Russian Federation
Russian Federation
The influence of a uniaxial distributed load in the plane of a thin rectangular plate on the value of the first natural frequency of its oscillations has been studied. We considered a plate, two opposite faces of which are clamped, and the other two are free (CFCF-plate, C-clamped edge, F-free edge). The load is applied to the clamped edges. The main differential equation for the coordinate component of the deflection function and all the boundary conditions of the problem are fulfilled exactly using two hyperbolic-trigonometric series in two coordinates and an additional function depending on one variable x. The problem was reduced to an infinite system of linear algebraic equations with respect to one sequence of uncertain coefficients, containing as parameters the magnitude of the load and the frequency of oscillations. For a number of load values, the natural frequencies of oscillations were found by enumerating frequency values in combination with the method of successive approximations when solving a reduced system of linear algebraic equations. To ensure acceptable accuracy of calculations, the number of terms in the series (the size of the reduced system), the number of iterations and the number of significant digits in the mantissa when calculating non-trivial coefficients of the system were changed. A square plate was considered as an example. Based on the calculation results, a graph was constructed of the dependence of the first natural frequency of oscillations on the magnitude of tension-compression forces, which is a curve close to a parabola. Under Eulerian compressive load, the oscillations stop. The shapes of natural vibrations changed slightly and were similar to the shape of the curved surface of a plate under the action of a uniform transverse load. The purpose of this study is to create an effective algorithm for calculating the natural frequencies of oscillations of a CFCF-plate when the uniaxial tensile-compression load of its clamped faces changes.
CFCF-plate, natural vibrations, stretching-compression, compressive load
Введение
Тонкие CFCF-пластинки (наряду с CFFF, CCCC-пластинками) используются в микроэлектронике, smart-конструкциях в качестве чувствительных элементов различных датчиков. Эти пластинки могут находиться под действием плоских внешних или внутренних электрических или магнитных полей, совершая при этом свободные колебания. При изменении усилий растяжения-сжатия собственная частота колебаний будет меняться и через сенсоры, актуаторы вызывать тот или иной отклик управляющей системы. Проблема определения собственных частот колебаний при сжимающей нагрузке в ее плоскости рассматривалась в работах [1–5], однако лишь некоторые исследования имеют численные результаты для CFCF-пластинки при одноосном растяжении-сжатии.
В работе [1] решение получено при использовании тригонометрических и гиперболических функций и принципа виртуальной работы. Приведены численные результаты собственных частот ортотропной CFCF-пластинки при сжатии по защемленным граням. В работе [2] использовался асимптотический метод и аналогичные базовые функции для вычисления собственных частот, однако численные результаты не представлены.
Статья [3] посвящена собственным колебаниям ортотропного графенового листа в упругой среде при двухосной нагрузке в его плоскости. Задача рассматривалась в рамках нелокальной теории упругости. Разрешающие уравнения решались методом дифференциальных квадратур для различных граничных условий.
В работе [4] получены замкнутые решения для прямоугольных нанопластин при двухосном сжатии сторон (с одинаковой интенсивностью) в рамках нелокальной теории Эрингена. Исследована зависимость собственных частот и критических сил от нелокального параметра нанопластины. Численные результаты получены при различных условиях опирания пластинки, в том числе и для CFCF-пластинки.
Работа [5] посвящена колебаниям защемленной пластины при двухосном сжатии ее сторон. Показано, что частоты колебаний убывают по параболическому закону с ростом сжимающей нагрузки до ее эйлерова значения. Использовался тот же метод исследования, что и в настоящей работе, который также успешно применялся авторами в работах [6, 7].
Отметим и обзорную работу [8], посвященную колебаниям и устойчивости пластинок из функционально градуированного материала, которые находят широкое применение в полупроводниковой технике и биомеханике.
Математическая постановка задачи
Пусть прямоугольная CFCF-пластинка постоянной толщины h с размерами a и b в плане совершает свободные колебания и при этом сжимается (растягивается) по защемленным граням равномерно распределенными усилиями интенсивности TX (рис. 1).

