Russian Federation
Russian Federation
The article considers the possible modernization of the well-known aeronautical radio station in order to increase the noise immunity of radio communications. Uninterrupted noise-immune radio communication between the aircraft and the air traffic controller is an important factor in ensuring flight safety. The radio station provides voice (telephone) communication and telecode digital communication, with voice information transmitted in analog format this causes radio interference distorting the transmitted messages. Increased noise immunity can be achieved by transmitting voice information in a digital form, the special noise protection measures relevant only for digital transmission being applied. Antinoise coding and pseudo-random software frequency hopping can be used as the preventive measures. The task was set to investigate the problem of modernizing a well-known aviation radio station with the minimal changes in its configuration. There has been proposed a method providing the digital radio communication with modification of a prefabricated aeronautical radio station. A digital speech signal developing in this case is provided due to the resources of the radio station used to transmit the telecode information. The information transfer rate increases from 16 to 128 kbps, which leads to the increased frequency deviation and, as a result, to the expanded signal spectrum. The noise immunity of the system was also assessed in a communication range of 100 km: the signal power, signal-to-noise ratio, noise spectral density at the receiver input, transmitting antenna directivity were determined. Based on the results of the calculations, it was inferred that due to realizing the proposed measures a manifold multiplication of the required power of the jamming
aircraft radios, speech signal, frequency shift keying, frequency deviation, signal spectrum, signal-to-noise ratio
Введение
Авиационные радиостанции предназначены для ведения беспоисковой беспроводной двусторонней радиосвязи и обмена данными на фиксированных рабочих частотах (ФРЧ) и в режиме помехозащищенной связи, обеспечиваемой методом псевдослучайной перестройки рабочей частоты (ППРЧ), наземных пунктов управления с радиосредствами летательных аппаратов в метровом (МВ) и дециметровом (ДМВ) диапазонах.
Важным фактором обеспечения безопасности полетов является наличие бесперебойной помехоустойчивой радиосвязи между бортом самолета
и авиадиспетчером.
Целью настоящей работы является поиск методов повышения помехоустойчивости существующей системы радиосвязи.
Радиостанция обеспечивает голосовую (телефонную) связь и телекодовую цифровую связь, причем голосовая информация передается в аналоговом (телефонном) режиме с использованием амплитудной либо частотной модуляции на одном из выделенных частотных каналов. Аналоговая радиосвязь в значительной мере подвержена воздействию радиопомех, вносящих искажения в передаваемые сообщения. Повышение помехоустойчивости может быть достигнуто путем передачи голосовой информации в цифровом виде с использованием имеющихся ресурсов, предназначенных для передачи телекодовой информации. При этом могут быть применены специальные меры помехозащиты, свойственные только цифровой передаче.
В качестве таких мер может применяться помехоустойчивое кодирование и ППРЧ. Задачей модернизации является обеспечение цифровой передачи голосовой информации при минимальных изменениях схемы радиостанции [1].
Повышение помехоустойчивости системы радиосвязи с использованием метода псевдослучайной перестройки рабочей частоты
В руководстве по эксплуатации типовой авиационной радиостанции [2] приведена структура авиационной радиостанции и описан принцип ее работы. Передающая часть радиостанции представляется в виде модулятора (Мод) и усилителя мощности (УМ). Приемная часть представляет собой супергетеродинный радиоприемник с двойным преобразованием частоты. Блок управления состоит из панели управления (Панель упр) и блока переключения режимов (БПР). Блок питания (БП) вырабатывает напряжения, необходимые для работы всех устройств. Система сопрягается с оконечной аппаратурой через стыки С1-ТЧ, С1-ФЛ, С2, МКИО, RS-485 (рис. 1).

