Russian Federation
Moskva, Russian Federation
Astrakhan, Russian Federation
Russian Federation
The results of studies of total protein and its fractions, as well as aminotransferases of blood serum of pond herbivorous fish are presented. Studies allow us to assess the activity of aminotransferases (alanine and aspartate aminotransferases), the activity of which in the blood serum somehow characterizes the condition and /or degree of damage to some organs of fish. Seasonal and age dynamics, as well as sex differences of the studied parameters in fish, have been established. Sex differences in these indicators are most noticeable in fish aged 0+ to 2 years. The data obtained allow us to judge the specific protein status, which differs in species characteristics and variability depending on the habitat conditions of fish, which gives an idea of the level of the physiological state of fish when grown in modern fish farms, and also allows us to assess the quality of the environment surrounding fish.
herbivorous fish, total protein, albumin, globulins, aminotransferases
Введение
Различные параметры крови давно применяются для диагностики состояния организма животных и человека. Однако ряд биохимических показателей крови рыб стали изучать сравнительно недав-
но [1, 2]. Кровь рыб является лабильной субстанцией организма, которая быстро изменяет свои характеристики при воздействии эндогенных и экзогенных факторов различной этиологии.
Общее количество белка и его фракционный состав являются объективными и часто применяемыми индикаторами оценки общего здоровья рыб [3], эти параметры лабильны, меняются как при смене физиологического состояния рыб, так и при внешних воздействиях, интенсивность которых выше пороговых значений для конкретных показателей [4]. Имеются сведения, что морфофункциональные и биохимические показатели крови рыб могут быть косвенными индикаторами состояния водных экосистем [5].
В настоящее время все больший интерес приобретают исследования, позволяющие оценить физиологический статус рыб с использованием индикаторных ферментных систем. В этом аспекте применяются исследования, позволяющие оценить активность антиоксидантных ферментов [6], а также активность аминотрансфераз (аланин- и аспартатаминотрансферазы (АЛТ и АСТ соответственно)), проявление активности которых в сыворотке крови так или иначе характеризует состояние и/или степень повреждения некоторых органов, в т. ч.
и печени [7].
Растительноядные рыбы дальневосточного комплекса в последние десятилетия стали компонентом ихтиоценозов дельты Волги. Являясь в значительной степени консументами первого порядка, растительноядные рыбы могут быть важными объектами мониторинга водных экосистем, в т. ч. и в аспекте влияния загрязнения на живые организмы. Консументы высших порядков подвержены процессу биомагнификации, когда концентрация загрязняющих веществ повышается, порой на несколько порядков, по мере продвижения по пищевой цепи.
В то же время реакция растительноядных рыб в большей степени зависит от текущего загрязнения водной среды, поэтому необходимость изучения их физиологического состояния не вызывает сомнений. Однако для мониторинговых исследований необходимо получение базовых значений тех показателей, которые будут в дальнейшем применяться для оценки влияния качества окружающей среды на рыб.
Цель работы – изучение особенностей содержания общего белка и его фракций, а также аминотрансфераз (АСТ и АЛТ) в сыворотке крови растительноядных рыб в условиях искусственного культивирования.
Материал и методы
Место исследования. Рыба, использованная для данного исследования, содержалась в прудах рыбоводного хозяйства Астраханской области.
Объект исследования. Для анализа были использованы белый амур Ctenopharyngodon idella и белый толстолобик Hypophthalmichthys molitrix обоих полов в возрасте от сеголеток до 4 лет. Рыбы подвергались видовому, возрастному и половому анализу по общепринятым методикам [8].
Забор крови и определение гематологических показателей. Перед отбором проб отловленные из пруда рыбы были помещены в бассейны, подключенные к установке замкнутого водоснабжения. Перед забором крови производили анестезию препаратом трикаинметанесульфанат (концентрация – 0,05 г/л, экспозиция – 2–3 минуты). Кровь собирали путем пункции хвостовой артерии. Сыворотку получали путем отстаивания крови в холоде.
Биохимический анализ. Для определения активности аминотрансфераз использовалась только сыворотка без ледов гемолиза [9]. Общий белок и альбуминовую фракцию определяли фотометрическим методом (биуретовым и бромкрезоловым соответственно), активность аминотрансфераз – унифицированным колориметрическим методом Райтмана и Френкеля с помощью набора реактивов «Протеин-Ново», «Альбумин-Ново», «Трансаминаза-АЛТ-Ново», «Трансаминаза-АСТ-Ново» [10].