Рис. 1. Схема нагружения CFCF-пластинки
Fig. 1. CFCF plate loading scheme
Требуется определить зависимость собственных частот колебаний от величины TX усилий растяжения-сжатия.
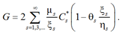
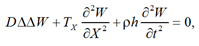
Основное уравнение задачи [9] имеет вид
(1)
где D – упругая постоянная (жесткость) пластинки, кГ·м; ΔΔ – двумерный бигармонический оператор; W(X, Y, t) – нормальная деформация срединной поверхности (прогиб), м, t – время, с; ρ – плотность вещества пластинки, кг/м3.
В безразмерных координатах x = X / b, y = Y / b уравнение (1) перепишется следующим образом:
(2)
где Tx = TXb2 / D – безразмерная интенсивность сжатия (при растяжении меняется знак); η2 = ρhb4 / D; размеры пластинки: x ∈ [–γ / 2; γ / 2], y ∈ [–1 / 2; 1 / 2], γ = a / b – отношение сторон.
Граничные условия [9]:
(3)

где My, Vy – безразмерные изгибающие моменты и перерезывающие силы соответственно; ν – коэффициент Пуассона.
Заметим, что задача математической физики (2)–(4) имеет тривиальное решение, но здесь требуется найти отличную от нуля функцию W (x, y, t), удовлетворяющую условиям (2)–(4), а также начальным условиям для поля перемещений и скоростей всех точек пластины, которые должны быть заданы для конкретной задачи колебаний пластинки.
Метод решения
В искомой функции прогибов разделим переменные [9]:
W (x, y, t) = w* (t) w (x, y), (5)
где w(x, y) – координатная функция с граничными условиями (3), (4), а функция времени представлена выражением
w*(t) = Asin(pt + φ), (6)
в котором A, φ – произвольные постоянные, которые должны определяться из заданных начальных условий; p – искомая частота собственных колебаний пластинки. С учетом (5), (6) из уравнения (2) получим для координатной функции прогибов уравнение [9]
(7)
где Ω = pη – безразмерная частота собственных колебаний пластинки.
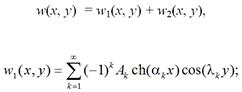
Функцию w(x, y) будем разыскивать в следующем виде:
w(x, y) = w1(x, y) + w2(x, y), (8)
где
(9)
(10)
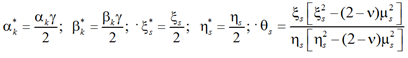
где k = 1, 2, 3…; s* = (s + 1) / 2; коэффициенты Ak, Cs, αk, ξs подлежат определению; λk = 2πk; μs = πs / γ.
Заметим, что первая форма собственных колебаний должна быть симметричной относительно обеих осей координат, поэтому здесь используются четные функции.
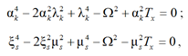
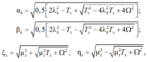
Коэффициенты αk, ξs найдем при подстановке (9) и (10) в уравнение (7):

отсюда находим пары корней
где вторые значения искомых корней αk и ξs обозначены через βk и ηs соответственно.
В силу четности функций соответствующие отрицательные корни не рассматривались.
Функции (9), (10) перепишутся теперь в следующем виде:
(11)
(12)
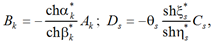
Здесь добавились слагаемые с коэффициентами Bk и Ds.
Заметим, что функция w2(x, y) автоматически дает нулевые прогибы граней x = ±γ / 2, а функция w1(x, y) – нулевые перерезывающие силы на гранях y = ±1 / 2. Чтобы функция w1(x, y) также не давала прогибов защемленных граней, а функция w2(x, y) обеспечивала нулевые перерезывающие силы на свободных гранях, коэффициенты рядов (11) и (12) должны быть связаны соотношениями
![]()
где
.
Тогда искомая функция прогибов (8) примет вид
(13)
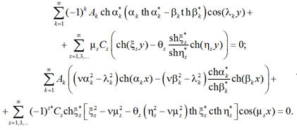
Удовлетворяя теперь второму условию (3) и первому условию (4), получим систему
(14)
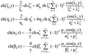
Преобразуем систему (14). Для этого в первом уравнении разложим гиперболические функции в ряды Фурье по cos(λky), а во втором уравнении – по cos(μsx). Воспользуемся разложениями [10]:
(15)
При подстановке первых двух разложений (15) в первое уравнение (14) в нем появится свободный член
. (16)
Для устранения полученной невязки добавим к функции (13) дополнительный прогиб:
w0(x) = Rch(ωx), (17)
где R, ω – неопределенные коэффициенты.
Подчиним функцию (17) основному уравнению задачи (7). Тогда
![]()
откуда

