Russian Federation
Vladivostok, Russian Federation
Russian Federation
The issues of uneven cyclic feed in sequential injections by diesel fuel equipment are considered, which is directly related to solving the problem of ensuring the quality of operation of engines of various types and purposes when operating at low loads and rotational speeds. The special importance of solving these problems from the standpoint of ensuring fuel efficiency, environmental pollution, solving issues of engine reliability and improving their operational properties was noted. The features of the formation of residual fuel pressure in the high-pressure pipeline are revealed. The periodic fluctuations of the cyclic feed and injection parameters from cycle to cycle are estimated. A study of possible options for the operation of fuel equipment in low fuel supply modes has been carried out. Based on the analysis, a criterion for evaluating the instability of successive injection cycles for diesel fuel equipment during its operation in various modes has been introduced. By studying numerical examples, the conditions of unstable fuel supply processes in successive injections of various characteristic modes are determined. The criterion determines the quality of the fuel equipment of marine diesel engines and diesel generators in terms of ensuring a minimum stable idle speed and the possibility of ensuring stable reduced fuel supplies. The variability of fuel supply processes in sequential feeds is the cause of increased exchange processes of electric power flow during parallel operation of diesel alternators and reduces the performance characteristics of diesels for various purposes when operating in partial modes. In the process of carrying out development work, scientific research and during the refinement of diesels, the instability criterion allows us to assess the quality of the fuel equipment precisely in partial modes. This is of particular importance for diesel engines of fishing vessels operating for a long time at shared loading modes and low idle speeds, as well as for engines of the tugboat fleet and auxiliary diesel generator sets of all types of facilities used.
instability indicator, residual pressure, fuel supply, sequential injection cycles, fuel equipment, quality of operation
Введение
Остаточное давление топлива рocт в трубопроводе высокого давления (ТВД) изменяется в ряде нескольких последовательных подач, отличающихся друг от друга по величинам давлений, по продолжительности подачи и по другим параметрам [1–5]. Как только произойдет стабилизация остаточного давления и наступит установившийся режим работы топливной аппаратуры (ТА), параметры последовательных циклов впрыскивания не будут отличаться друг от друга. На частичных режимах работы и пониженных частотах вращения коленчатого вала имеют место циклы впрыскивания, отличающиеся друг от друга активностью подачи. Их называют «активными» и «пассивными» впрыскиваниями. Это связано с колебаниями величины остаточного давления в ТВД. Как правило, активные и пассивные циклы чередуются периодически. Характер чередования активности подачи может быть в виде незатухающих периодических колебаний, могут иметь место апериодические колебания в последовательных циклах впрыскивания, после выравнивания величины остаточного давления колебательный характер процессов топливоподачи завершается.
Безусловно, чередование активности впрыскиваний отражается через рабочий процесс двигателя на появлении соответствующих добавок к текущему крутящему моменту. Опасность представляет периодическая составляющая, которая порождает повышение угловой неравномерности вращения коленчатого вала, что негативно отражается на эффективности работы двигателя. Для дизель-генераторов переменного тока эта субгармоническая составляющая крутящего момента может приводить к резонансу при параллельной работе дизель-генераторов с близкой собственной частотой, к частоте периодических чередований активности впрыскиваний и в конечном итоге к повышенным перетеканиям электрической мощности между агрегатами. Амплитуда таких колебаний может быть опасной для работоспособности объектов и даже недопустимой для условий работы в рядовой эксплуатации [6, 7].
Нестабильная работы ТА также может влиять на развитие вынужденных крутильных колебаний судовых силовых установок, приводит к усилению вибраций, вызывает опасность помпажа центробежного компрессора турбонагнетателя [5, 6].
Процессы топливоподачи могут стабилизироваться, однако возможно и чередование активного и пассивного циклов впрыскивания, что определяется так называемыми расходными характеристиками ТА через нагнетательный клапан высокого давления и через форсунку как функцию величины остаточного давления в ТВД.
Особенности формирования остаточного давления
Расходные характеристики ТА представляют собой взаимосвязь количества подаваемого топлива через нагнетательный клапан высокого давления Vk = f1(рocт) и через форсунку Vф = f2(рocт) с величиной остаточного давления для каждого установившегося режима работы.