Результаты исследований
Характеризуя данные по общему белку, представленные на рис. 1 (где ОБ – общий белок), необходимо, прежде всего, указать на отсутствие каких-либо существенных различий между исследованными растительноядными рыбами.

Рис. 1. Содержание общего белка в сыворотке крови растительноядных рыб
Fig. 1. Total protein content in the blood serum of herbivorous fish
В среднем, уровень общего белка у белого амура составляет 40,08 г/л, у белого толстолобика – 42,42 г/л.
Были выявлены различия по такому показателю, как общий белок сыворотки крови у рыб в возрасте до года. У сеголетков обоих исследованных видов растительноядных рыб больше общего белка содержится в сыворотке крови самок по сравнению с самцами, у годовиков это соотношение смещается в пользу самцов. При этом показано, что у рыб в возрасте от 1 до 3 лет включительно отсутствуют половые различия по содержанию в сыворотке крови общего белка.
Достоверные отличия по показателю содержания общего сывороточного белка выявлены также у белого толстолобика в возрасте 4 лет, его уровень выше у самок по сравнению с самцами (см. рис. 1).
Размах колебаний в содержании общего белка у самцов белого амура (31,55–55,37 г/л) выше, чем у самок (38,27–41,65 г/л). У белого толстолобика амплитуда содержания общего белка у самок и самцов примерно одинакова (31,96–49,29 и 30,46–48,31 г/л соответственно). Полученные данные по содержанию в сыворотке крови общего белка у белого амура и белого толстолобика можно принять за физиологическую норму для этих видов.
Различия в содержании общего белка в сыворотке крови растительноядных рыб осенью и весной статистически не достоверны, Р > 0,05.
Возрастные изменения сывороточных белков исследованных растительноядных рыб имеют неоднозначный характер (см. рис. 1). У белого амура максимум содержания общего белка (55,37 г/л) выявлен у самцов в возрасте 1 года, а у самцов в двухлетнем возрасте этот уровень снижается в 1,6 раза и в дальнейшем повышается очень незначительно. Что касается самок, то этот показатель в возрастном аспекте более стабилен, у всех возрастных групп значения концентрации общего белка в сыворотке крови изменяются в достаточно узком диапазоне (38–41 г/л).
Пик содержания общего белка в сыворотке крови белого толстолобика (см. рис. 1) отмечен у трехлетних самцов и самок (48,31 и 49,29 г/л соответственно). У четырехлетних особей содержание общего белка снижается, причем наиболее заметно у самцов (P < 0,05).
Скорее всего, возрастное повышение концентрации сывороточных белков связано с интенсификацией метаболизма, конкретно, с метаболизмом в печени. Как известно, основная часть сывороточных белков синтезируется гепатоцитами. Интенсификация общего метаболизма наблюдается у рыб в связи с активным гонадо- и гаметогенезом, что объясняет возрастное возрастание содержания сывороточных белков. По достижении определенного пика содержания (обычно в возрасте полового созревания) количество общего белка в сыворотке крови рыб либо снижается, либо стабилизируется, что обусловлено стабилизацией обмена веществ. При этом выявлен половой диморфизм в содержании общего белка у исследованных видов рыб.
В сезонном аспекте выявлено наиболее высокое содержание альбуминов осенью. Вероятно, это обусловлено функциональным состоянием рыб, поскольку весной организм рыб истощен после зимы, и в нем происходят глубокие перестройки, связанные с подготовкой к нересту.
Лидером по содержанию альбуминов являются сеголетки белого толстолобика (28,06 г/л), у самцов этого вида наблюдается значительное снижение содержания альбумина в сыворотке крови
с возрастом от 28 до 12 г/л. У самок белого толстолобика возрастная динамика уровня альбумина в сыворотке крови более сглажена. Значимые половые различия характерны для сеголеток и годовиков белого толстолобика, уровень альбуминов у самцов в 2 раза превышает таковой у самок (рис. 2, где А – альбумин).