Функция (17) запишется теперь в виде суммы двух слагаемых:
(18)
Потребуем от функции (18) выполнения граничных условий при x = ±γ / 2, тогда

где ω1* = ω1γ / 2, ω2* = ω2γ / 2.
Из этой системы получаем

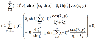
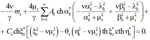
Первое уравнение (14) без свободных членов примет вид

а после перестановки знаков суммирования по индексам k и s и освобождения затем от знака суммирования по индексу k получим
(19)
Функция (18) нарушает первое условие (4) на гранях y = ±1 / 2:
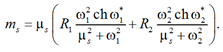
Разложим эту невязку в ряд Фурье по cos(μsx). По аналогии с последней формулой (15) имеем

где вместо ω надо подставить ω1 или ω2; тогда
(20)
где

Подставим теперь две последние формулы (15) во второе уравнение (14) и добавим невязку (20):

что затем приводит это уравнение к виду
(21)
Из уравнения (19) следует, что
, (22)
где введены обозначения:
.
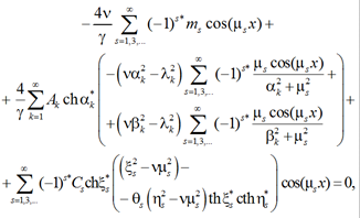
Из уравнения (21) получаем
(23)
и тогда выражение (16) примет вид
. (24)
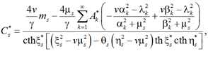
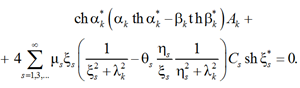
Выражение (23), с учетом (22) и (24), представляет собой бесконечную однородную систему линейных алгебраических уравнений для одной последовательности коэффициентов В качестве основных параметров она содержит искомую частоту собственных колебаний Ω и интенсивность усилий Tx в плоскости пластины. Эту частоту при заданном значении Tx можно найти из условия равенства нулю определителя системы (23), что является отдельной трудоемкой задачей.
В данном случае использовался не традиционный метод отыскания корней определителя системы (23), а итерационный процесс [5] вычисления нетривиальных коэффициентов в сочетании с методом перебора частотного параметра Ω. Стандартная форма бесконечной системы (23), когда искомые коэффициенты присутствуют отдельно в ее левой части и под знаками сумм в правой части, позволяет легко организовать вычислительный процесс последовательных приближений. Начальные значения коэффициентов можно назначить произвольно, например, для сжимающей нагрузки = 1 / μ2s.
Коэффициенты редуцированной системы (23), число уравнений которой менялось, выводились на печать на каждой итерации. Если соответствующие нетривиальные коэффициенты, начиная с некоторой итерации, не отличались друг от друга, то данная частота принималась за собственную (при заданной нагрузке).
Приведем окончательное выражение для функции прогибов пластинки:
(25)
Численные результаты. Обсуждение
Вычисления производились в системе аналитических вычислений Maple по программе, которая позволяла менять коэффициент Пуассона, отношение сторон пластины, безразмерную величину сжимающей (растягивающей) нагрузки, безразмерную частоту колебаний, число членов в рядах (размер редуцированной системы), число итераций и количество значащих цифр в мантиссе чисел при вычислениях. Окончательно число членов в рядах принималось равным 90, число итераций – 20, количество значащих цифр при вычислениях – 40.
В таблице приведены полученные собственные относительные частоты колебаний квадратной пластины для ряда значений сжимающих и растягивающих усилий. Коэффициент Пуассона был принят равным 0,3.

