Russian Federation
Russian Federation
UDC 537.226.83
The issue of lightning protection of the electrical systems of lighthouses located in Russia is being considered. The lightning strike calculation is based on the theory of lightning formation – a leader discharge: a low-temperature plasma channel is considered, in which the leader head at the end of the lightning carries a charge until it is short-circuited to earth or a lightning rod. A leader discharge is a “streamer”, a pretrial stage of an electric discharge, a channel of a leader charge. Lightning formation is completed by the main discharge, which in turn changes the direction of the electromotive force in the lightning channel. The materials of statistical observations of lightning formation, as well as studies of various sources, are collected and analyzed. The problem of overvoltage in lighthouse electrical systems related to the high resistivity of the ground, as well as the electromagnetic component of a lightning strike, is considered. To find a full-wave solution to Maxwell's equations, the FIDELITY simulator program based on LS-FDTD was used. It is noted that the discharge intensity and current amplitude depend not only on the ground resistance, but also on the frequency of the lightning current. The result of the calculation of overvoltages, which can lead to the failure of the lighthouse electrical systems, is presented. An example of installing a lighthouse in an area with soil having a high resistivity, which in turn does not allow the use of classical grounding systems, is given. At the calculation stage, an answer was received about the propagation distance of the dangerous voltage for the beacon systems. Variants of a non-standard design solution for the lightning removal system are proposed, which is optimally suited for the task at hand – reducing the resistance of the grounding conductor.
lightning, thunderstorm accumulation, overvoltage, current steepness, current amplitude, voltage amplitude, current pulse, lightning protection, lightning protection systems
Введение
Система маяков является одной из главных систем навигации на протяжении всего существования мореплавания до появления спутниковой навигации. На территории России действуют 350 маяков, которые входят в состав Международной ассоциации маячной службы (МАМС). На данный момент маяк является электрифицированным объектом особой категории электроснабжения, работоспособность которого не должна нарушаться, т. к. это влечет за собой нарушения навигации и катастрофические последствия для судоходства.
Материалы исследования
На берегу моря наблюдается частая смена погоды из-за испаряющейся воды и образование грозовых скоплений с разрядами молний. Грозовая деятельность на территории России увеличивается от севера к югу (рис. 1) и выражается в количестве часов активности за год [1].
Рис. 1. Карта грозовой активности на территории России
Fig. 1. Map of thunderstorm activity in Russia
Молния – сложный физический процесс, включающий взаимодействие электрических зарядов в атмосфере. Моря и океаны составляют 3/5 площади от всей поверхности планеты и имеют большую проводимость, чем окружающий воздух атмосферы [2]. С увеличением высоты проводимость воздуха медленно начинает увеличиваться. Скопление воздушного пара в виде облаков имеет большую проводимость, чем окружающий воздух. В облаке образуются области, имеющие заряд (потенциал). В результате аккумулирования заряда в облаке до критического значения возникает электрическое поле. Молния по своей природе может достигать длины в несколько километров, начало образования молнии находится внутри облака. Молния может передавать разряд внутри облака на большие расстояния, что делает процесс сложным, ведь множественные заряды молнии вызывают несколько последовательных пробоев, которые следуют по одной и той же траектории. Начало образования канала молнии получило название лидерного разряда, скорость – в области от 1,5·105 м/c, а последующие заряды способны достигать скорости 2·106 м/с. Молниеобразование завершается главным разрядом, скорость нарастания которого находится в пределах от 1,5·106 до 1,5·108 м/c, что равносильно половине скорости света.
Начало молнии – лидерный разряд – состоит из низкотемпературной плазмы, которая в свою очередь имеет высокую проводимость, что позволяет разрядить электрический потенциал на землю (рис. 2, где iм – ток в точке удара молнии, А; t – время разряда молнии, с). Потенциал в канале молнии распределяется неравномерно: основной заряд возрастает к концу канала молнии, где находится головка лидера. Так происходит из-за того, что канал лидера соединяется с заряженным центром облака, а некоторая часть заряда перемещается в канал молнии, происходит смещение заряда.