Рис. 2. Содержание альбумина в сыворотке крови растительноядных рыб
Fig. 2. Albumin content in the blood serum of herbivorous fish
Содержание альбуминов в сыворотке крови у исследованного белого амура составляет величину от 14,0 до 22,0 г/л, причем выявляемые половые различия недостоверны (Р > 0,05) (см. рис. 2). Наибольшее содержание альбуминов отмечено у годовалых самцов и самок белого амура (18,45 и 22,14 г/л соответственно), затем значения данного показателя немного снижаются. Повышение количества альбуминов в крови обычно связывают
с быстрым ростом и интенсивным питанием рыб.
Сезонная динамика глобулинов в сыворотке крови рыб имеет свои особенности, отличные от динамики общего белка и альбуминов. Так, у белого толстолобика больше глобулинов выявлено весной по сравнению с осенью (Р < 0,05). Для белого амура высокий уровень глобулинов (как и альбуминов) отмечен в осенний период.
Показано, что имеются достоверные различия по содержанию в крови глобулинов у самцов и самок у сеголетков и годовиков белого амура и белого толстолобика (в возрасте 0+ и 4 лет) (рис. 3, где
Г – глобулины).

Рис. 3. Содержание глобулинов в сыворотке крови растительноядных рыб
Fig. 3. The content of globulins in the blood serum of herbivorous fish
Возрастные изменения глобулинов у изученных растительноядных рыб в целом характеризуются более динамичным характером, по сравнению с альбуминами. Это выражается в большем разбросе показателей содержания глобулинов у разновозрастных рыб одного вида.
Установлено, что больше всего глобулинов крови у самцов белого амура встречается в возрасте до 1 года (36,92 г/л). Второй максимум данного показателя был выявлен у самцов в возрасте 2+ (26,05 г/л), далее уровень содержания глобулинов в крови стабилизируется (см. рис. 3). Уровень содержания глобулинов в сыворотке крови самок белого амура мало изменяется на протяжении нескольких возрастных этапов – от сеголетки до четырехлетки (20–24 г/л).
Белому толстолобику, как и белому амуру, присущ значительный половой диморфизм по содержанию глобулинов (см. рис. 3). Так, у самцов толстолобика отмечено значительное повышение концентрации глобулинов до возраста 3 лет (31,36 г/л), а потом наблюдается его снижение почти в 2 раза.
У самок толстолобика максимальный уровень содержания глобулинов отмечен двумя пиками: у сеголеток и трехлеток около 32 г/л, а самки в возрасте 1 года и 4 лет характеризуются снижением этого показателя (18,35 и 26,2 г/л соответственно).
Белковый коэффициент сыворотки крови (соотношение «альбумины/глобулины») у белого амура с возрастом изменяется в пределах от 0,5 до 1,1, у белого толстолобика – от 0,5 до 3,1. В среднем, белковый коэффициент сыворотки крови белого амура и белого толстолобика равен 0,74 и 0,93 соответственно. Таким образом, соотношение отдельных белковых фракций меняется, скорее всего, изменения данного показателя могут происходить в связи с изменением характера питания и/или в связи с обеспеченностью пищей. Также имеет значение сезонные изменения интенсивности метаболизма
и сезонная цикличность процессов гаметогенеза.
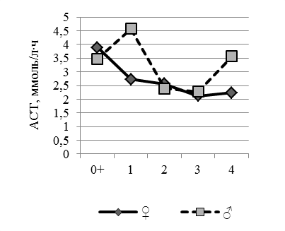
Как известно, активность АСТ коррелирует со степенью поражения печени различной этиологии. Показано, что активность сывороточной АСТ у обоих видов растительноядных рыб повышена осенью (Р < 0,05). Вероятно, что к осени соответственно с повышенным общим метаболизмом в течение вегетационного периода возрастает и интенсивность протекания процессов, которые могут быть отнесены к патологическим. Так, отмечается изменение (возможно, и нарушение) процессов перекисного окисления липидов в мышечной ткани, обусловленное накоплением в прудах токсикантов, органики на разных стадиях деструкции и вероятным, более высоким уровнем паразитарных инвазий в этот период.
Половые различия активности АСТ наиболее ярко выражены у годовиков белого амура (рис. 4, а), у самцов которых уровень активности АСТ в сыворотке крови достоверно выше (Р < 0,05), чем у самок.