|
Tx |
–10* |
–5 |
0 |
1 |
3 |
4 |
10 |
15 |
|
Ω |
24,775 |
23,51045 |
22,1653 |
21,8854 |
21,3133 |
21,0208 |
19,1634 |
17,4509 |
|
Tx |
22 |
27 |
33 |
35 |
37 |
38 |
38,6752 |
– |
|
Ω |
14,6938 |
12,3261 |
8,6216 |
6,9460 |
4,6950 |
2,9825 |
0 |
– |
* Отрицательные Tx являются растягивающими усилиями.
Следует отметить, что для сжимающих усилий функция прогибов на соответствующих собственных частотах была вещественной, но при растягивающих усилиях она получалась комплексной ввиду сложности граничных условий задачи (наличие свободных краев), поэтому для получения вещественного решения последовательность C*s0 = 1 / μ2s умножалась еще и на комплексно-сопряженное выражение при Cs в формуле (16), с использованием оператора Maple conjugate(d[s]), где
.
Вывод об этом был сделан на основании того, что начальные значения коэффициента G (16) оказались комплексными для растягивающих усилий. Заметим, что искомые коэффициенты функции (25) находятся с точностью до постоянного множителя (одинакового для всех коэффициентов) в силу линейности и однородности основного уравнения (1) задачи.
По данным таблицы в системе Maple был построен график зависимости Ω = f (Tx), который представляет собой кривую, близкую к параболе (рис. 2), вершиной которой является значение эйлеровой сжимающей нагрузки Txэ = 38,6752.

Рис. 2. Зависимость частоты собственных колебаний квадратной CFCF-пластины
от величины сжимающей (растягивающей) нагрузки Тх, приложенной к защемленным граням
Fig. 2. Dependence of the natural oscillation frequency of a square CFCF plate
on the magnitude of the compressive (tensile) load Tx applied to the pinched faces
Это значение близко к значению Txэ = 39,321 (расхождение 1,6 %), полученному в работе [11], в которой для определения критических нагрузок использовался метод конечных элементов с усовершенствованным 9-узловым элементом. Задача решалась по уточненной теории Рейсснера – Миндлина, учитывающей деформацию поперечного сдвига (пластины средней толщины).
С ростом сжимающей нагрузки частота собственных колебаний уменьшается и при критическом значении обращается в нуль, т. е. колебания отсутствуют. Наоборот, с уменьшением сжатия частота увеличивается. При отсутствии нагрузки получили частоту свободных колебаний Ω = 22,1653. Последнее значение хорошо совпадает со значением Ω = 22,1166 (расхождение 0,2 %), полученным в работе [10].
График позволяет приближенно найти собственную частоту колебаний пластины при других значениях сжимающей нагрузки, а затем с помощью вычислительной программы быстро уточнить ее.
При отыскании собственных частот в системе Maple строились и соответствующие 3D-формы равновесия. На рис. 3 представлена форма свободных колебаний при отсутствии нагрузки, а на рис. 4 – форма потери устойчивости при эйлеровой нагрузке, где по вертикальной оси откладывались прогибы w.

Рис. 3. Форма свободных колебаний при Tx = 0, Ω = 22,1653
Fig. 3. The shape of free oscillations at Tx = 0, Ω = 22.1653