Рис. 1. Типовая структура авиационной радиостанции: ФСВ – формирователь сигнала вызова; АК – антенный
коммутатор; УРЧ – усилитель радиочастоты; СМ1, СМ2 – смесители; УПЧ1, УПЧ2 – усилители промежуточной
частоты; ДМ – демодулятор; Гет1, Гет2 – гетеродины; СТЛФ – сигналы телефонные; СУ – сигналы управления;
Инф – информация; Упр – управление; Fн – несущая частота; Fпр1, Fпр2 – промежуточные частоты
Fig. 1. Typical structure of an aeronautical radio station: ФСВ – call signal generator; АК – antenna switch;
УРЧ – radio frequency amplifier; СМ1, СМ2 – mixers; УПЧ1, УПЧ2 – intermediate frequency amplifiers;
ДМ – demodulator; Гет1, Гет2 – heterodynes; СТЛФ – telephone signals; СУ – control signals; Инф – information;
Упр – control; Fн – carrier frequency; Fпр1, Fпр2 – intermediate frequencies
Режим телефонной радиосвязи является приоритетным и включается автоматически. Работа ведется с использованием телефонной гарнитуры
с микрофонным усилителем в симплексном режиме. При нажатии клавиши «Тангента» радиостанция работает в режиме передачи, при этом антенный коммутатор подключает приемо-передающую антенну к выходу УМ. При отпускании клавиши «Тангента» радиостанция переходит в режим приема с выдачей сигнала звуковой частоты на телефонную гарнитуру и громкоговорящую связь [2].
При передаче цифровой (телекодовой) информации используется частотная манипуляция с девиацией частоты 10 кГц. Максимальная скорость передачи 16 кбит/с. Передача может идти в режиме ФРЧ на одном из выделенных каналов. Инициатором передачи является оконечная аппаратура.
Радиостанция может работать в довольно широком диапазоне несущих частот, включающем диапазон метровых волн МВ 100–160 МГц и два диапазона дециметровых волн ДМВ1 и ДМВ2, 220–320 и 320–400 МГц соответственно [2].
Формирование несущих частот для передачи осуществляется с использованием гетеродинов приемной части. При этом сигнал промежуточной частоты проходит в обратном порядке от гетеродина до усилителя мощности.
Поскольку для передачи речевого сигнала достаточен частотный диапазон 300–3 400 Гц, используется частота дискретизации 8 000 Гц. Из опыта построения цифровых систем следует, что с учетом нелинейного квантования (компандирования) для кодирования речевого сигнала достаточно 8 разрядов цифрового кода.
Цифровая передача позволяет в еще большей степени повысить помехоустойчивость путем применения специального помехоустойчивого кодирования. В настоящее время разработано достаточно большое количество кодов такого типа. Учитывая структуру сигнала, целесообразно выбрать ортогональный код (n, k), где n = 16, k = 8. Несмотря на сравнительно большую избыточность (коэффициент избыточности η = 2), данный код обладает высокой корректирующей способностью [3].
Скорость кода вычисляется по формуле
![]()
где k – количество информационных символов в блоке; n – общее количество символов в блоке.
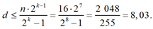
Корректирующая способность кода определяется кодовым расстоянием d. При этом количество обнаруживаемых ошибок
, количество исправляемых ошибок
. Кодовое расстояние может быть определено исходя из границы Плоткина [5]. Проведя вычисления, берем целую часть числа d = 8:
![]()
Ортогональный код образуется путем умножения кодовой комбинации на порождающую матрицу, представляющую собой матрицу Адамара (16 ´ 6) [3].
Скорость передачи информации, кбит/с, определяется соотношением
, (1)
где fд – девиация частоты.
С учетом кодирования получим, что тактовая частота ![]()
Одной из особенностей авиационной связи является отсутствие необходимости передавать адрес получателя и отправителя информации. Однако для обеспечения синхронизма при включении сеанса (нажатии клавиши «Тангента») необходима передача сигнала фазового пуска, состоящего как минимум из двух слов: слова тактовой синхронизации и слова информационной синхронизации. Слово тактовой синхронизации представляет собой меандр, т. е. чередование символов «0», «1». Слово информационной синхронизации представляет собой уникальный код, запрещенный к передаче в информационной части [5].