а б
Рис. 4. Возрастная динамика уровня АСТ в сыворотке крови: а – белого амура; б – белого толстолобика
Fig. 4. Age-related dynamics of AST levels in blood serum: a – white cupid; б – white carp
Обнаруженные половые различия активности АСТ, вероятно, определяются уровнем антиоксидантных реакций разнополых рыб и стресс-факторами.
У белого толстолобика четко прослеживается сходство возрастной динамики активности АСТ у самок и самцов. У самцов белого амура и белого толстолобика обоих полов наибольшая активность АСТ показана у годовиков (4,1–4,6 ммоль/л∙ч) с тенденцией к дальнейшему снижению. У самок белого амура пик активности АСТ наблюдается у сеголеток (3,5–3,9 ммоль/л∙ч), у особей старших возрастных групп значение этого показателя тоже падает в 1,5–2 раза.
Активности АЛТ – это более лабильный показатель по сравнению с активностью сывороточной АСТ. При этом наибольшая активность АЛТ была выявлена у белого толстолобика (9,8 ммоль/л∙ч), минимальная активность – у белого амура (0,26 ммоль/л∙ч), что говорит о том, что по данному показателю имеются выраженные межвидовые отличия, т. к. рыбы содержались в идентичных условиях. Что касается сезонной динамики, то выявлена выраженная тенденция повышения содержания АЛТ от весны к осени. Наибольшие различия в сезонном аспекте (Р < 0,05) по активности сывороточной АЛТ показаны у белого амура. Различия активности АЛТ в сыворотке крови толстолобика весной и осенью незначительны и недостоверны (Р > 0,05).
На рис. 5 показаны достоверные половые различия активности сывороточной АЛТ как у белого амура, так и у толстолобика (Р < 0,05).


а б
Рис. 5. Возрастная динамика уровня АЛТ в сыворотке крови: а – белого амура; б – белого толстолобика
Fig. 5. Age-related dynamics of ALT levels in blood serum: a – white cupid; б – white carp
Так, в сыворотке крови самок сеголеток белого амура (2,05 ммоль/л∙ч) уровень активности этого фермента в 2 и более раз выше, чем у самцов (0,78 ммоль/л∙ч). Самцы белого амура в возрасте
2 лет наоборот преобладают над самками по активности АЛТ в 2 раза (Р < 0,05).
Половые различия по содержанию сывороточной АЛТ белого толстолобика имеют несколько иной вид. Отмечено, что у двухлеток уровень активности АЛТ самок превышает аналогичные показатели у самцов, хотя различия недостоверны (Р > 0,05). У годовиков самцов напротив, активность АЛТ по сравнению с самками выше (8,76 и 3,45 ммоль/л∙ч соответственно). У особей белого амура и белого толстолобика более старших возрастных групп уровни аланинаминотрансферазы становятся практически равными (см. рис. 5).
Столь вариабельность показателя активности АЛТ по сравнению с АСТ, вероятно, связана с большей функциональной нагрузкой на печень рыб по сравнению с мышцами.
Возрастной динамике активности АЛТ у рыб свойственны закономерности, характерные для исследованных нами общего белка, альбуминов, глобулинов и аспарататаминотрансферазы. Так, мак-
симальное содержание АЛТ у растительноядных рыб и сазана присуще особям в возрасте 1 года (см. рис. 5), у рыб, старших по возрасту, этот показатель достоверно снижается (Р < 0,05).
Заключение
Содержание белка и в сыворотке крови рыб его фракционный состав является информативным экспресс-тестом для оценки физиологического состояния рыб, в т. ч. и в условиях аквакультуры. Влияние различных факторов окружающей среды, которые можно расценивать как дополнительная функциональная нагрузка, активирует синтез белков в сыворотке крови, что, в свою очередь, формирует специфический белковый статус, отличающийся видовыми особенностями и изменчивостью в зависимости от условий обитания рыб.
Белки сыворотки крови представляет собой динамическую систему, которая высокочувствительна к изменениям во внутренней среде организма под воздействием как абиотических, так и биотических факторов. Активность аминотрансфераз в сыворотке крови может служить информативным биологическим маркером оценки состояния здоровья рыб и качества окружающей среды, а в аквакультуре – для контроля условий выращивания. Анализ этих показателей у рыб в половом аспекте позволяет оценить их устойчивость к воздействию стрессовых факторов и адаптационные возможности, которые могут различаться в зависимости от пола.