Рис. 4. Форма потери устойчивости
при Tx = 38,6752, Ω = 0
Fig. 4. The form of loss of stability
at Tx = 38.6752, Ω = 0
Отметим, что все полученные формы подобны изогнутой поверхности пластинки при изгибе равномерным давлением. С ростом сжимающей нагрузки на защемленные грани немного уменьшались амплитуды.
Заключение
Полученные результаты могут быть использованы при проектировании тонких и сверхтонких пластинок (мембран и нанопластин) в качестве чувствительных элементов различных датчиков в смарт-конструкциях. При изменении усилий растяжения-сжатия плоскости пластинки меняются собственные частоты ее колебаний, что вызывает соответствующий отклик управляющей системы.
Предложенный метод позволяет находить собственные частоты и для пластинок с другими граничными условиями.
1. Kshirsagar S., Bhaskar K. Accurate and elegant free vibration and buckling studies of orthotropic rectangular plates using untruncated infinite series. Journal of Sound and Vibration, 2008, vol. 314, pp. 837-850.
2. Banichuk N. V., Barsuk A. A., Ivanova S. Iu. Asimptoticheskii analiz svobodnykh kolebanii i ustoichivosti rastianutykh i szhatykh uprugikh polos i priamougol'nykh plastinok [Asymptotic analysis of free oscillations and stability of stretched and compressed elastic bands and rectangular plates]. Problemy prochnosti i plastichnosti, 2010, iss. 72, pp. 93-99.
3. Mohammadi M., Goodarzi M., Ghayour M., Alivand S. Small scale effect on the vibration of orthotropic plates em-bedded in an elastic medium and under biaxial in-plane pre-load via nonlocal elasticity theory. Journal Solid Mechanics, 2012, vol. 4, no. 2, pp. 128-143.
4. Wang Z., Xing Y., Sun Q., Yang Y. Highly accurate closed-form solutions for free vibration and eigenbuckling of rectangular nanoplates. Composite Structures, 2018, vol. 210, p. 28.
5. Sukhoterin M. V., Glukhikh V. N., Voitko I. V., Pastushok E. M. Kolebaniia zashchemlennoi priamougol'noi plastiny pri rastiazhenii-szhatii ee ploskosti [Vibrations of a pinched rectangular plate during tension-compression of its plane]. Stroitel'naia mekhanika i raschet sooruzhenii, 2023, no. 3, pp. 7-14.
6. Sukhoterin M. V., Potekhina E. V., Annenkov L. V. Opredelenie spektra kriticheskikh nagruzok i form ravnovesiia szhatykh panelei obshivki korpusa sudna [De-termination of the spectrum of critical loads and forms of equilibrium of compressed hull cladding panels]. Vestnik gosudarstvennogo universiteta morskogo i rechnogo flota im. admirala S. O. Makarova, 2014, no. 2 (24), pp. 44-51.
7. Baryshnikov S. O., Sukhoterin M. V., Knysh T. P. Ustoichivost' vneshnikh konsol'nykh elementov glubokovodnykh apparatov [Determination of the spectrum of critical loads and forms of equilibrium of compressed hull cladding panels]. Vestnik gosudarstvennogo universiteta morskogo i rechnogo flota im. admirala S. O. Makarova, 2020, no. 2, pp. 347-358.
8. Swaminathan K., Naveenkumar D. T., Zenkour A. M., Carrera E. Stress, vibration and buckling analyses of FGM plates. A state-of-the-art revive. Composite Structures, 2015, vol. 120, pp. 10-31.
9. Lekhnitskii S. G. Anizotropnye plastinki [Anisotropic plates]. Moscow, Leningrsad, Izd-vo OGIZ–GITTTL, 1947. 355 p.
10. Sukhoterin M. V., Lalin V. V., Kondrat'eva L. N., Baryshnikov S. O., Voitko I. V. Svobodnye kolebaniia priamougol'noi plastiny s zashchemlennymi protivopolozhnymi kraiami (CFCF-plastina) [Free vibrations of a rectangular plate with pinched opposite edges (CFCF plate)]. Nauchno-tekhnicheskie vedomosti Sankt-Peterburgskogo gosudarstvennogo politekhnicheskogo universiteta. Fiziko-matematicheskie nauki, 2023, vol. 16, no. 1, pp. 51-64.
11. Lee S. J. Buckling analysis of rectangular plates us-ing an enhanced 9-node element. Architectural Research, 2016, vol. 18, no. 3, pp. 113-120.