Расходные характеристики возможно снимать на специально оборудованных топливных стендах, что является трудоемким процессом. Можно их вычислять на так называемых математических моделях ТА [2]. Однако чтобы сделать какие-либо выводы о качестве работы ТА с позиции возможных колебательных процессов и оценить ее склонность к подобным видам неустойчивости, необходимо предварительно выполнить весьма большой объем вычислительной работы (сотни расчетов для различных режимов работы и при различных частотах вращения).
Возникает необходимость в создании способа оценки нестабильности последовательных циклов топливоподачи, который однозначно мог бы определять склонность ТА к подобным видам неустойчивой работы. При создании новой ТА и при доводке существующей системы впрыскивания это позволит повысить эффективность опытно-конструкторских работ и ускорить процессы создания прогрессивных конструкций ТА [7–9].
Вблизи точки пересечения расходные характеристики практически линейны. При отклонении режима работы ТА значение установившегося рocт меняется. При этом, как правило, остаточное давление на номинальных режимах работы существенно больше нуля. При переходе на режимы, характеризующиеся малыми подачами топлива, оно переходит в область отрицательных значений, при этом нелинейность характеристик возрастает. Как правило, процессы впрыскивания происходят с разрывом сплошности топлива в ТВД. Разрывы сплошности условно определяются значениями отрицательного давления рocт. Ранее одним из авторов настоящей статьи был создан экспериментальный стенд, на котором определялись расходные характеристики ТА в области как положительных, так и отрицательных остаточных давлений в системе высокого давления (СВД), состоящей из геометрических объемов в ТВД и присоединенных объемов со стороны топливного насоса высокого давления и форсунки. Эти же расходные характеристики также были получены и расчетным путем на авторской математической модели ТА для дизелей типа М50. Математическая модель процессов топливоподачи в дизелях была успешно апробирована практически для большинства отечественных систем впрыскивания, в разное время внедрена в специальных конструкторских бюро дизелестроения, например завода «Дальдизель», на Алтайском моторном заводе и «Трансмаш» в г. Барнауле, а также в ООО «ЦНИДИ».
Изменение величины остаточного давления топлива в объеме СВД определится по известной формуле [3]:
(1)
где Δрocт – изменение остаточного давления, МПа; α – коэффициент, характеризующий сжимаемость топлива, о. е.; Vc – объем СВД, который состоит из объема в полости штуцера насоса, объема ТВД и объема в полости форсунки, см3; ΔV – разница между пришедшим объемом топлива из насоса и объемом, ушедшим через форсунку, см3.
Разрывы сплошности (каверны) заполняются двухфазной средой топливо-пары топлива при давлении насыщенных паров топлива порядка 0,0144 МПа и, как свидетельствуют результаты эксперимента, равномерно распределяются по длине СВД.
Оценка нестабильности колебаний цикловых подач и параметров впрыскивания от цикла к циклу
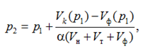
На рисунке представлены расходные характеристики ТА для трех возможных зон работы (р1, р2, р3). Режим работы в зоне р1 характеризуется параметрами V0, р0. При внесении возмущения в работу ТА в виде, например, скачка остаточного давления Δр в предыдущем цикле впрыскивания (см. отрезок 1–1) следующий цикл может состояться при другом остаточном давлении согласно формуле (1); так, будет иметь место позиция 2–2, затем состоится впрыскивание при 3–3 или 6–6, 4–4, 5–5 и т. п. Так и появляются чередования циклов в последовательных впрыскиваниях, протекающие при различных параметрах топливоподачи. Могут быть периодические затухающие колебания циклов, могут иметь место и апериодические впрыскивания, но возможно и возобновление исходного режима функционирования, т. е. стабилизация работы ТА.

