Russian Federation
Russian Federation
UDC 621.039
When maneuvering a nuclear power plant of nuclear icebreakers in the Arctic ice, a functional separation of the power produced by the reactor unit with the power of the electric propulsion system is implemented, which is associated with the formation of an operational reserve of power for maneuvering. Due to the lack of clear regulation of the optimal operational reserve of maneuvering power, the choice of its value is random, which depends on the intuitive opinion of the skipper and the experience of the skipper. Overestimating the operational capacity for maneuvering increases the intensity of nuclear fuel burnout on this particular segment of the nuclear icebreaker's journey. From the point of view of the atomic mechanical service of a nuclear icebreaker, the reactor power requested by the skipper should be minimized, however, this contradicts the requirement of the skippers, who require an increased operational reserve of power for maneuver safety. To smooth out this contradiction, it is proposed to use sliding steam pressure in the main steam pipeline for short-term maneuvers of nuclear icebreakers. It is noted that the sliding steam pressure in the steam pipeline is already used at thermal power plants, thermal power plants and nuclear power plants, while various tasks are being solved, including saving fuel, increasing equipment reliability, etc. Nuclear icebreakers solve a specific task to reduce the burnout of nuclear fuel during maneuvering by minimizing the operational reserve of maneuvering power, which determines the number of removable cores in the reactor, which is the most expensive part for a nuclear icebreaker to replace. The methodological aspects of the application of sliding steam pressure in the main steam pipeline are considered and a method for estimating the effects obtained for a short-term increase in the power of the rowing electric installation is developed. The calculations were performed for the nuclear icebreaker project 10521. It is indicated that the proposed estimation methodology can be used for any other nuclear-powered vessel projects.
safe management, power matching, reactor plant, power limitation, installed capacity, operational reserve, control valve, etching valve, feed valve, sliding pressure, main steam line, minimum pressure, pressure drop
Введение
В тяжелых льдах Арктики на атомных ледоколах используется система раздельного управления реакторной установки (РУ) и паротурбинной установки (ПТУ), а следовательно, и гребной электрической установки (ГЭУ). Данный способ управления рассматривается как единственно возможный в условиях Арктики. Обычно на определенном интервале времени движения ледокола вводится ограничение мощности (ОМ) ГЭУ, которое не должно превышаться судоводителем [1]. Возникающее при этом разбалансирование мощностей между РУ и ГЭУ компенсируется сбросом «избыточного» пара, генерируемого РУ, через клапан травления (КТ) и дроссельно-увлажнительное устройство (ДУУ) в главный конденсатор ПТУ.
Функциональная связь между установленным ОМ ГЭУ и давлением в главном паропроводе (ГП), предусмотренная проектом, не позволяет судоводителю увеличивать мощность ГЭУ больше ОМ. Если данную функциональную связь временно разорвать, то при завышении мощности ГЭУ, установленного ОМ, давление в ГП снизится меньше минимально поддерживаемого системой автоматики значения и настолько больше, насколько больше составляет рассогласование между задаваемой в данный момент мощностью ГЭУ и ОМ ГЭУ. Таким образом, фактически реализуется работа за пределами ОМ ГЭУ со скользящим давлением пара (СДП) в ГП [2].
Впервые в мировой практике технология СДП была применена на Кольской АЭС для продления кампании активной зоны на энергоблоке ВВЭР-440. Работы проводились под руководством основоположника данной технологии, профессора, доктора технических наук В. А. Иванова. Значимость достигнутых результатов была высоко оценена, и большая группа персонала Кольской АЭС отмечена высокими государственными наградами СССР [3]. Известны и другие случаи использования технологии СДП в стационарной энергетике [4–7].
При эксплуатации атомных ледоколов использование технологии СДП позволит увеличить коэффициент использования ядерного топлива для данного ледокола и, соответственно, длительность эксплуатации активных зон [8]. Эффект достигается за счет снижения оперативного запаса мощности на маневрирование ГЭУ и соответствующей установленной избыточной мощности РУ и прохождения кратковременных пиковых значений мощности ГЭУ за пределами ОМ.
