Russian Federation
A stream of water is used in flushing ship systems and their elements. To increase the efficiency of the process, a two-phase pulsating flow can be used. This method of flushing intensification brings tangible results, but currently has a number of unsolved problems. One of these problems is the question related to the determination of energy costs for the transportation of a two-phase mixture. The energy costs for transporting the flow depend on the magnitude of pressure losses due to friction and on the orientation of the pipeline sections in space. An attempt was made to estimate the pressure loss during transportation of a mixture of water and air through a flushed pipeline. The main theoretical dependencies are determined: mixture density, velocities of various phases of the flow, volumetric and mass flow rates, mixture flow rate on volumetric and mass water-air content. A theoretical substantiation is given for determining the pressure loss during the movement of a two-phase flushing medium depending on the concentration of the gas (air) phase in the mixture. When determining pressure losses, a homogeneous model of a two-phase mixture was used as the most suitable for the flushing mode with a two-phase pulsating flow. The main calculated dependences for calculating the pressure losses for the transport of a two-phase mixture in horizontal and vertical sections of pipelines of constant internal diameter are determined. The dependence of pressure losses on gas content in horizontal and vertical sections of pipelines has been established. An assessment of the pressure loss during flushing with a two-phase flow in differently oriented sections of ship pipelines was carried out in order to determine the further effectiveness of this flushing method.
friction pressure loss, two-phase flow, flushing of ship pipelines, two-phase flow structure, pipeline
Введение
Проведение промывочных работ с целью очистки судовых трубопроводов свидетельствует о том, что мелкие частицы загрязнений вымываются крайне сложно и длительно [1], поэтому процесс промывки могут прекратить в связи с продолжительностью цикла промывочных работ даже в случае, когда не достигнута требуемая чистота. Мелкие частицы загрязнений могут оставаться внутри полостей трубопроводов и оказывать влияние на дальнейшую надежность работы системы. Эффективность и качество промывки судовых систем резко возрастает при проведении интенсификационных мероприятий. Особенно эффективным является метод принудительного аэрирования промывочного потока. Данный способ промывки был достаточно исследован в [2]. Использование двухфазной промывки продемонстрировало хорошие результаты на практике [3]. Тем не менее в [2] не были рассмотрены некоторые аспекты, например вопрос, связанный с возникновением потерь давления при транспортировке двухфазного потока, что является одной из задач, относящихся к транспортировке потока по трубопроводу.
При течении двухфазного потока в трубопроводах потери на трение определяются в зависимости от многих действующих факторов. Наличие пузырьков воздуха в воде, как и присутствие частиц технологических загрязнений, может определять изменение затрат энергии на транспортировку двухфазной смеси. При этом основополагающим фактором является структура двухфазной смеси и ее поведение. Исследование структуры двухфазного потока проводилось экспериментально и устанавливает разницу в горизонтально и вертикально ориентированных трубах [4]. При этом наблюдается существенная разница при различных видах течений в потоках двухфазных смесей. Установлены виды двухфазных потоков жидкостей (по свойствам, соответствующим воде) с распределенными в них газами, примерно равными плотности воздуха, характерные для горизонтальных участков: расслоенный, волновой, пузырьковый, снарядный, эмульсионный, дисперсно-кольцевой. В восходящем вертикальном канале двухфазный поток имеет свои особенности структуры: пузырьковый; снарядный; эмульсионный; дисперсно-кольцевой. Тот или иной режим течения двухфазного потока зависит от соотношения жидкостной и газовой фаз.
С точки зрения эффективности промывочных работ в судовых трубопроводах необходимо достичь определенного устойчивого режима без слияния пузырей и последующего расслоения.
Согласно исследованиям [3], для соблюдения необходимых условий промывки требуется создание пузырькового, пенного или эмульсионного режимов, при котором объемное воздухосодержание составляет примерно 0,075–0,077 при внутреннем избыточном давлении в трубопроводе 5 атмосфер. При малой величине k для создания облегченной модели транспортировки предположим, что в двухфазной смеси в канале отсутствует скольжение фаз относительно друг друга. Таким образом, считаем, что скорости движения фаз незначительно отличаются друг от друга, что можно считать справедливым для гомогенной модели двухфазного потока. Средние скорости при обычной однофазной гидродинамической промывке являются достаточно большими, достигают 3,5 м/с и еще более возрастают по мере вдувания в поток промывочной воды воздуха. Следовательно, для определения потерь давления при транспортировке двухфазной смеси с малым воздухосодержанием будем исходить из предположения, что скорости водной и воздушной фазы равны друг другу, количество воздушной фазы мало, т. е. воспользуемся гомогенной моделью.