Оценка нестабильности последовательных подач:
Vk = f1(рocт) – взаимосвязь расхода топлива через насос высокого давления и величины остаточного давления;
Vф = f2(рocт) – взаимосвязь расхода топлива через форсунку и величины остаточного давления
Assessment of the instability of successive feeds:
Vk = f1 (pост) – the relationship of fuel consumption through a high-pressure pump and the amount of residual pressure;
Vф = f2 (pост) – the relationship of fuel consumption through the nozzle and the amount of residual pressure
Рассмотрим функционирование ТА (см. рис.) в зоне положительных значений Δрocт (режимы в точке 1 и точке 2), а затем и в области отрицательных значений рocт (режим в точке 3). Для этого воспользуемся формулой (1). Если в результате выполненной подачи топлива система войдет в положение, определяемое остаточным давлением топлива р1 (1–1), и по завершении подачи в ТВД поступит топлива меньше, чем будет израсходовано через форсунку, то остаточное давление уменьшится на величину от р1 до р2 в соответствии с выражением
(2)
где индексами k и ф обозначены объемы топлива, прошедшие через нагнетательный клапан и форсунку при р1 соответственно.
При определенных значениях углов α и β осуществится восстановление исходного значения остаточного давлении и произойдет повторение исходного режима в точке 1. В этом случае происходит стабильный от цикла к циклу режим функционирования ТА.
Очевидно, что наклонение расходных характеристик в точке их пересечения определяет восприимчивость ТА к восстановлению начальных параметров, следовательно, это характеризует неизменность параметров последовательных циклов впрыскивания ТА, что в свою очередь зависит от размеров элементов, параметров топлива и настройки ТА.
Расходные характеристики реально линейны лишь вблизи точки равновесного режима, и поэтому возможны дополнительные впрыскивания вплоть до наступления установившегося режима. Это объясняет изменчивость режима (его чувствительность) при функционировании ТА в последовательных подачах.
Одновременно меняются многие параметры подачи топлива, например продолжительность и угол действительного опережения впрыскивания, цикловая подача и другие величины.
При изменении остаточного давления на величину Δр имеет место приращение расходов топлива через нагнетательный клапан и через форсунку с соответствующими знаками:
(3)
(4)
Следовательно, согласно формулам (2)–(4) изменение рocт для следующего цикла впрыскивания может быть определено следующим образом:
При этом значение Δрx является функцией угла 180 + α – β между линиями расходных характеристик ТА:
Δрx = f3(180 + α – β).
Установим безразмерный параметр: X = Δpx / Δp. Тогда очевидно, что численное значение Х определится величиной угла взаимного пересечения расходных характеристик ТА:
Для всех режимов функционирования ТА возможно определение значения данного показателя с целью оценки нестабильности впрыскивания от цикла к циклу. Назовем этот показатель критерием нестабильности последовательных циклов впрыскивания. Интерес представляет расходная характеристика через форсунку Vф = f2(рocт). Для частичных режимов и пониженных частот вращения характерен малый угол наклона этой характеристики. И чем меньше он будет, тем в меньшей степени будет различие процессов топливоподачи по количеству поданного топлива в цилиндр дизеля, а вот параметры цикла впрыскивания будут значительно отличаться. Но небольшая разница в количестве поданного топлива в значительно меньшей степени отразится на величине амплитуды крутящего момента дизеля. Поэтому следует при выборе комплектации ТА обращать внимание на особенности управления впрыскиванием (это будет или гидравлическое управление, или электронное типа Common Rail, или иное).
Анализ возможных вариантов работы топливной аппаратуры на режимах малых подач топлива на числовых примерах
Определим характер ряда процессов топливоподачи после внесения «возмущения» в установившийся режим работы ТА с параметрами V0 и р0 путем задания в очередном процессе подачи остаточного давления рocт = р0 + Δр (процесс 1–1, см. рис.). Например, при значении Х = 1 или когда Δрx = ΔрХ. В следующем цикле впрыскивания в ТВД установится новое значение рocт, определяемое по зависимости
рocт = р0 + Δр – Δрx = р0 + Δр – Δр · 1 = р0.
Таким образом, после внесения «возмущения» режим восстанавливается. Следовательно, значение Х = 1 определяет границу стабильной от цикла к циклу работы ТА.
Тогда при значениях Х < 1, например при Х = 0,6, после внесения единичного «возмущения» следующая подача осуществится при остаточном давлении:
рocт = р0 + Δр – Δрx = р0 + Δр – ΔрX = р0 + Δр – Δр · 0,6 = р0 + 0,4 · Δр.