Технологию СДП следует рассматривать в широком смысле как работу ПТУ при вынужденном снижении давления пара в ГП, ниже поддерживаемого на статических режимах. При этом можно работать с минимальным дросселированием пара в регулирующих клапанах (РК) на переменных режимах, «дожигать» ядерное топливо за счет постепенного снижения средней температуры теплоносителя и давления пара в ГП (обеспечивается приемлемая влажность пара на последних ступенях главного турбоагрегата) [9].
При движении атомного ледокола во льдах Арктики оперативный запас мощности
на маневрировании ГЭУ на j-м интервале времени Δτj и неизменном положении питательного клапана (ПК), задающего установленную мощность РУ, может иметь следующие значения:
(1)
(2)
(3)
(4)
где
– мощность реактора, установленная инженером-оператором на j-м интервале времени Δτj; NГЭУij – мощность ГЭУ, задаваемая судоводителем в i-й текущий момент на j-м интервале времени; ͞ηЯЭУj – средний КПД ядерной энергетической установки (ЯЭУ) на j-м интервале времени.
В зависимости от принятых условий (1), (2) давление в ГП будет изменяться в пределах нормально поддерживаемого значения с помощью регуляторов давления. В случае (3) давление в ГП не поддерживается системой автоматического регулирования и реализуется технология СДП в ГП [1].
Методы и материалы исследования
На рис. 1 приведена графоаналитическая модель изменений давлений на характерных участках питательной магистрали при различных положениях КТ, ПК и РК, т. е. мощности главной турбины (ГТ) или главного турбогенератора. Питательная вода подается питательным насосом (ПН) в парогенераторы. При этом основные падения давления происходят на дроссельном клапане (ДК) и ПК. При варьировании расходом питательной воды перепад давления на ПК обеспечивается системой автоматического регулирования и поддерживается постоянным при помощи регулятора перепада давления астатического (РПД-А), а формируемый наклон статической характеристики турбопитательной установки обеспечивается за счет изменения перепада давления на ДК при помощи регулятора перепада давления статического (РПД-С) при варьировании расходом питательной воды. Для этого при каждом новом положении ПК по сигналу от РПД-С изменяются суммарный перепад давления на ПК и ДК, подача пара на турбопривод ПН и частота вращения ПН [10]. Одновременно изменяются проходное сечение ПК и расход питательной воды в парогенераторы. В зависимости от подачи питательной воды в парогенераторы суммарный общий перепад давлений на ПК и ДК находится в пределах 0,6–1,3 МПа (проект 10521) и 0,3–1,6 МПа на ПК (проект 22220).
Затем питательная вода поступает непосредственно в парогенераторы, где нагревается до температуры насыщения при давлении в потоке, испаряется на испарительном участке, перегревается на пароперегревательном участке, и пар подается в ГП. Гидравлическое сопротивление парогенераторов со змеевиковой трубной системой змеевикового типа вместе с дроссельными участками составляет до 2,4 МПа (проект 10521), прямотрубных модульных – до 1,6 МПа.
В ГП при помощи статического регулятора давления пара поддерживается давление в заданных пределах, обусловленное статической характеристикой регулятора. При этом наклон статической характеристики (статизм) выбирается из условия устойчивости параллельной работы двух турбогенераторов, включенных в общую паровую магистраль. На ледоколах проектов 10521 давление поддерживается регулятором системы регулирования управления и защиты главного турбогенератора Кировского завода «КЗ» [10]. Исполнительным органом данного регулятора является КТ.
При полном относительном открытии КТ (ḠКТ = 1) и ПК (ḠПК = 1) устанавливается максимальное давление пара в ГП (
МПа) и весь пар поступает на травление в главный конденсатор. При полном относительном закрытии КТ (ḠКТ = 0) весь пар поступает в ГТ и давление в ГП падает до минимального поддерживаемого значения (
МПа). Если часть пара из ГП поступает на ГТ через РК, а другая часть на травление через КТ, то в ГП устанавливается промежуточное давление, МПа:
. При полном открытии ПК максимальное давление питательной воды установится при травлении всего пара через КТ:
– кривая 1; минимальное давление при полном закрытии КТ:
– кривая 2.
