Russian Federation
Russian Federation
Russian Federation
Russian Federation
The chemical reactor is the main and most complex object in the management of the technological process of polymerization. When designing chemical reactors, it is necessary to select design and operating parameters that will be able to provide the only or most stable state with the specified process characteristics. To study the stability of the ethylene polymerization process in an autoclave reactor with a stirrer, it is necessary to build a mathematical model based on the analysis of the physico-chemical laws of the process and search for the necessary steady-state conditions for the reactor. A solution based on a deterministic mathematical model of ethylene polymerization is proposed. The description of the process of polymer molecule formation, which includes the stages of initiation, growth and chain breakage; the mechanism of chemical kinetics of ethylene polymerization; a system of assumptions to simplify the construction of a mathematical model. The mathematical model of an ethylene polymerization reactor in an autoclave reactor with a stirrer is a system of differential equations. When calculating the static reactor mode, the mathematical description contains a system of nonlinear algebraic equations, the solution of which is implemented using numerical methods. It is noted that chemical reactors can have not one, but several stationary states at the same values of variables and parameters. Knowing the coordinates of the stationary states of the chemical process, you can choose the one that is more preferable from the point of view of productivity or the quality of the products produced. As a result of the simulation, the existence of a single solution under the conditions found that ensure a stable stationary state of the chemical ethylene polymerization reactor is confirmed.
autoclave reactor, mathematical model of reactor, ethylene polymerization, stability of chemical reactor, monomer, initiator, stationary state
Описание процесса полимеризации
Процесс полимеризации этилена осуществляется в автоклавном реакторе с перемешивающим устройством. Реактор снабжен рубашкой, в которую подается охлаждающий воздух. Этилен поступает в реактор одновременно с инициатором для инициирования реакции полимеризации этилена.
Температура в реакторе регулируется изменением расхода этилена и инициатора в зависимости от применяемого инициатора и выпускаемой марки полиэтилена.
В реакторе осуществляется процесс образования высокомолекулярного вещества (полимера) путем взаимного соединения большого числа молекул исходного низкомолекулярного вещества (мономера), включающего следующие стадии [1]:
1) инициирование – образование первичного свободного радикала:
;
2) рост цепи – последовательное присоединение к радикалу молекул мономера с сохранением свободной валентности на конце растущей молекулы:

3) обрыв цепи – прекращение роста молекулы (взаимодействие двух растущих радикалов с образованием одной или двух неактивных молекул полиэтилена рекомбинацией или диспропорционированием):
– рекомбинацией:
![]()
– диспропорционированием:
![]()
Если через M обозначить мономер (этилен), инициатор через I, радикал (активную молекулу) через X, а полимер через P, то схематически реакцию полимеризации можно изобразить:
– как инициирование:
;
– рост цепи:
![]()

– обрыв цепи:
![]()
где индекс, стоящий при X, определяет степень полимеризации (т. е. длину цепи), а wi, wri , wo – скорости реакций инициирования, роста и обрыва цепи соответственно.
Система допущений
При образовании полимеров, мольные массы которых велики, с хорошим приближением можно принять, что скорости реакций роста радикала, имеющего i-ю степень полимеризации wri, не зависят от степени полимеризации, т. е. wri = wr при любом i [1]. Это позволяет ввести суммарную концентрацию всех радикалов
и упростить схему реакций полимеризации следующим образом:

![]()
Через X обозначены все радикалы, независимо от числа молекул мономера, входящих в их состав, т. е. от степени полимеризации.
Так как число молекул мономера, участвующих при инициировании в реакции с первичным радикалом, очень мало по сравнению с числом молекул мономера, участвующих в росте цепи (инициатор вводится в количестве до 1 % от массы мономера), примем допущение о том, что мономер расходуется только на полимеризацию [1].
В предположении об идеальности перемешивания и постоянном давлении автоклавный реактор полимеризации можно представить как аппарат идеального смешения. Схема потоков в реакторе полимеризации показана на рис. 1.