а б в г
Рис. 2. Этапы развития обратного разряда молнии и график тока:
а – удар лидера в землю; б – образование ионизации над поверхностью земли;
в – стадия перехода электродвижущей силы; г – заключительная стадия молнии
Fig. 2. The stages of lightning reverse discharge development and the current graph:
a – the impact of the leader into the ground; б – the formation of ionization above the earth's surface;
в – the stage of electromotive force transition; г – the final stage of lightning
Процесс образования молнии (рис. 3, а) во многом схож с процессом замыкания вертикального заряженного проводника на землю. Тогда мы можем рассчитать ток в точке удара молнии, зная, что точка заземления будет иметь какое-то сопротивление r в точке разряда на землю (рис. 3, б) [3]:
(1)
где σ – заряд обратного разряда; v – скорость обратного разряда; z – волновое сопротивление объекта.
а б
Рис. 3. Эквивалентные расчетные схемы для определения напряжения (а) и тока (б) молнии в месте удара молнии
Fig. 3. Equivalent calculation schemes for determining the voltage (a) and current (б) of lightning at the lightning strike site
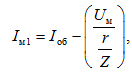
Исходя из (1), полный ток в месте удара молнии равен σv, пренебрегая малым сопротивлением в точке заземления. Данные приведенных исследований [3] указывают на мгновенное увеличение тока (см. рис. 2, в), что свидетельствует о процессе изменения проводимости в канале молнии со значением от 150 до 300 Ом. При ударе молнии точку с малым удельным сопротивлением считаем хорошо заземленной, в отличие от точки удара молнии с большим удельным сопротивлением r, тогда
Ток молнии iм, протекающий через объект, – одна из важнейших характеристик при расчетах, также немаловажным значением обладает скорость нарастания тока:
Исследовательскими группами из разных регионов мира были получены данные по максимальным значениям токов разрядов молнии, на рис. 4 полученные данные отображены в одной системе координат.
Рис. 4. Кривые статистических вероятностей токов молнии из различных источников исследования:
1 – обобщенные данные центра управления полетами АО «Центральный научно-исследовательский институт машиностроения»; 2 – обобщенные данные ПАО «Федеральная сетевая компания – Россети»; 3 – обобщенные данные Международного совета по большим электрическим системам высокого напряжения CIGRE;
4 – среднестатистическая норма по небоскребам и высотным сооружениям;
5 – по данным ГОСТ Р МЭК 62305-1 с учетом горных районов
Fig. 4. Statistical probability curves of lightning currents from various sources of the study:
1 – generalized data from the Mission Control Center of Central Scientific Research Institute of Mechanical Engineering JSC; 2 – generalized data from the federal grid company ROSSETI PJSC; 3 – generalized data from the International Council
for Large High Voltage Electrical Systems CIGRE; 4 – the average standard for skyscrapers and high-rise buildings;
5 – ISS R IEC 62305-1, taking into account mountainous areas
Кривые токов молнии отличаются не из-за климатических особенностей районов, где были выполнены исследования, а вследствие разных методов замеров и подсчетов данных из различных источников информации. Кривая 3 на рис. 4 максимально приближена к расчету показательного закона распределения вероятностей с небольшой долей погрешности:
или
где Iм – ток молнии; PI – показатель вероятности того, что больше Iм. Горные районы выходят за предел данного расчета, поскольку разряд молнии происходит при меньшем заряде в грозовом скоплении.
Рассматривая крутизну фронта и максимальное значение тока молнии, невозможно определить однозначную закономерность, эти значения могут находиться в пределах большого диапазона, поэтому выразим данные величины как кривые вероятности. Они также подчиняются показательному закону распределения. Крутизну тока молнии можно посчитать эмпирической приближенной формулой, согласно [4]:
или
где a – скорость нарастания тока, кА/мкс.
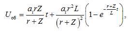
Рассчитаем напряжение объекта Uоб в замкнутой цепи:
Uм = rмIм(sinω + φ), (2)
где Iм(sinω + φ) – численное значение величины тока в данный момент времени.
Далее можно записать ток молнии и объекта, которые имеют разное сопротивление. Исходя из формулы (2), запишем уравнение с учетом сопротивления объекта:
где r и Z – волновое сопротивление молнии и объекта соответственно.
На рис. 5, а изображена схема удара молнии в молниеотвод. Запишем потенциал на вершине объекта, куда попал удар молнии [5]:
(3)
где L – индуктивность объекта.