На частичных режимах, допустим Ḡпв = 0,5, и полном закрытии КТ в ГП установится давление
МПа. В данных условиях кривая 3 моделирует изменение давления на протяжении всей питательной магистрали. Падение давления на ДК здесь изменяется в соответствии со статической характеристикой регулирования питательной установки при сохранении перепада давления на ПК.
В дальнейшем происходит падение давления пара в быстрозапорном клапане (БЗК) и РК до давления pГТ (давление перед ГТ). Если положение ПК не изменяется и при этом судоводитель совершает маневр за пределами ОМ ГЭУ, то за счет саморегулирования РУ ее мощность увеличивается и возрастает расход питательной воды в парогенераторы. В результате перепад давления на ПК увеличивается, при этом система регулирования турбопитательной установки (РПД-А) автоматически поддерживает постоянный перепад давлений на ПК, смещая рабочую точку на статической характеристике турбопитательного насоса. Это приводит к росту перепада давлений на ДК, частоты вращения ПН и подачи питательной воды в парогенераторы.
Кривая 4 на рис. 1 моделирует изменение давления по питательной магистрали при выполнении маневра за пределами ОМ ГЭУ. При этом реализуется падение давления в ГП ниже минимально поддерживаемой величины. Далее пар поступает через БЗК и РК, который приоткрывается для поддержания частоты вращения ГТ. Дросселирование в РК уменьшается (кривая 4) и давление перед ГТ возрастает до
Примерно пропорционально увеличению давления возрастает расход пара в ГТ и мощность турбины, в результате энергетический баланс устанавливается при новых условиях.
Рис. 1. Графоаналитическая модель изменений давления на характерных участках питательной магистрали
при различных положениях КТ, ПК и относительной мощности ГТ
Fig. 1. Graphoanalytical model of pressure changes in characteristic sections of the feed line at different positions
of the etching valve, the supply valve and the relative power of the main turbine
На рис. 2 приведена графоаналитическая модель изменения гидравлических характеристик оборудования в системе питания парогенераторов при маневрировании за пределами ОМ ГЭУ.
Статическая характеристика турбонасосной установки формируется при совместном действии двух регуляторов перепада давления: статического РПД-С и астатического РПД-А [10]. При перемещении ПК регулятор РПД-А формирует сигнал на поддержание постоянного перепада давлений на ПК за счет смещения нелинейной части перепада давления на ДК. При этом одновременно изменяется частота вращения турбопитательного насоса от ω0 до ω1 и эквидистантно смещаются характеристики ПН и питательной сети в координатной системе p–Gпв.
На рис. 2 также рассмотрен принцип формирования рабочих точек статической характеристики (4). Рабочие точки образуются при различных положениях ПК и частотах вращения ПН: номинальной ω0 соответствует расход питательной воды – Gпв0 и произвольной ω1 < ω0 – Gпв1. Третья рабочая точка соответствует маневру за пределом ОМ ГЭУ при неизменном положении ПК. В результате перепад давлений на ПК возрастет и РПД-А сформирует сигнал на изменение перепада давления на ДК при увеличенной частоте вращения ПН ω1* > ω1. Одновременно характеристика ПН сместится в положение 22. Частота вращения ПН и общее гидравлическое сопротивление питательной сети возрастает, а давление в ГП снижается
что приводит к увеличению расхода питательной воды до
(рис. 2).