Рис. 1. Схема потоков в реакторе: vM, vI – объемные расходы мономера и инициатора соответственно, м3/с;
– массовые концентрации мономера и инициатора на входе реактора, кг/м3;
CI, CM, CX – массовые концентрации инициатора, мономера и активных молекул на выходе реактора;
– температура входных и выходного потоков реактора, °С; V – реакционный объем, м3
Fig. 1. Flow diagram in the reactor: vM, vI – volume flow rates of the monomer and initiator, respectively, m3/s;
– mass concentrations of the monomer and initiator at the reactor inlet, kg/m3;
CI, CM, CX – mass concentrations of the initiator, monomer and active molecules at the reactor outlet;
– temperature of the inlet and outlet flows of the reactor, °C; V – reaction volume, m3
Нагрев перед пуском и охлаждение реактора в процессе полимеризации этилена осуществляется воздухом через поверхность рубашки. Вследствие небольшого объема реактора примем допущение, что температура охлаждающего воздуха в рубашке одинакова во всем объеме.
Теплофизические свойства потоков (тепловой эффект реакции, удельные теплоемкости, плотности и т. п.) будем считать постоянными, не зависящими от состава потоков.
Математическое описание реактора
По закону действующих масс скорость химической реакции инициирования wi можно представить как
,
где ki
– константа скорости инициирования; Ei
– энергия активации реакции инициирования; R – универсальная газовая постоянная; T – температура.
Скорость химической реакции роста цепи wr выражается уравнением
, (1)
где kr – константа скорости роста цепи; Er – энергия активации реакции роста цепи.
Скорость химической реакции для обрыва цепи wo запишем как
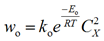
,
где ko – константа скорости обрыва цепи; Eo
– энергия активации реакции обрыва цепи.
Так как реактор проточный и на его входы подаются мономер и инициатор, то уравнения материального и теплового баланса по этим веществам можно представить в виде модели идеального смешения для непрерывного реактора.
Так, уравнение материального баланса по инициатору можно представить в виде
,
где t – время.
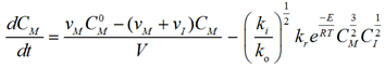
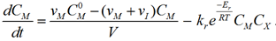
Уравнение материального баланса по мономеру с учетом того, что мономер расходуется только на реакцию полимеризации, можно представить в виде уравнения
.
Уравнение материального баланса по радикалу выглядит следующим образом:
, (2)
где
– концентрация радикалов (активных молекул) на входе в реактор.
Примем допущение, что нет накопления радикалов в объеме реактора (
), т. е. все образующиеся радикалы расходуются на реакцию полимеризации (условие квазистационарности [2–4]), и поскольку нет радикалов во входных и выходном потоке, уравнение (2) примет вид
![]()
или
.
Отсюда можно выразить концентрацию радикалов
.
Тогда уравнение скорости химической реакции роста цепи (1) можно представить как
. (3)
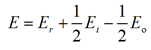
В уравнении (3) выражение
есть константа скорости полимеризации k, а E – суммарная энергия активации процесса полимеризации, которая находится как
.
С учетом выражения скорости реакции (3) материальный баланс по мономеру примет вид
.
Уравнение теплового баланса будет иметь вид