Следующая подача осуществится при рocт (местоположение 3–3, см. рис.):
рocт = р0 + 0,4 · Δр – Δрx = р0 + 0,4 · Δр – Δр · 0,6 = р0 – 0,2 · Δр.
Таким образом, осуществляется последовательное приближение к установившемуся режиму, характеризующемуся параметрами p0, V0. После ряда подач процесс стабилизируется. Подобные переходные неустановившиеся режимы работы ТА вызывают появления через рабочий процесс дизеля периодической составляющей крутящего момента, что и приводит к повышению нестабильности частоты вращения коленчатого вала.
Но при Х = 2 после внесения «возмущения» следующая подача осуществится при р0 + Δр (позиция 1–1, см. рис.). Очередная подача осуществится при остаточном давлении рocт = р0 + Δр – Δрx = р0 + Δр – Δр · 2 = р0 – Δр, а дальше повторится режим 1–1 и т. д. Имеют место периодические изменения остаточного давления и соответствующие чередования активных циклов при рocт = р0 + Δр и пассивных при рocт = р0 – Δр. Величина активности циклов определится значением Δр и наклоном расходной характеристики форсунки. Это крайне нежелательный режим работы, вызывающий периодическую составляющую крутящего момента на коленчатом вале дизеля.
При условии 1 < Х < 2, например Х = 1,6, после «возмущения» следующая подача осуществится при остаточном давлении:
рocт = р0 + Δр – Δрx = р0 + Δр – Δр · 1,6 = р0 – 0,6 · Δр.
Затем состоится цикл при остаточном давлении:
рocт = р0 – 0,6 · Δр + Δрx = р0 – 0,6 · Δр + 0,6 · Δр · 1,6 = р0 + 0,36 · Δр.
Далее – при остаточном давлении:
рocт = р0 + 0,36 · Δр + Δрx = р0 + 0,36 · Δр – 0,36 · Δр · 1,6 = р0 – 0,216 · Δр.
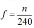
После завершения 6–8 и более подач топлива произойдет восстановление режима до параметров р0 и V0 при затухающих «периодических» колебаниях в следующих друг за другом циклах подач топлива с гашением по амплитуде субгармонической составляющей с частотой для четырехтактного дизеля
Гц, где n – частота вращения коленчатого вала двигателя. По сути это субгармоническая частота вращения, близкая по величине к частоте собственных колебаний крутильной схемы, состоящей из двух параллельно работающих дизель-генераторов, причем различной комплектации и типа. Вот почему главной причиной возникающих резонансных явлений для параллельно работающих агрегатов являются периодические колебания процессов впрыскивания в дизельной ТА. И здесь очень важно уметь оценивать качество функционирования ТА в последовательных циклах подачи критерию Х.
Но при работе на режиме, при котором значения Х > 2 (Δрx = ΔрX, например при Х = 3), после внесения «возмущения» следующий цикл будет иметь место при остаточном давлении (позиция 6–6, см. рис.):
рocт = р0 + Δр – Δрx = р0 + Δр – Δр · 3 = р0 – 2 · Δр.
Впрыск в третьем цикле состоится при остаточном давлении:
рocт = р0 – 2 · Δр + Δрx = р0 – 2 · Δр + 2 · Δр · 3 = р0 + 4 · Δр.
Следующий цикл состоится при остаточном давлении:
рocт = р0 + 4 · Δр – Δрx = р0 + 4 · Δр – 4 · Δр · 3 = р0 – 8 · Δр.
Эти варианты работы ТА имеют место в дизель-генераторах на частичных режимах работы, а также у главных судовых двигателей на долевых нагрузках.
Таким образом, в случае, когда критерий Х > 2, имеют место расходящиеся периодические колебания давления в ТВД в последовательных циклах впрыскивания, приводящие вплоть до чередующихся от цикла к циклу пропусков подачи.