Рис. 2. Графоаналитическая модель гидравлических связей, образующихся в питательно-паровой системе
РУ при маневрировании: 4 – статическая характеристика турбонасосной установки;
10–12 – гидравлические характеристика питающей сети при номинальном положении ПК,
при частично закрытом ПК до маневра и после маневра соответственно;
20–22 – характеристики ПН при номинальной частоте вращения ω0, перед маневром ω1
и после маневра ω1* соответственно; 31, 32 – гидравлические характеристики парогенераторов
до маневра и после маневра соответственно
Fig. 2. Graphoanalytical model of hydraulic connections formed in the feed-steam system of a reactor installation
during maneuvering: 4 – static characteristics of a turbopump installation; 10–12 – hydraulic characteristics
of the supply network with the nominal position of the feed valve, with the feed valve partially closed before
and after the maneuver, respectively; 20–22 – characteristics feed pump at the rated rotation speed ω0,
before the maneuver ω1 and after the maneuver ω1*, respectively; 31, 32 – hydraulic characteristics
of steam generators before and after the maneuver, respectively
На рис. 3 приведена графоаналитическая модель связей, образующихся между давлением в ГП, мощностью ГТ, расходами пара в ГТ и мощностью реактора при осуществлении маневра за пределами ОМ ГЭУ при разорванной связи по давлению между ГП и ОМ. Допустим, в точке f начинается маневр с увеличением мощности ГТ за счет перераспределения пара между КТ и РК при начальном относительном расходе пара ḠГТн и давлении в ГП соответственно pГП1. После закрытия КТ весь пар поступает в ГТ в количестве ḠГТ1, давление в ГП снижается до
, мощность ГТ возрастает до
, а установленная мощность реактора не изменяется
– точка f * на рис. 3.
В реальной эксплуатации полученного увеличения изменения мощности
может быть недостаточно для реализации закладываемого судоводителем маневра, что вынуждает его предварительно запрашивать заведомо более высокую устанавливаемую (заданную) мощность реактора
, которой соответствует более высокий уровень ОМ ГЭУ –
. Однако, если перейти на технологию СДП в ГП, т. е. на снижение давления в ГП
(точка f **), то можно дополнительно увеличить относительную мощность ГЭУ на величину
, и в целом общее увеличение мощности составит
. Таким образом, продолжается маневр с увеличением мощности ГЭУ при разорванной функциональной связи между ОМ и давлением в ГП. При этом давление ГП падает до
за счет смещения характеристики питательной сети, расход питательной воды возрастает до
, а мощность реактора становится
(см. рис. 2, 3).
Рис. 3. Графоаналитическая модель связей, образующихся между давлением в ГП,
мощностью ГТ, расходами пара в ГТ и мощностью реактора при осуществлении
маневра за пределами ОМ ГЭУ (связь по давлению между ГП и ОМ разорвана):
1–3 – взаимосвязь давления пара перед БЗК с расходом пара в ГТ;
2–3 – взаимосвязь давления пара перед РК с расходом пара в ГТ;
3–4 – взаимосвязь давления перед соплами турбины с расходом пара в ГТ
Fig. 3. Graphoanalytical model of the relationships formed between the pressure in the main steam pipeline,
the power of the main turbine, the steam consumption in the main turbine and the reactor power when
operating beyond the power limit of the propeller electric installation (the pressure relationship between
the main steam pipeline and the power limit is broken):
1–3 – the relationship of steam pressure before a quick-stop valve with steam flow in the main turbine;
2–3 – relationship of steam pressure in front of the regulating valve with steam flow in the main turbine;
3–4 – the relationship of pressure in front of turbine nozzles with steam flow in the main turbine
В этом случае РК дополнительно откроется и пропустит большее количество пара в ГТ –
. Одновременно возрастет мощность турбины до
, уравновешивая заданную судоводителем мощность ГЭУ. Таким образом, на гребных винтах получена дополнительная кратковременная мощность без перемещения ПК инженером-опера-тором.
Данное увеличение мощности может обеспечить выполнение необходимого кратковременного маневра без процедуры запрашивания нового ОМ ГЭУ, что обеспечивает высокую оперативность маневра непосредственно судоводителем. Если в дальнейшем для движения во льдах эта мощность не снижается, то судоводитель заказывает новый уровень ОМ ГЭУ и последующая работа ЯЭУ проходит в штатном режиме, т. е. давление пара в ГП поддерживается в допустимых пределах.
С учетом допустимости применения СДП в ГП для совершения кратковременных маневров появляется возможность снизить предварительно запрашиваемую судоводителем избыточную мощность реактора без повышения опасности судовождения [2, 8].
Результаты исследования
Далее сформулированы основные методические подходы к возможной численной оценке результатов использования технологии СДП в ГП для конкретного проекта атомного ледокола. В качестве примера рассматривается атомный ледокол проекта 10521. Опираясь на предложенный методический подход, подобная задача может быть решена для любого другого проекта атомного ледокола с учетом его особенностей.