где kt – коэффициент теплопередачи, Дж/(м2∙с∙°C); F – поверхность теплообмена, м2; ρ – плотность потока, кг/м3; cρ – удельная теплоемкость потока, Дж/(кг∙°C); Tv – температура воздуха в рубашке реактора; Q – тепловой эффект реакции полимеризации, Дж/моль.
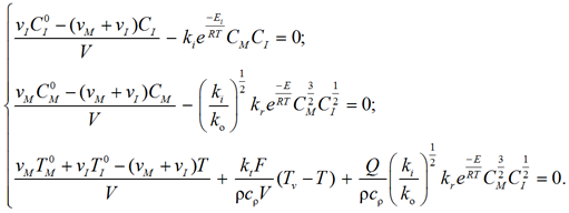
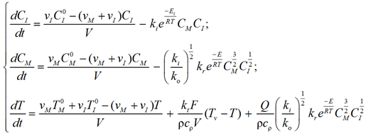
В итоге математическая модель реактора представляет систему из трех обыкновенных дифференциальных уравнений
(4)
с начальными условиями
![]()
(5)
и одного конечного уравнения
. (6)
Математическая модель реактора полимеризации (4)–(6) содержит начальные условия (5), которые неизвестны и могут быть определены из решения уравнений модели статики. При расчете статического режима производные дифференциальных уравнений в модели приравниваются к нулю и математическое описание переходит в систему нелинейных алгебраических уравнений следующего вида:
(7)
Получение решения уравнений модели не вызывает каких-либо трудностей и может быть реализовано с помощью известных численных методов. Так, для решения системы нелинейных алгебраических уравнений (7) использовался метод Ньютона – Рафсона, а для решения систем дифференциальных уравнений (4) – метод Рунге – Кутта 4-го порядка.
Устойчивость химического реактора полимеризации
Химические реакторы могут иметь не одно, а несколько стационарных состояний при одних и тех же значениях переменных и параметров. Под стационарным состоянием понимается как установившийся режим динамической системы (статика), так и режим термодинамического равновесия, когда все макропроцессы прекращены и система находится в режиме равновесия [5–7]. В обоих случаях выходные переменные – концентрации компонентов и температуры потоков – не меняются во времени.
Основным фактором, влияющим на устойчивость реактора полимеризации этилена в автоклавном реакторе с мешалкой, является температура. Так, в химическом реакторе для экзотермического процесса необходимо обеспечить нужное отведение тепла, т. е. выделяемое в процессе реакции тепло должно быть равно отводимому теплу.
На рис. 2 приведены графики выделяемого Qв и отводимого Qo тепла (экспоненциальная зависимость и прямые параллельные линии соответственно).

Рис. 2. Количество выделяемого и отводимого тепла при проведении экзотермической реакции
Fig. 2. The amount of heat released and removed during an exothermic reaction
На рисунке видно, что отводимое тепло Qo связано с температурой линейной зависимостью. Действительно, в выражении для отводимого тепла
конструктивные параметры kt, F, V и входная переменная Tv постоянны. Выделяемое же тепло Qв, которое находится как
, зависит от температуры Т нелинейно.
В общем случае возможны:
– отсутствие решения (линии Qв и Qo не пересекаются);
– единственное решение (одна точка пересечения);
– два или три решения (две или три точки пересечения).
Расчетная множественность стационарных состояний лишь означает, что реальный процесс «выберет» одно из них, наиболее устойчивое.
При проектировании реактора подбирают такие конструктивные и режимные параметры, которые обеспечивают единственное или наиболее устойчивое состояние при заданных характеристиках процесса. Найдем условия, обеспечивающие устойчивое стационарное состояние для реактора полимеризации этилена.
Определим вначале, является ли стационарное состояние непрерывной произвольной функции f(x), удовлетворяющей условию f(x) = 0, единственным. При наличии, по крайней мере, двух решений f(x1) = 0 и f(x2) = 0 в области [x1, x2] должна быть промежуточная точка x, при которой
. Если удастся доказать, что в исследуемой области
это будет означать отсутствие или единственность решения [6].
Для объекта, описываемого системой уравнений (7), или в общем виде
![]()
применить это условие затруднительно, поэтому применяются приемы, позволяющие перейти
к функции одной переменной.
Из системы уравнений (7) видно, что с реакцией полимеризации этилена связаны концентрации инициатора, мономера и температуры. Выразим из второго уравнения системы (7) концентрацию инициатора CI, получим
.
Подставим полученное выражение во второе уравнение системы (7) вместо CI:

Теперь скорость реакции полимеризации этилена зависит только от концентрации мономера и температуры и выражается уравнением
.
Представим второе и третье уравнения системы (7) в следующем виде:
(8)
(9)
Выразим wr из уравнения (8) и подставим в уравнение (9):

Выразим из него концентрацию мономера CM:

тогда

Таким образом,
.
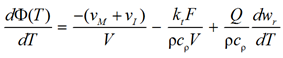
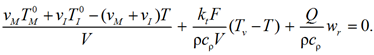
Запишем уравнение теплового баланса (9) в виде

Продифференцируем Φ по Т:
. (10)
Продифференцируем wr по Т:

и подставим полученное выражение в (10). Если

то
, и система имеет несколько стационарных состояний. Если же
(11)
то возможно только одно стационарное состояние.
Найденное условие позволяет обеспечить устойчивое стационарное состояние реактора, выбирая соответствующим образом конструктивные параметры kt, F, V и входные переменные
.
В таблице приведены числовые данные при моделировании процесса полимеризации этилена в автоклавном реакторе с мешалкой (кинетические константы взяты из работы [5]).
Значения входных переменных и констант реактора и модели
Values of input variables and constants of the reactor and model
|
Показатель |
Значение |
Показатель |
Значение |
|
Объемный расход мономера, м3/c |
0,0037 |
Константа инициирования, м3/кг∙с |
2 ∙ 1016 |
|
Концентрация мономера, кг/м3 |
445 |
Константа роста цепи, м3/кг∙с |
1 000 |
|
Объемный расход инициатора, м3/c |
5,12 ∙ 10–4 |
Константа обрыва цепи, м3/кг∙с |
1 |
|
Концентрация инициатора, кг/м3 |
1,2 |
Энергия активации инициирования, Дж/моль |
45 000 |
|
Температура мономера, К |
310 |
Энергия активации роста цепи, Дж/моль |
180 000 |
|
Температура инициатора, К |
293 |
Энергия активации обрыва цепи, Дж/моль |
18 000 |
|
Объем реактора, м3 |
0,25 |
Универсальная постоянная, Дж/моль∙К |
8,31 |
|
Коэффициент теплопередачи, Дж/м2 ∙ с∙°C |
5 |
Тепловой эффект полимеризации, Дж/моль |
96 000 |
|
Поверхность теплообмена, м2 |
15 |
Плотность потока, кг/м3 |
400 |
|
Температура воздуха, К |
293 |
Удельная теплоемкость потока, Дж/кг∙°C |
2 000 |
Согласно расчетам исследуемый реактор имеет единственное стационарное состояние в соответствии с условием (11). Моделирование подтвердило единственность решения при различных начальных приближениях выходных переменных: CI = 6,77 · 10–4 кг/м3, CM = 381 кг/м3, CХ = 2,41 · 10–8 кг/м3, Т = 509 К.
Заключение
Для химических реакторов процесса полимеризации этилена возможно несколько стационарных состояний при одних и тех же значениях переменных и параметров. Зная координаты стационарных состояний химического процесса, можно выбрать то из них, которое обеспечит устойчивое стационарное состояние реактора с точки зрения производительности или качества производимой продукции.
1. Tekhnologiia polimernykh materialov [Technology of polymer materials]. Pod redaktsiei V. K. Kryzhanovskogo. Saint-Petersburg, TsOP «Professiia» Publ., 2011. 536 p.
2. Klimov I. G. Radikal'naia polimerizatsiia etilena v trubchatykh i avtoklavnykh reaktorakh [Radical polymerization of ethylene in tubular and autoclave reactors]. Izvestiia Tomskogo politekhnicheskogo universiteta, 2010, vol. 317, no. 3, pp. 174-177.
3. Sofiev A. E., Iankina I. A. Primenenie matematich-eskogo modelirovaniia dlia postroeniia algoritmov puska i protivoavariinoi zashchity khimicheskikh reaktorov [Application of mathematical modeling to build algorithms for starting and emergency protection of chemical reactors]. Vestnik Tambovskogo gosudarstvennogo tekhnicheskogo universiteta, 2011, vol. 17, no. 1, pp. 17-23.
4. Vafina L. R. Postroenie modeli reaktora polimerizatsii etilena dlia polucheniia polietilena vysokogo davleniia [Construction of a model of an ethylene polymerization reactor for the production of high-pressure polyethylene]. Science Time, 2016, no. 2 (26), pp. 101-104.
5. Vol'ter B. V., Sal'nikov I. E. Ustoichivost' rezhimov raboty khimicheskikh reaktorov [Chemical reactors operating modes stability]. Moscow, Khimiia Publ., 1981. 200 p.
6. Zhorov Iu. M. Modelirovanie fiziko-khimicheskikh protsessov neftepererabotki i neftekhimii [Modeling of physico-chemical processes of oil refining and petrochemistry]. Moscow, Khimiia Publ., 1978. 376 p.
7. Perlmutter D. Ustojchivost himicheskih reaktorov [Chemical reactors stability]. Pod redaktsiei N. S. Gurfeina. Leningrad, Khimiia Publ., 1976. 256 p.