Установлено, что уровень общего белка и его фракционный состав у растительноядных рыб варьирует в зависимости от сезона, пола и возраста. Осенью содержание альбуминов и глобулинов
у этих рыб увеличивается по сравнению с весной, за исключением толстолобика, у которого количество глобулинов в сыворотке крови выше весной. Половые различия в данных показателях наиболее заметны у рыб в возрасте от 0+ до 2 лет, у более взрослых особей рыб не обнаружено достоверных половых отличий по данным показателям. Уровень общего белка, альбуминов и глобулинов в сыворотке крови растительноядных рыб изменяется с возрастом. У белого амура максимальное содержание этих компонентов отмечено у годовиков, у белого толстолобика больше всего общего белка и глобулинов содержат трехлетние особи.
Уровень активности аминотрансфераз у растительноядных рыб также подвержен сезонной и возрастной динамике, у изученных видов обнаружены половые различия по этому показателю. Более высокая активность АСТ и АЛТ у белого амура и толстолобика характерна для осеннего периода по сравнению с весенним. Половые различия и уровень активности аминотрансфераз наиболее высоки у рыб ранних возрастных этапов. Более взрослые особи характеризуются снижением уровня активности АСТ и АЛТ в сыворотке крови,
а также незначительными половыми различиями по данным показателям или их отсутствием.
1. Golovina N. A. Morfofunkcional'naja harakteristika krovi ryb – ob’ektov akvakul'tury: avtoreferat dis. … d-ra biol. nauk [Morphofunctional characteristics of the blood of fish – objects of aquaculture: abstract dis. ... Doctor of Biological Sciences]. Moscow, Izd-vo MGU, 1996. 53 p.
2. Blaxhall P. C. The hematological assessment of the health of freshwater fish: a review of selected literature. Journal of Fish Biology, 1972, no. 4, pp. 593-604.
3. Davydov O. N., Temnihanov Ju. D. Bolezni presnovodnyh ryb [Diseases of freshwater fish]. Kiev, Vetinform Publ., 2004. 544 p.
4. Komarov I. P., Komarov P. V., Deniskin P. G. K izucheniju belkovyh frakcij syvorotki krovi nekotoryh karpovyh ryb del'ty Volgi [To study the protein fractions of the blood serum of some cyprinid fish of the Volga Delta]. Voprosy ihtiologii, 1975, vol. 15, no. 2, pp. 377-380.
5. Metelev V. V., Kanaev A. I., Dzasohova N. G. Vodnaja toksikologija [Aquatic toxicology]. Moscow, Kolos Publ., 1971. 247 p.
6. Rudneva I. I., Skuratovskaja E. N. Polovye osoben-nosti aktivnosti antioksidantnyh fermentov krovi nekotoryh pribrezhnyh vidov ryb Chernogo morja [Sexual characteristics of the activity of antioxidant enzymes in the blood of some coastal fish species of the Black Sea]. Voprosy ihtiologii, 2009, vol. 49, no. 1, pp. 125-128.
7. Pravdin I. F. Rukovodstvo po izucheniju ryb (pre-imushhestvenno presnovodnyh) [A guide to the study of fish (mainly freshwater)]. Moscow, Pishhevaja promyshlennost' Publ., 1966. 367 p.
8. Metodicheskie ukazanija po provedeniju gematolog-icheskogo obsledovanija ryb: utverzhdeny Minsel'hozprodom Rossii ot 02.02.1999 N. 13-4-2-/1487 [Guidelines for hematological examination of fish: approved by the Ministry of Agriculture and Food of Russia dated 02.02.1999 No. 13-4-2-/1487]. Moscow, 1999. 20 p.
9. Roshhina O. V. Vlijanie prirodnyh i antropogennyh faktorov na aktivnost' fermentov syvorotki krovi chernomorskih ryb (na primere morskogo ersha): avtoreferat dis. … kand. biol. nauk [The influence of natural and anthropogenic factors on the activity of serum enzymes of Black Sea fish (using the example of a sea ruff): abstract dis. ... cand. Biol. Sciences]. Moscow, Izd-vo MGU, 2010. 24 p.
10. Jakovleva G. E. Fermenty v klinicheskoj biohimii [Enzymes in clinical biochemistry]. Novosibirsk, Vektor-Best Publ., 2005. 44 p.