а б
Рис. 5. Схема удара молнии в молниеотвод (а)
и расчетная схема (б)
Fig. 5. Lightning strike pattern in a lightning rod (a)
and calculation pattern (б)
Данный метод расчета (3) называется методом замены канала молнии линией с волновым сопротивлением. Значительно выше вероятность появления в распределительных сетях индуктированных перенапряжений, вызванных явлениями электростатической и электромагнитной индукции, в моменты разряда молнии в землю. Полные волны индуктированных перенапряжений обладают большим запасом электромагнитной энергии, согласно правилу буравчика, проводник будет иметь магнитную индукцию, это свойство представляет повышенную опасность для оборудования маяка, включая электронику и радиосвязь.
Смоделируем поставленную задачу (см. рис. 5) в трехмерных диэлектрических структурах, волновых структурах и структурах с сильно неравномерным распределением напряженности электрического поля. Для этого используем конечно-разностный метод решения уравнений Максвелла во временной области с электромагнитным имитатором FIDELITY (Finite Difference Time Domain) [6, 7]. Выразим электромагнитное поле Ē при помощи векторного значения
и
электродинамических потенциалов:
где
– вектор плотности тока;
– векторный магнитный потенциал.
Электрическое поле Ē может быть вычислено как потенциальная функция в частотной области, заданная как
(4)
где ω – угловая частота; j – мнимая единица; ɛ – диэлектрическая проницаемость среды; φ(V) – электрический скалярный потенциал;
– векторный электрический потенциал.
На основе изложенного выше, преобразовав уравнение (4), получим сложение величин напряжения молнии и напряженности магнитного поля канала молнии в точке удара молнии, запишем уравнение
где Ē – градиент электродинамических потенциалов молнии;
– мгновенное значение магнитного поля.
Электрическое поле Е образуется из разницы потенциалов в пространстве и мгновенной электромагнитной составляющей канала молнии.
Электромагнитная составляющая канала молнии
вблизи земли или в точке удара молнии имеет высокочастотный электрический сигнал, который известен как помеха приему-передаче радиосигнала и влечет за собой нарушение в работе электронных систем маяка, зона его охвата насчитывает сотни километров.
Пример: пусть параметр поражаемого объекта имеет малое сопротивление, равное 20 Ом (рис. 6), а сопротивление грунта – песок (400–1 000 Ом) или гранит (1 000–2 000 Ом).
Согласно исследованиям (см. рис. 4), кривые статистических вероятностей амплитуды токов молнии в среднем составляют от 30–50 кА. Кривая распределения потенциала вдоль поверхности земли также приведена на рис. 6. Найдем потенциал электрического поля заземлителя.
Рис. 6. Конфигурация электрического поля в земле
Fig. 6. Configuration of the electric field in the earth
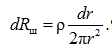
Для полушарового заземлителя величину Rш можно найти по конфигурации электрического поля в земле (рис. 6). Сопротивление грунта между эквипотенциальными поверхностями (сферами) с радиусами r и r + dr:
Следовательно, стационарное сопротивление заземления полушарового электрода радиусом r0 [5]:
(5)
Для прибрежной территории, состоящей из скальных пород (гранит – 2 000 Ом/м), удельное сопротивление грунта велико, поэтому мы можем записать выражение как
(6)
Заземляющее устройство в виде полушарового электрода будет иметь радиус 20 м, такого рода конструкция не отвечает поставленной задаче из-за сложности монтажных работ, а также вследствие перерасхода металла для конструкции такого заземления; приведем оптимальное решение для объекта индивидуально.
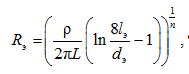
Из выражений (5) и (6) найдем длину электрода, подставив в выражения известные значения [7]:
где n – количество электродов; lэ – длина электрода; dэ – диаметр электрода.
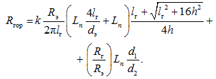
Вариант 1 (рис. 7) имеет концентрические кольца и восемь вертикальных стержней, образующих один контур заземления, который в сумме дает большую площадь электродов и меньшее напряжение стекания молнии в грунт.