Для модуляции сигнала может использоваться амплитудная, частотная или фазовая манипуляция [6]. С точки зрения помехоустойчивости наилучшими характеристиками обладает фазовая манипуляция, однако ее применение без принятия дополнительных мер приводит к эффекту «обратной работы» демодулятора, когда символы «0» и «1» могут меняться местами. Кроме того, при передаче телекодовой информации используется частотная манипуляция, поэтому в целях минимизации изменений для передачи речевых сигналов также может использоваться частотная манипуляция, при этом скорость передачи информации должна быть увеличена с 16 до 64 кбит/с.
Для надежного распознавания сигналов при частотной манипуляции значение девиации частоты должно удовлетворять условию
, где
– тактовая частота. Данное положение иллюстрируется рис. 2.

Рис. 2. Иллюстрация принципов
частотной манипуляции
Fig. 2. Illustration of principles
of Frequency Shift Keying
Ширина спектра частотно-манипулированного сигнала составляет 4
С учетом кодирования тактовая частота должна быть не менее 128 кГц.
С запасом на фильтрацию она может быть принята 160 кГц, тогда ширина спектра сигнала составит 640 кГц.
Телекодовая информация также может передаваться с повышенной скоростью, 64 кбит/с, с применением помехоустойчивого кодирования. Выделенного диапазона частот достаточно для реализации 40 каналов с полосой 640 кГц.
Для реализации изменений в структуре сигнала необходимо провести изменения в блоке переключения режимов, в состав которого входит формирователь сигналов возбуждения (ФСВ). Прежде всего, для обеспечения передачи в блоке ФСВ необходимо изменить девиацию частоты. Модулированный сигнал формируется на уровне ПЧ2 путем добавления или вычитания частоты fд в зависимости от передаваемого символа («0» или «1»):
,
где fмод – мгновенная частота модулированного сигнала; fпч2 – вторая промежуточная частота;
fд – добавочная частота.
Изменение частоты может производиться путем изменения параметров контура опорного генератора, резонансная частота которого определяется по формуле
![]()
где L – индуктивность контура, Гн; С – емкость контура, Ф.
Для увеличения частоты в 15 раз необходимо уменьшить соотношение LC в 225 раз. В УПЧ1 и УРЧ необходимо расширить полосу пропускания с 60 до 640 кГц, т. е. в 10 раз, в плате обработки сигналов БПР увеличить тактовую частоту (сигнал Clk) с 16 до 80 кГц, т. е. в 5 раз, в состав ФСВ включить кодер ортогонального кода (16, 8) и сформировать удвоенную тактовую частоту 160 кГц.
Для обеспечения приема сигнала необходимо выполнить следующие изменения:
– расширить полосу пропускания УПЧ2 до 640 кГц;
– дополнить субблок «Кофидек НЧ» блока БПР кодером ортогонального кода (16, 8).
Таким образом, схема прохождения сигнала в модернизированной системе будет выглядеть в соответствии с рис. 3.