Относительный расход питательной воды через парогенераторы до маневра для произвольного 1-го режима с превышением ОМ можно оценить следующим образом [11]:
где kсн – коэффициент, учитывающий количество пара, поступающее на собственные нужды ПТУ (потребители 1-го рода); hПГ1; hпв1 – энтальпии рабочего тела за парогенераторами и питательной воды, поступающей в парогенераторы соответственно;
– внутренний относительный КПД ГТ, электрический (генератора и гребного электродвигателя) и механический КПД соответственно;
– изоэнтропийный перепад энтальпий на ГТ.
Установленную мощность реактора можно представить следующим выражением:
Если судоводителем задана мощность больше ОМ
, то установившуюся при этом мощность реактора (или РУ) можно оценить из выражения
Оценим расход пара на ПТУ после маневра
(увеличения мощности ГЭУ больше величины ОМ). В этом случае мощность ПТУ должна возрасти до величины нагрузки с учетом имеющихся тепловых потерь. При этом расход пара на ПТУ можно оценить из выражения
Абсолютный и относительный расходы питательной воды через парогенераторы после маневра равны:
, или в относительной форме:
Соотношения между расходами питательной воды перед маневром (при закрытом КТ) и после маневра можно выразить следующим образом:
откуда
(5)
или с другой стороны
где m1 – увеличение расхода питательной воды при маневре ГЭУ за пределом ОМ (при закрытом КТ).
Допустим, что перед маневром КТ закрыт, тогда предыдущее выражение можно записать в следующем виде:
(6)
где
– относительное изменение мощности ГЭУ при маневре за пределом ОМ ГЭУ.
Выразим величину a1 через m1:
где
– коэффициент, учитывающий изменение параметров пара и внутреннего изоэнтропийного КПД ГТ при маневре за пределом ОМ ГЭУ. Данный коэффициент, как правило, меньше единицы.
Далее преобразуем выражение
(7)
С учетом (7) выражение (6) можно привести к виду:
При этом относительную мощность реактора, которая установится после маневра за пределами ОМ ГЭУ (при закрытом КТ), с учетом выражений (5) и (7) можно записать в следующем виде:
На рис. 3 показана графоаналитическая модель изменения гидравлических характеристик оборудования в системе питания парогенераторов при маневрировании за пределами ОМ ГЭУ. В соответствии с приведенной моделью давление питательной воды перед парогенератором после маневра определяется из выражения
С учетом гидравлических потерь в органах управления ГТ (БЗК и РК) давление в ГП при открытии РК можно оценить по формуле
Выразим начальную относительную мощность ГТ через относительный расход питательной воды:
тогда
(8)
где
– коэффициент, учитывающий снижение перепада энтальпий при переходе на СДП в ГП;
– доля пара, поступающего на вспомогательные потребители (здесь принята 0,16); 0,45 – суммарное гидравлическое сопротивление органов управления и защиты при номинальном открытии РК [12];
– относительный расход питательной воды через парогенератор перед маневром.
После маневра расход питательной воды возрастает с
до
; следовательно, падение давления на ПК также возрастает с ΔрПК1 до
, а общее изменение перепада составит
. При этом астатический регулятор перепада давления восстанавливает поддерживаемый перепад давления на ПК, а избыточный перепад реализуется на ДК (см. рис. 3). В этом случае предполагается, что частота вращения турбопитательного насоса возрастет для перекачки необходимого количества питательной воды
. Одновременно растет суммарный перепад давлений на ДК и ПК. Если приоткрыть ПК в новое положение, соответствующее ОМ по ГЭУ для
, то давление в ГП увеличится до минимального поддерживаемого.
Учитывая изложенные соображения, давление в ГП после маневра можно оценивать по формуле
(9)
Здесь принято
= 0,3 МПа и
= 2,7 МПа [11].
