholodil'noi mashiny [Experimental study of heat transfer during boiling of the R22/R142b mixture in the evaporator of a refrigerating machine]. Kholodil'naia tekhnika, 1996, no. 3, pp. 10-11.
2. Bukin V. G., Kuz'min A. Iu., Ezhov A. V. Issledovanie intensivnosti teplootdachi i mekhanizma protsessa kipeniia bi-narnykh neazeatropnykh smesei [Investigation of the intensity of heat transfer and the mechanism of the boiling process of binary non-azeotropic mixtures]. Sovershenstvovanie energeticheskikh sistem i kompleksov: sbornik nauchnykh trudov. Saratov, Izd-vo Saratovskogo universiteta, 2000. 89 p.
3. Mineev Iu. V., Bukin V. G., Kuz'min A. Iu. Issledovanie vliianiia turbulizatorov na gidrodinamiku dvukhfaznogo potoka pri ego vynuzhdennom dvizhenii vnutri gorizontal'nykh trub. XXIV Rossiiskaia shkola po problemam nauki i tekhnologii, posviashchennaia 80-letiiu so dnia rozhdeniia akademika V. P. Makeeva [Investigation of the effect of turbulators on the hydrodynamics of a two-phase flow during its forced movement inside horizontal pipes. XXIV Russian School of Science and Technology, dedicated to the 80th anniversary of the birth of Academician V. P. Makeev]. Sbornik tezisov konferentsii (Miass, 22–24 iiulia 2004 g.). Ekaterinburg, Izd-vo UrO RAN, 2004. 165 p.
4. Kutateladze S. S., Styrikovich M. A. Gidrodinamika gazozhidkostnykh sistem [Hydrodynamics of gas-liquid systems]. Moscow, Energiia Publ., 1976. 296 p.
5. Bukin V. G., Kuz'min A. Iu., Mineev Iu. V. Eksperimental'noe issledovanie effektivnosti primeneniia lentochnykh turbulizatorov pri kipenii al'ternativnykh kholodil'nykh agentov v gorizontal'nykh trubakh [An experimental study of the ef-fectiveness of using belt turbulators during boiling of alternative refrigerating agents in horizontal pipes]. Vestnik Astra-khanskogo gosudarstvennogo tekhnicheskogo universiteta, 2006, no. 2 (31), pp. 176-182.