Рис. 3. Схема прохождения речевого сигнала: КФ НЧ кодер-фильтр нижних частот;
ФНЧ – фильтр низких частот; АЦП – аналогово-цифровой преобразователь; ПК1, ПК2 – преобразователи кода; ФСФП – формирователь сигнала фазового пуска;
ЧМ – частотный манипулятор; УРЧ – усилитель радиочастоты; АК – антенный коммутатор;
ЦАП – цифро-аналоговый преобразователь; ДК – декодер; ВСФП – выделитель сигнала фазового пуска;
ВТЧ – выделитель трактовой частоты
Fig. 3. Diagram of a speech signal flow: КФ НЧ – low-pass encoder filter;
ФНЧ – low pass filter; АЦП – analog to digital converter; ПК1, ПК2 – code converter; ФСФП – phase start signal generator;
ЧМ – frequency shift keyer; УРЧ – radio frequency amplifier; AK – antenna switch; ЦАП – digital-to-analog converter;
ДK – decoder; ВСФП – phase start signal selector; ВТЧ – path frequency selector
Сигнал с телефонной гарнитуры подается на ФНЧ, где происходит ограничение спектра до 3 400 Гц. Далее сигнал подается на АЦП, где преобразуется в 8-разрядный цифровой сигнал с тактовой частотой 64 Гц. Затем сигнал подается на кодер ортогонального кода (16, 8) с тактовой частотой 128 кГц. Преобразователь кода ПК1 преобразует параллельный 16-разрядный код в последовательный, который через сумматор подается на частотный манипулятор ЧМ. На второй вход сумматора подается сигнал фазового пуска, формируемый соответствующим формирователем ФСФП. Частотная манипуляция осуществляется на ПЧ2. Проходя через тракт ПЧ1, сигнал преобразуется
в частотно-манипулированный на несущей частоте в соответствии с номером частотного канала. Сигнал несущей частоты проходит через усилитель радиочастоты УРЧ и подается на антенну через антенный коммутатор АК.
Принятый сигнал проходит через антенный коммутатор на тракты ПЧ1, ПЧ2 и далее на демодулятор ДМ. Импульсный сигнал с демодулятора подается на выделитель тактовой частоты ВТЧ, выделитель сигнала фазового пуска ВСФП и преобразователь кода ПК2, преобразующий последовательный код в 16-разрядный параллельный код. Декодер ДК устраняет из кода проверочные символы, преобразуя его в 8-разрядный параллельный код, поступающий на цифро-аналоговый преобразователь ЦАП. После ЦАП сигнал фильтруется ФНЧ и выдается потребителям (на телефонную гарнитуру оператора или громкоговорящую аппаратуру).
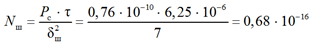
Проведем оценку помехоустойчивости системы исходя из дальности связи 100 км.
Мощность сигнала определяется соотношением
, (2)
где Рпрд = 40 Вт – мощность передатчика; Gпрд = Gпрм = 1 – коэффициенты направленного действия передающей и приемной антенн; l = 3 м – длина волны несущего колебания; R = 100 км – дальность радиосвязи; L0 = 3 – коэффициент дополнительного ослабления.
При заданных исходных данных
Для обеспечения понимания передаваемой речи без малейшего напряжения внимания при разборчивости слов W = 98 % необходимо отношение мощностей сигнал/шум в относительных единицах
дБ, что соответствует соотношению сигнал/шум в абсолютных единицах
.
Соотношение сигнал/шум на входе приемника должно быть не менее данного значения [5]. Отношение мощности сигнала к мощности шума можно рассчитать следующим образом:
,
где Рс – мощность сигнала на входе приемника, Вт; N0 – спектральная плотность шума на входе приемника, Вт/Гц; F – ширина частотной полосы приемного тракта, Гц.
Спектральная плотность шума на входе приемника определяется выражением
,
где k = 1,38 × 10–23 Вт/Гц – постоянная Больцмана; Тш = 1 000 К – шумовая температура, складывающаяся из эквивалентных шумовых температур антенны, атмосферы, космических источников, Земли и др.
Полоса цифрового сигнала с ЧМ составляет 640 кГц.
При использовании оптимального приема с интегратором в цепи обработки сигнала соотношение сигнал/шум на входе приемника составит
дБ,
что говорит о достаточно высоком качестве приема сигнала. Запас по помехам составляет
дБ.
При воздействии активной шумовой помехи соотношение сигнал/шум можно выразить формулой
,
где t – длительность импульса; Ec – энергия сигнала в одном бите информации; Nш – спектральная плотность шума.
Предположим, что помеха ставится радиопередатчиком со слабонаправленной антенной с диаграммой направленности 60° ´ 60°, расположенном в 100 км от самолета. Коэффициент направленного действия передающей антенны определяется формулой
,
где g, b – ширина диаграммы антенны по уровню половинной мощности в горизонтальной и вертикальной плоскостях [4].