Рис. 7. Система заземления с концентрическими кольцами и вертикальными стержнями
Fig. 7. Grounding system with concentric rings and vertical rods
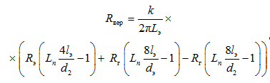
На рис. 8 представлен заземлитель из полой перфорированной трубы, заполненной соляной смесью, вокруг электрода замещается объем грунта Rг, в отличие от варианта 1, который является низкоомным заземлителем за счет большой площади электродов. Электролитический заземлитель рассматриваем как многоэлектродный заземлитель, сопротивление которого складывается из сопротивления металлической перфорированной трубы Rэ (условно цилиндр), образованного электродом заземления диаметром dэ, м, диаметром активирующей засыпки d2, м.
Рис. 8. Схема электролитического заземления в грунте и зона эффективного сопротивления
Fig. 8. The scheme of electrolytic grounding in the ground and the effective resistance zone
Запишем уравнения для вертикального электролитического заземлителя [8]:
и для электрода, проложенного горизонтально:
Поскольку на работу электролитического заземления оказывает существенное влияние такой эффект, как степень выщелачивания электролита в грунт с насыщением почвы свободными ионами, в формулу вводится поправочный коэффициент k = 0,4 ≈ 0,25, который зависит от текстуры грунта, величины естественной влажности. Значение k получено эмпирически на основе исследования применения электролитических заземлителей в разных условиях эксплуатации [9].
Заключение
В результате исследования природы образования молнии и изучения ее характеристик и особенностей представлена одна из теорий развития разряда молнии, «стримера» – лидерного заряда молнии. Рассчитаны напряжение и сила тока разряда молнии исходя из данных разных мировых источников. Метод замены канала молнии линией с волновым сопротивлением дает приблизительную картину скорости нарастания тока молнии. Вероятность появления в молниеотводе индуктированных перенапряжений, вызванных явлениями электростатической и электромагнитной индукции при разряде молнии в землю, значительно выше. Поэтому была создана модель в трехмерных диэлектрических структурах волновых структур и структур с сильно неравномерным распределением напряженности электрического поля с использованием электромагнитного имитатора FIDELITY. Модель выявила различие между методом замены канала молнии и неравномерным распределением напряженности электрического поля в основании маяка и вершине молниеотвода. Результаты подтвердили, что для точной оценки переходных напряжений молниеотвода переменные электрические параметры почвы должны учитываться индивидуально при моделировании грунта, особенно в местах расположения электронного оборудования, отвечающего за работоспособность энергосистемы маяка, где люди могут подвергаться воздействию удара молнии. Рассмотрены два варианта заземляющих устройств маяка, каждая конфигурация молниеотвода рассчитана под конкретный случай, отдельный рассчитанный элемент молниезащиты.
1. Pravila ustroistva elektroustanovok (utverzhdeny Prikazom Minenergo Rossii ot 08.07.2002 № 204) [Rules for the installation of electrical installations (approved by the Order of the Ministry of Energy of Russia dated 08.07.2002 No. 204)]. Available at: https://en-res.ru/wp-content/uploads/2020/02/pue.pdf (accessed: 26.11.2024).
2. Stekol'nikov I. S. Fizika molnii i grozozashchita [Lightning physics and lightning protection]. Moscow; Leningrad, Izd-vo Akademii nauk SSSR, 1943. 229 p.
3. Egorov V. V., Petrov A. F. Tekhnika vysokikh napriazhenii [High voltage technology]. Saint Petersburg, Izd-vo PGUPS, 2012. 320 p.
4. Razevig D. V. Tekhnika vysokikh napriazhenii [High voltage technology]. Moscow, Energiia Publ., 1976. 490 p.
5. Apollonskii S. M., Gorskii A. N. Raschet elektromagnitnykh polei [Calculation of electromagnetic fields]. Moscow, Marshrut Publ., 2006. 986 p.
6. Software – FIDELITY FDTD-Based EM Simulator, Source: Mentor Graphics, formerly Zeland Software, Inc. Available at: https://www.rfglobalnet.com/doc/fidelity-fdtd-based-em-simulator-0001 (accessed: 14.12.2024).
7. The tensor-train mimetic finite difference method for three-dimensional Maxwell’s wave propagation equations. Mathematics and Computers in Simulation, 2023, vol. 210, pp. 615-639.
8. Standart IEEE 80-2000 [IEEE 80-2000 standard]. Available at: https://www.stdlink.com/standards/ieee-80-2000.html (accessed: 22.01.2025).
9. Energotekh Ekspo № 27 2025. Available at: https://prom-pages.ru/energotehexpo-27 (accessed: 16.02.2025).