Основные теоретические аспекты определения потерь давления при движении двухфазной смеси
Исследования движения двухфазных потоков в основном производились для смеси воды и пара [4]. Проведем аналогию для случая потока воды и воздуха в части движения двухфазной среды по трубопроводам с целью определения потерь давления.
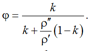
Обозначим объемное воздухосодержание φ, его можно определить по формуле
φ = Qʺ / Qсм,
где Qʺ – осредненное по времени значение объемного расхода воздуха; Qсм – осредненное по времени значение объемного расхода смеси.
Режим течения, при котором воздушная фаза распределена по всему сечению канала, характерен для небольшого значения объемного воздухосодержания φ. Как оговорено ранее, к такому состоянию смеси можно отнести пузырьковый, пенный или эмульсионный режимы.
В случае, когда мойка внутренних поверхностей трубопроводов производится двухфазной средой, состоящей из смеси воды и воздуха, полный перепад давления в направлении оси канала для одномерного двухфазного потока, согласно с исследованиями [5], можно определить в общем виде:
(1)
где Gсм – расход смеси воды и воздуха, кг/с; τсм – касательное напряжение на стенке канала при течении смеси воды и воздуха, Па; dвн – внутренний диаметр канала, м; vʹ – скорость движения жидкой (водяной) фазы, м/с; vʺ – скорость движения газовой (воздушной) фазы, м/с; k – массовое расходное воздухосодержание, которое можно определить как отношение расхода воздуха к общему расходу смеси:
k = Gʺ / Gсм. (2)
Значение массового расхода смеси Gсм = Gʺ + Gʹ можно выразить через секундные массы газовой и жидкостной фазы: Gʺ = ρQʺ и Gʹ = ρQʹ.
Плотность смеси ρφ, кг/м3, можно определить, зная исходные плотности газовой (воздушной) и жидкой (водяной) фазы ρʺ и ρʹ, по формуле
ρφ = ρʺφ + ρʹ(1 – φ). (3)
Проекция ускорения свободного падения gх на ось х для горизонтально расположенных труб – 0, для вертикальных – 9,81 м/с2.
Таким образом, получаем уравнение, в котором каждое слагаемое отвечает за вклад определенных значений в двухфазном потоке на потери давления при движении смеси по каналу. При этом первое слагаемое правой части уравнения (1) отражает потери давления, возникающие за счет ускорения потока, зависящего от воздухосодержания k, либо с изменением площади поперечного сечения канала S. При отсутствии теплообмена в канале постоянного сечения этим слагаемым уравнения (1) можно пренебречь.
Второе и третье слагаемое в правой части уравнения (1) выражают потери давления на трение и на работу, совершаемую потоком воздуховодяной смеси против массовых сил. Последнее слагаемое, определяемое работой смеси против массовых сил, в большей степени зависит от ориентации участка трубопровода в пространстве (горизонтальный или вертикальный).
При скоростях, обычных для промывки трубопроводных систем, основной вклад в гидравлическое сопротивление вносят потери на трение, обусловленные касательными напряжениями на стенке трубопровода τсм.
Для определения и расчета касательных напряжений τсм в случае движения по трубопроводу наиболее простой и понятный результат расчета касательных напряжений τсм дает применение гомогенной модели, при которой не существует разности между скоростями движения фаз. Предположим, что скорости движения жидкой и воздушной фаз одинаковы, а скорость движения смеси может быть определена как равная им: vʺ = vʹ = vсм. Двухфазный смешанный поток воздуха и воды будем рассматривать как однородный поток жидкости плотностью ρφ и средней скоростью течения vсм.
Определим взаимосвязь объемного φ = Qʺ / Qсм и массового k = Gʺ / Gсм содержания воздуха [5]:
(4)
Для проведения расчета установим значение массового воздухосодержания k в зависимости от φ. Для расчета применялись значения: плотность газовой фазы ρʺ = 6,67 кг/м3 (рабс.см = 6 · 105 Па, t = 40 ºC). Согласно (4) интересующее значение k = (Gʺ / Gсм) × 100 % находится в диапазоне 0,054–0,056 % при φ = Qʺ / Qсм = 0,075–0,077 соответственно.
Для определения значения касательных напряжений
воспользуемся условием равновесия объема смеси в прямолинейном участке круглой трубы между сечениями 1-1 и 2-2:
Δртр.см = р1 – р2,
где Δртр.см – разница давлений в первом и последующем сечениях на расстоянии L друг от друга, равная потери давления за счет присутствия сил трения, следовательно, касательных напряжений τсм, Па.
Сила, Н, возникающая со стороны смеси жидкости и газа в трубе, определяется как Δртр.смΠdвн2 / 4. Данная сила уравновешивается со стороны стенок канала распределенными касательными напряжениями на участке трубы длиной L: τсмΠdL.