Зададимся соотношением сигнал/шум
, что соответствует вероятности ошибочного приема символа р = 10–2.
Для повышения достоверности передачи информации сообщение подвергается помехоустойчивому кодированию. В качестве кода выбран ортогональный код (n, k) = (16, 8), имеющий кодовое расстояние d = 8. Рассчитаем вероятность достоверного приема слова [7].
Количество обнаруживаемых ошибок
т. е. одно-, двух-, … до 7-кратных ошибок в блоке.
Количество исправляемых ошибок:
, т. е. до трех ошибок в блоке.
Вероятность правильного распознавания блока:
,
где i – количество ошибок в блоке; n – длина блока; p – вероятность ошибочного приема символа;
– количество сочетаний из n по i.
Вероятность пропуска блока:
.
Согласно расчетам при вероятности ошибочного приема символа р = 0,01 вероятность ошибочного приема слова при выбранном методе кодирования составит
.
Принятая вероятность ошибочного приема символа обеспечивается при соотношении сигнал/шум
. Определим необходимую мощность передатчика помех. Спектральная плотность шума на входе приемника составит, Вт/Гц:
![]()
Мощность шума на входе приемника:
Вт.
Мощность передатчика, Вт, из формулы (2) при заданных условиях определится как
Вт.
Для сравнения: требуемая мощность помехи при передаче аналогового сигнала при тех же условиях составляет 0,25 Вт.
Использование режима ППРЧ приведет к многократному умножению требуемой мощности передатчика помех, из чего можно сделать вывод о значительном повышении помехоустойчивости в результате внедрения предложенных мероприятий.
Алгоритм управления работой системы связи представлен на рис. 4 (n – количество каналов).

Рис. 4. Алгоритм управления работой системы связи
Fig. 4. Algorithm of controlling the communication system operation
Разработанный алгоритм действий авиадиспетчера позволяет эффективно применять имеющиеся технические средства помехозащиты.
Заключение
В результате проведенных исследований предложен способ организации цифровой радиосвязи при доработке выпускаемой промышленностью авиационной радиостанции. Формирование цифрового речевого сигнала осуществляется с помощью ресурсов радиостанции, применяемых для передачи телекодовой информации. Изменения заключаются в введении дополнительных модулей в структуру радиостанции, что ведет к увеличению скорости передачи информации с 16 до 128 кбит/с, и приводит к увеличению девиации частоты и, как следствие, расширению спектра сигнала. Данные изменения структуры сигнала не повлияют на выделенные частотные каналы.
Выработанные предложения позволяют значительно повысить помехоустойчивость системы радиосвязи при минимальных доработках схемы.
1. Pischin O. N., Voronina K. P. Issledovanie effektivnosti pomehozaschischennosti radiokanala aviacionnoy radiosvyazi // Vestn. Astrahan. gos. tehn. un-ta. Ser.: Upravlenie, vychislitel'naya tehnika i informatika. 2022. № 4. S. 48-53.
2. Rukovodstvo po ekspluatacii HZh1.100.057.RE. URL: https://electropribor.ru/catalog/Produktsiya_dlya_Ministerstva_oboroni_RF/elem741442/ (data obrascheniya: 09.09.2022).
3. Klark D. Kodirovanie s ispravleniem oshibok v sistemah cifrovoy svyazi. M.: Radio i svyaz', 1987. 388 s.
4. Veycel' V. A. Radiosistemy upravleniya. M.: Drofa, 2005. 416 s.
5. Teplyakov I. M., Fomin A. I., Roschin B. V., Veycel' V. A. Radiosistemy peredachi informacii. M.: Radio i svyaz', 1982. 266 s.
6. Kruhmalev V. V., Gordienko V. N. Osnovy postroeniya telekommunikacionnyh sistem i setey. M.: Goryachaya liniya Telekom, 2004. 510 s.
7. Lebed'ko E. G. Teoreticheskie osnovy peredachi informacii. M.: Lan', 2011. 352 s.