В результате выполненного анализа установлены следующие границы возможного осуществления процессов топливоподачи в последовательных впрыскиваниях по значениям критерия Х:
– при значениях критерия 0 < Х < 1 – зона апериодических затухающих колебаний процессов топливоподачи в последовательных впрыскиваниях;
– при значении критерия Х = 1 – зона стабильного от цикла к циклу впрыскивания;
– при значениях критерия 1 < Х < 2 – зона колебательно затухающих от цикла к циклу впрыскиваниях топлива;
– при значении критерия Х = 2 – зона периодических колебаний от цикла к циклу процессов топливоподачи (чередование активного и пассивного впрыскивания);
– при значении критерия Х > 2 – зона расходящихся от цикла к циклу впрыскиваний вплоть до пропуска подачи через цикл или через два цикла.
При пропуске впрыскивания через раз при работе четырехтактного дизеля частота колебаний на коленчатом вале равна n / 240 Гц, а при пропуске впрыскивания в двух последовательных циклах наблюдается частота колебаний, равная n / 360 Гц (это подтверждено результатами исследований, проведенных на дизель-генераторах ДГР 100/750 и ДГР 150/750 на заводе «Дальдизель», а также на главных судовых дизелях типа 6 ЧНСП 18/22).
Наибольший практический интерес представляют колебания с частотой n / 240 Гц [4]. Именно чередующиеся последовательные впрыскивания топливоподачи на долевых режимах и холостом ходу приводят к повышенным перетеканиям электрической мощности между работающими в параллель дизель-генераторами [10, 11]. Комплексные исследования, выполненные с участием авторов, позволили выявить природу нестабильной работы ТА и дизелей.
Для привода дизель-генераторов предлагается вернуться к практике применения двухтактных дизелей, у которых возмущающая частота выше в два раза и составляет величину n / 120 Гц и которая не может вызывать резонансные явления в параллельно работающих агрегатах. Возможно применение двухтактных дизелей для привода электрических генераторов переменного тока в диапазоне мощностей в пределах от 50 до 300 кВт.
Следует отметить, что предлагаемая методика оценки нестабильности подачи дизельной ТА в последовательных циклах впрыскивания приемлема для разных видов топлива, применяемых в настоящее время для судовых дизелей, – от дизельного до низкосернистого мазута ULSFO.
Выводы
1. Выявлена физическая природа нестабильной работы ТА в последовательных циклах впрыскивания и предложен критерий ее оценки.
2. Определены характерные диапазоны качества работы дизелей по величине критерия Х.
3. При проектировании, доводке и модернизации ТА дизелей различного типа важное значение имеет оценка нестабильности последовательных циклов ТА с позиции обеспечения качества функционирования двигателя.
4. Следует отметить важность величины наклона расходной характеристики форсунки. Это позволяет определить количественную сторону нестабильности процессов впрыскивания в последовательных циклах. При значениях угла наклона расходной характеристики форсунки, близких к нулю, фазы и продолжительность подачи, а также подача топлива за цикл изменяются незначительно.
5. Эффект от периодической цикловой нестабильности ТА и разнобой последовательных циклов выражаются в различной продолжительности впрыскивания, в уровнях давлений топлива, величинах подъема иглы распылителя и т. п. Это существенно влияет на рабочий процесс дизеля и на величину нестабильности частоты вращения, которая регламентируется согласно ГОСТу.
6. Применение предложенного критерия оценки нестабильности впрыскивания в ТА дизелей дает возможность в процессе доводки дизеля решить проблему взаимоперетекания электрической мощности при параллельной работе дизель-электри-ческих агрегатов переменного тока.
7. Использование приведенных материалов позволяет решить актуальную задачу дизелестроения в части повышения качества работы судовых дизелей посредством обеспечения устойчивых минимальных оборотов холостого хода и под малой нагрузкой. При этом возможно снижение минимально устойчивых оборотов с расширением рабочего диапазона дизелей при экономии топлива и ресурса дизеля.
8. Наиболее эффективно применение вышеприведенного материала при исследовании ТА на стадии проектирования на базе компьютерного математического моделирования различных конструктивных вариантов создаваемой системы топливоподачи, что позволит улучшить качество функционирования ТА и дизелей.