Из равенства сил определим: Δртр.смΠdвн2 / 4 = τсмΠdL;
τсм = (Δртр / 4)(dвн / L). (5)
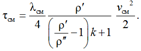
Используем известную из курса гидравлики общепринятую формулу
Δртр.см = (λсмL / dвн) ρφ (vсм2 / 2), (6)
где λсм – коэффициент гидравлического трения смеси, который может быть определен для различных двухфазных режимов (пузырьковый, снарядный и т. д.).
Подставив (6) в (5), получим с учетом гомогенности модели смеси (поток воды с воздухом рассматривается как одно целое) плотностью ρφ и скоростью vсм:
τсм = (λсм / 4)( ρφvсм2 / 2). (7)
Используя выражение для ρφ, перепишем выражение (7) в следующем виде:
(8)
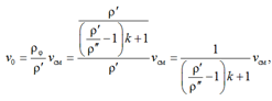
Обозначим через v0 скорость движения потока, которая могла бы быть развита в случае, если бы ее массовый расход был бы равен расходу смеси Gсм, а площадь сечения канала определяется через S, при плотности потока в канале ρʹ, т. е.
v0 = Gсм / ρʹS.
Тогда v0 можно выразить через коэффициент φ со скоростью vсм:
откуда выразим скорость vсм:
vсм = ((ρʹ/ρʺ – 1)k + 1)v0. (9)
Преобразуем уравнение (8) с учетом выражения (9) для скорости vсм:
Для определения коэффициента гидравлического трения λсм при различных режимах течения можно пользоваться такими же формулами, как и для однофазного потока. Коэффициент гидравлического трения зависит от числа Рейнольдса, и его можно приближенно определить по скорости v0:
Reсм = ρʹv0dвн / μʹ.
При турбулентном течении и средней скорости жидкости, характерных для промывочного потока, коэффициент гидравлического трения будет определяться по формулам для переходных труб, т. е. по формуле Альтшуля [6] с учетом шероховатости Δш:
λсм = 0,11 ((Δш / dвн) + (68 / Reсм))0,25.
Преобразуем формулу (1) с учетом вышеизложенного:
–dpсм = (4τсм / dвн)dх + ρφgxdх.
Таким образом, получаем формулу для определения потерь давления, связывающую воздухосодержание, плотности воды и воздуха, характеристики канала, промываемого двухфазным потоком:
(10)
Первое слагаемое формулы (10) зависит от потерь давления на трение, а второе – от ориентации трубы в пространстве при движении двухфазного потока.
Расчет проведем для участка трубопровода длиной L = 1 м, dвн = 0,125 м, коэффициентом шероховатости стенок трубы Δш = 0,1 мм [6], коэффициентом динамической вязкости жидкостной фазы μʹ = 1,03 · 10–3 Па·с [7], плотностью жидкостной фазы ρʹ = 992,21 кг/м3, плотностью газовой (воздушной) фазы ρʺ = 6,674 кг/м3 (абсолютное давление в промывочной смеси – 6 · 105 Па). При проведении расчета массовый расход воды примем Gʹ = 42,595 кг/с.
Массовый расход смеси определим по формуле Gсм = Gʹ + Gʺ. Так как Gсм зависит от воздухосодержания k, согласно (2) получаем:
Gʺ = kGʹ / 1 – k = ρʹkQʹ / 1 – k.
Плотность смеси, определяемая по (3), зависит не только от воздухосодержания k, но и от плотности воздушной фазы в потоке смеси.
Для получения упрощенной формулы определения удельных потерь давления на трение в круглой трубе в двухфазном потоке в зависимости от воздухосодержания и скорости движения потока перепишем формулу (10) без учета последнего слагаемого:
Δртр.см / L = Kсопр.смv02[(ρʹ / ρʺ – 1)k + 1]. (11)
В формуле (11) общий коэффициент сопротивления смеси жидкости и газа Kсопр.см = (0,11 ((Δш / dвн) + + (68 / Reсм))0,25) / 2dвнρʹ определяется в зависимости от режима течения (числа Re), внутреннего диаметра трубопровода, плотности жидкости (воды). Анализ формулы (11) подтверждает, что потери давления линейно возрастают в зависимости от воздухосодержания и квадратично зависят от скорости потока в трубопроводе. Кроме того, потери давления на трение будут уменьшаться по мере возрастания плотности воздушной фазы в смеси.
Расчет по рекомендации [5] для двухфазного потока проводится для средней скорости смеси v0 и определяется по формуле v0 = Gсм / ρʹS. Понятно, что расчетная скорость будет зависеть от воздухосодержания k. Проведены расчеты по формуле (10) для определения потерь давления для участков трубопроводов длиной L = 1 м, различно ориентированных в пространстве.