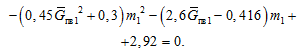
Приравняем выражения (8) и (9) и после преобразований получим квадратное уравнение:
(10)
Квадратное уравнение (10) имеет действительные корни (решение) относительно величины m1 следующего вида:
Относительную мощность ГЭУ для произвольного 1-го режима можно представить в следующем виде:
, откуда
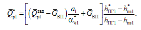
Коэффициент kh1 можно представить в виде [11]:
После преобразований можно получить следующее выражение:
(11)
По формуле (11) можно оценить относительное увеличение расхода питательной воды в парогенераторы при кратковременном маневре за пределом ОМ, если аргументом является относительная мощность ГЭУ до маневра.
Обсуждение
Основным результатом применения СДП в ГП для ЯЭУ атомных ледоколов является снижение выгорания ядерного топлива при учете судоводителем возможности самостоятельного кратковременного маневра за пределами ОМ ГЭУ. Это позволяет увеличить длительность кампании загруженной активной зоны при выполнении ледоколом работ в условиях Арктики. В работе [8] приведены результаты оценки максимально возможного относительного увеличения расхода питательной воды:
(11), относительной мощности ГЭУ:
, наибольшего относительного падения давления в ГП по отношению к минимально поддерживаемому системой автоматики:
при маневре за пределами ОМ ГЭУ в зависимости от относительного расхода питательной воды на РУ перед маневром и до него.
В работе [8] также отмечаются и другие позитивные стороны, которые проявляются при снижении избыточной мощности реактора (оперативного запаса мощности на маневрирование) при эксплуатации атомного ледокола РУ в условиях Арктики:
– повышение теплотехнической надежности активной зоны;
– снижение удельного накопления продуктов деления в ядерном топливе;
– улучшение условий для «дожигания» ядерного топлива;
– уменьшение тепловых выбросов ледокола в воды Арктического бассейна ввиду снижения величины травления пара из ГП в главные конденсаторы, что позитивно отразится на экологии Арктики.
Заключение
Технология СДП в ГП при маневрировании за пределом ОМ ГЭУ позволяет при прочих равных условиях увеличить длительность кампанию активной зоны за счет снижения влияния человеческого фактора в выборе режима эксплуатации ЯЭУ атомного ледокола в условиях неопределенности внешних препятствий. В работе [8] доказано, что при сочетании СДП в ГП и наличии статистической базы фиксированных регламентов проводки можно получить увеличение продолжительности использования активной зоны до 35 %. Это дает существенную экономию ядерного топлива и значительно повышает экономические показатели атомных ледоколов в части оптимального использования ядерного топлива при выполнении проводок судов в Арктике. Следует отметить, что выполненные расчеты требует уточнения на действующих атомных ледоколах или подтверждения с использованием математических моделей ЯЭУ, заложенных в полномасштабные тренажеры соответствующих проектов атомных ледоколов.
1. Korolyov V. I. Osobennosti manevrennyh rezhimov ekspluatacii reaktornyh ustanovok atomnyh ledokolov pri rabote v usloviyah Arktiki [Features of maneuverable operating modes of nuclear icebreaker reactor installations when operating in Arctic conditions]. Vestnik Gosudarstvennogo universiteta morskogo i rechnogo flota imeni admirala S. O. Makarova, 2023, vol. 15, no. 1, pp. 109-125.
2. Korolyov V. I., Lisina A. S. Primenenie skol'zyashchego davleniya para v glavnom paroprovode atomnogo ledo-kola dlya umen'sheniya vygoraniya yadernogo topliva. Morskoe obrazovanie: tradicii, realii i perspektivy [The use of sliding steam pressure in the main steam line of a nuclear icebreaker to reduce nuclear fuel burnout. Marine education: traditions, realities and prospects]. Materialy nauchno-prakticheskoj konferencii (Sankt-Peterburg, 31 marta 2015 g.). Saint Petersburg, Izd-vo GUMRF imeni admirala S. O. Makarova, 2015. Vol. 2. Pp. 103-109.
3. Ivanov V. A., Ignatenko E. I., Borovkov V. M., Kucherskij Yu. A., Pytkin Yu. N. Eksperimental'noe issledovanie raboty energobloka VVER-440 v konce rabochej kampanii pri skol'zyashchem nachal'nom davlenii para [Experimental study of the operation of the VVER-440 power unit at the end of the working campaign at a sliding initial steam pressure]. Energomashi-nostroenie, 1978, no. 4, pp. 23-25.