1. Astakhov I. V., Trusov V. I., Khachiian A. S. i dr. Podacha i raspylivanie topliva v dizeliakh [Fuel supply and spraying in diesel engines]. Moscow, Mashinostroenie Publ., 1972. 359 p.
2. Astakhov I. V., Golubkov L. N. Vliianie na protsess vpryska topliva ostatochnogo razrezheniia v toplivnoi sisteme dizelia [The effect of residual dilution in the diesel fuel system on the fuel injection process]. Avtomobil'naia promyshlennost', 1968, no. 5, pp. 9-12.
3. Gorelik G. B., D'iachenko N. Kh., Pugachev B. P. Razrabotka utochnennoi matematicheskoi modeli toplivovpryskiva-iushchei apparatury dizelei [Development of a refined mathematical model of diesel fuel injection equipment]. Trudy Lenin-gradskogo politekhnicheskogo instituta. Energomashinostroenie, 1968, no. 297, pp. 107-109.
4. Gorelik G. B., Pugachev B. P. Stabil'nost' posledovatel'nykh tsiklov podachi topliva zakrytymi forsunkami pri chas-tichnykh rezhimakh raboty dvigatelei [Stability of successive fuel supply cycles with closed injectors in partial engine operating modes]. Trudy Leningradskogo politekhnicheskogo instituta. Energomashinostroenie, 1969, no. 310, pp. 77-79.
5. Gorelik G. B., D'iachenko N. Kh., Magidovich L. E., Pugachev B. P. Rabota toplivopodaiushchei apparatury dizelei pri chastichnykh i perekhodnykh rezhimakh [Operation of diesel fuel supply equipment in partial and transient modes]. Trudy Leningradskogo politekhnicheskogo instituta. Energomashinostroenie, 1969, no. 316, pp. 57-64.
6. Krutov V. I., Komarov G. A. Vliianie konstruk-tivnykh parametrov toplivopodaiushchei apparatury na ee dinamicheskie svoistva [The influence of the design parameters of the fuel supply equipment on its dynamic properties]. Izvestiia vysshikh uchebnykh zavedenii. Mashinostroenie, no. 9, 1975, pp. 100-104.
7. Balakin V. I., Eremeev A. F., Semenov B. N. Toplivnaia apparatura bystrokhodnykh dizelei [Fuel equipment for high-speed diesels]. Leningrad, Mashinostroenie Publ., 1967. 300 p.
8. Konks G. A., Lashko V. A. Mirovoe sudovoe dizelestroenie. Kontseptsiia konstruirovaniia, analiz mezhdunarodnogo opyta: uchebnoe posobie [Global marine diesel engineering. Design concept, analysis of international experience: a textbook]. Moscow, Mashinostroenie Publ., 2005. 512 p.
9. Gorelik G. B., Sokolov V. V. Vliianie regulirovki nasosa vysokogo davleniia dizelei AMZ na kharakteristiku top-livopodachi i parametry vpryska [The effect of adjusting the high-pressure pump of AMZ diesels on the fuel supply character-istics and injection parameters]. Trudy Tsentral'nogo nauchno-issledovatel'skogo i konstruktorskogo instituta, 1969, iss. 69, pp. 24-27.
10. Gorelik G. B. Perspektivy razvitiia toplivnoi apparatury dizelei i zadachi po ee usovershenstvovaniiu [Prospects for the development of diesel fuel equipment and tasks for its improvement]. Nauchnoe obespechenie tekhnicheskogo i sotsial'nogo razvitiia Dal'nevostochnogo regiona: sbornik nauchnykh statei k 60-letiiu Tikhookeanskogo gosudarstvennogo universiteta. Khabarovsk, Izd-vo TOGU, 2018. 6 p.
11. Gorelik G. B., Magidovich L. E., Pugachev B. P. Eksperimental'noe issledovanie ostatochnogo davleniia i ego vliianiia na protsess toplivopodachi [Experimental study of residual pressure and its effect on the fuel supply process]. Trudy Nauchno-issledovatel'skogo instituta informatsii po tiazhelomu energeticheskomu i transportnomu mashinostroeniiu. Dvigateli vnutren-nego sgoraniia, 1969, no. 4,pp. 36-37.