Результаты теоретического исследования определения потерь давления при движении двухфазной смеси в трубопроводе
Этапы определения потерь давления представлены в таблице.
Этапы определения потерь давления
Stages of determining pressure losses
|
Параметры |
Значения |
||
|
Объемное воздухосодержание φ |
0 |
0,035 |
0,077 |
|
Воздухосодержание k = Gʺ / Gсм |
0 |
0,000244 |
0,000561 |
|
Массовый расход воды G', кг/с |
42,595 |
42,595 |
42,595 |
|
Массовый расход воздуха G'', кг/с |
0 |
0,010 |
0,024 |
|
Массовый расход смеси воды и воздуха Gсм= G'' + G', кг/с |
42,595 |
42,606 |
42,619 |
|
Плотность воды ρ' (при t = 40 ºС), кг/м3 |
992,210 |
||
|
Плотность воздуха ρʺ (рабс = 6 · 105 Па при t = 40 ºС), кг/м3 |
6,674 |
||
|
Расходная плотность смеси ρφ, кг/м3 |
992,21 |
957,72 |
916,32 |
|
Скорость движения потока v0 = Gсм / (ρ' S), м/с |
3,5 |
3,501 |
3,502 |
|
Число Re смеси Reсм = ρʹv0dвн / μʹ |
421 448 |
421 551 |
421 685 |
|
Коэффициент гидравлического трения смеси λсм |
0,019 |
0,019 |
0,019 |
|
Потери давления, приходящиеся на 1 м длины |
|||
|
Горизонтальные участки трубы Δрсм / L, Па/м |
942 |
976 |
1 021 |
|
Вертикальные участки трубы с восходящим потоком Δрсм / L, Па/м |
10 675 |
10 371 |
10 010 |
|
Относительное значение увеличения/уменьшения потерь на транспортировку двухфазного потока |
|||
|
Горизонтальные участки трубы (Δрсм – Δрв / Δрв)100 % |
– |
3,6 |
8,4 |
|
Вертикальные участки трубы с восходящим потоком |
– |
–2,8 |
–6,2 |
Заключение
Таким образом, при полном отсутствии воздуха φ = 0 в промывочном потоке потери минимальны и составляют на горизонтальном участке 942 Па/м. С ростом содержания воздуха в промывочном потоке воды потери давления на трение линейно возрастают. Согласно гомогенной модели потери давления на трение в двухфазном потоке с увеличением воздухосодержания растут линейно, что объясняется увеличивающимся внутренним трением в двухфазном потоке, связанным с необходимостью переноса потоком жидкости воздушной фазы. Потери давления на вертикальных участках, наоборот, незначительно уменьшаются, что объясняется падением плотности смеси.
1. Solov'ev B. V. Ochistka sudovykh sistem ot tekhnologicheskikh zagriaznenii [Purification of ship systems from technological pollution]. Leningrad, Sudostroenie Publ., 1977. 75 p.
2. Lebedeva E. G. Intensifikatsiia tekhnologii promyvki sudovykh sistem pul'siruiushchim dvukhfaznym potokom: dis. … kand. tekhn. nauk [Intensification of technology of flushing ship systems with pulsating two-phase flow: Diss. … Cand. Tech. Sci.]. Saint-Petersburg, 2012. 169 p.
3. Kanaev D. N., Liamin P. L., Lebedeva E. G., Aleksandrov N. I. Novye sredstva tekhnologicheskogo osnashcheniia dlia promyvki sudovykh vodianykh sistem i oborudovaniia [New means of technological equipment for washing ship water systems and equipment]. Mezhdunarodnyi nauchno-issledovatel'skii zhurnal, 2014, no. 2-1 (21), pp. 93-95.
4. Deich M. E., Filippov G. A. Dvukhfaznye techeniia v elementakh teploenergeticheskogo oborudovaniia [Two-phase flows in elements of heat power equipment]. Moscow, Energoatomizdat, 1987. 327 p.
5. Kordon M. Ia., Simakin V. I., Goreshnik I. D. Gidravlika: uchebnoe posobie [Hydraulics: textbook]. Penza, Izd-vo PGU, 2005. 192 p.
6. Idel'chik I. E. Spravochnik po gidravlicheskim soprotivleniiam [Handbook of hydraulic resistances]. Moscow, Mashinostroenie Publ., 1992. 672 p.
7. Fizicheskie velichiny: spravochnik [Physical quantities: reference book]. Pod redaktsiei I. S. Grigor'eva, E. Z. Meilikhova. M.: Energoatomizdat, 1991. 1232 p.