4. Issledovanie vozmozhnosti primeneniya programmy upravleniya moshchnost'yu metodom skol'zyashchego davleniya para dlya povysheniya tekhniko-ekonomicheskih pokazatelej i uluchsheniya manevrennosti energobloka tipa VVER-1000 [Investigation of the possibility of using a sliding steam pressure power management program to improve technical and economic performance and improve the maneuverability of a VVER-1000 type power unit]. Otchet. Leningradskij politekhnicheskij institut: nauchnye rukovoditeli: Korolyov V. I., Borovkov V. M., Golubev S. E., Glyga S. N. Leningrad, 1984. N. 81008621. Inv. N. 02860022744.
5. Korolev V. I. Sovershenstvovanie teplovoj skhemy, kontrolya i sposobov ekspluatacii dlya povysheniya nadezhnosti i tekhniko-ekonomicheskih pokazatelej vlazhnoparovyh turbin v period prodleniya kampanii: dis. … kand. tekhn. nauk [Improve-ment of the thermal scheme, control and operating methods to improve the reliability and technical and economic performance of wet-steam turbines during the campaign extension period: dis. ... Candidate of Technical Sciences]. Leningrad, 1986. 256 p.
6. Korolev V. I., Ivanov V. A., Trofimov B. A., Litvi-nov A. N. Eksperimental'noe issledovanie raboty energobloka VVER-440 pri otklyuchenii pervoj stupeni promezhutochnogo peregreva para [Experimental study of the operation of the VVER-440 power unit during shutdown of the first stage of intermediate steam overheating]. Teplofizika yadernyh energeticheskih ustanovok. Sverdlovsk, Izd-vo UPI, 1989. Pp. 133-137.
7. Ivanov V. A., Korolyov V. I. Issledovanie vozmozh-nosti polucheniya dopolnitel'noj moshchnosti na energoblokah za schet izmeneniya rezhima raboty pervoj stupeni promperegreva [Investigation of the possibility of obtaining additional power at power units by changing the operating mode of the first stage of industrial superheating]. Deponirovannye nauchnye raboty v VINITI, 1986, no. 2266, p. 13.
8. Korolev V. I. Povyshenie ekonomicheskih pokazatelej ekspluatacii atomnyh ledokolov pri provodke sudov v Arktike [Improving the economic performance of nuclear icebreakers when sailing ships in the Arctic]. Arktika: ekologiya i ekonomika, 2021, vol. 11, no. 2, pp. 244-252.
9. Korolev V. I., Lastovcev A. Yu. Razrabotka predlozhenij po ekonomii yadernogo topliva na atomnyh ledokolah [Devel-opment of proposals for saving nuclear fuel on nuclear icebreakers]. Sbornik nauchnyh trudov Ezhegodnoj nauchno-prakticheskoj konferencii professorsko-prepodavatel'skogo sostava GUMRF imeni admirala S. O. Makarova (Sankt-Peterburg, 11–15 aprelya 2016 g.). Saint Petersburg, Izd-vo GUMRF imeni admirala S. O. Makarova, 2016. Pp. 152-160.
10. Korolev V. I. Osnovy upravleniya sudovymi reactor-nymi ustanovkami pri rabote na moshchnosti [Fundamentals of ship reactor plant management when operating at capacity]. Saint Petersburg, Medicinskaya pressa Publ., 2003. 106 p.
11. Korolyov V. I., Kostylev I. I., Lastovcev A. Yu. Osobennosti formirovaniya i teplovogo rascheta parokon-densatnogo cikla sudovyh i plavuchih energoblokov s yadernoj energeticheskoj ustanovkoj [Features of the formation and thermal calculation of the steam condensate cycle of marine and floating power units with a nuclear power plant]. Saint Petersburg, Bell Publ., 2006. 208 p.
12. Opredelenie ekonomichnosti turbiny GTG-642 na specifikacionnyh rezhimah po dannym hodovyh ispytanij atomnogo ledokola «Arktika» [Determination of the efficiency of the GTG-642 turbine in the specification modes according to the sea trials of the nuclear icebreaker “Arctic”]. PO «KZ», otchet S-33 OT, 1981. 115 p.



