Russian Federation
Russian Federation
Russian Federation
An analysis of the nature of the formation of asphalt-resin-paraffin deposits (ARPD) has shown that a complex of physico-chemical phenomena on the internal surfaces of equipment for oil production and transportation of petroleum raw materials causes the formation and accumulation of organic solids. In modern conditions, chemical washing operations are widely used methods for preventing and eliminating bottom sediments in oil pipelines. Solvents of a hydrocarbon nature do not allow to remove the problem of removing insoluble deposits of inorganic origin, which can be made possible only by hydrodynamic action due to the intensity of the solvent flow, the degree of which is provided during pumping by means of pumping units of back-up and trunk equipment. The article discusses methods for the rapid determination of the critical intensity of solvent movement when insoluble sediment particles are removed. In this variant, the operating parameters are limited only by the operating pressure in the oil pipelines, and the determination of rational parameters can be carried out by solving the problem of maintaining critical traffic intensity with the lowest energy consumption, which is reasonable to estimate a priori. An estimated calculation of the minimum circulation rate of my medium for the removal of particles of a given size in a pipeline of a certain diameter has been carried out. The validity of the obtained model is confirmed, provided that the particle size does not exceed the thickness of the boundary layer. It is concluded that the proposed method of operational calculation of the critical flow rate will optimize flushing modes, limiting the operating pressure in pipelines and minimizing energy consumption while ensuring the necessary efficiency of ARPD removal. The inapplicability of the graphical method is noted for cases when the particle size significantly exceeds the boundary layer thickness, due to the dispersion of ARPD in a turbulent flow.
oil, extraction, pumping, equipment, asphalt-resin-paraffin deposits, chemical washing methods, solvent, critical traffic intensity
Введение
Варьируемая динамика востребованности и ориентиров поставок энергоносителей на мировом рынке обусловливает выбор новых подходов к перевозке нефтегазового сырья (НГС), опираясь на низкозатратные и гибкие варианты варьирования направлений и объемов его перекачивания по отечественным и экспортным маршрутам. При этом, даже с учетом экономически более выгодного экспорта углеводородного сырья, его отечественные поставки становятся все более приоритетными, что является результатом целого ряда федеральных программ и проектов, ориентированных на расширение ареала переработки НГС и газификации удаленных регионов РФ, в частности, Восточной Сибири, Дальнего Востока и Арктики [1–3].
К перспективным путям достижения поставленной цели, опираясь на накопленный мировой опыт, следует причислить универсализацию магистральных трубопроводов для перекачивания нефти, газа, а также продуктов из НГС и нетрадиционных материалов [4, 5]. Трубопроводы в России обладают широко развитой сетевой системой, причем направления многих газо-, нефтепродуктопроводов преимущественно совпадают или противоположно ориентированы [4, 6].
В процессе использования магистральной сети на внутренних поверхностях трубопроводов постепенно накапливаются отложения органической природы, такие как парафины, смолы и асфальтены. Именно они обусловливают сокращение эффективного диаметра линейных трубопроводных участков по причине утолщения пристенных прослоек, что определяет снижение энергоэффективности перекачивания НГС и данных внутритрубной диагностики. Асфальтосмолопарафиновые отложения (АСПО) являются твердым углеводородным комплексом, включающем асфальтосмолистые (20–40 % масс.) и парафиновые (20–70 % масс.) субстанции. АСПО накапливаются во всей нефтепромысловой сети: в системе сбора и подготовки нефтяного сырья (НС), в трубопроводах для трансфера готовых материалов до товарных емкостей [2–4, 6].
В современных условиях широко используемыми способами предотвращения и устранения данных отложений в нефтяных магистралях являются химические операции промывания. Следует обратить внимание на тот факт, что растворители углеводородной природы не позволяют решить проблему отведения нерастворимых отложений неорганического происхождения, которое можно сделать возможным лишь путем гидродинамического воздействия, обусловленного интенсивностью движения потока растворителя, степень которой при ее перекачке обеспечивают посредством насосных установок подпорного и магистрального оборудования.
В статье рассматриваются методы оперативного определения критической интенсивности движения растворителя, когда осуществляется отведение нерастворимых частиц отложений. В данном варианте режимные параметры лимитируются только рабочим давлением в нефтепроводах, и определить рациональные параметры можно, решив задачу поддержания критической интенсивности движения при наименьшей энергоемкости, которую обоснованно априорно оценить [7–11].
Результаты и обсуждение
Согласно опыту практического и эмпирического изучения рассматриваемой проблемы, размеры частиц АСПО находятся в пределах от 0,052 до 0,086 мм, т. е. они сопоставимы с толщиной пограничного слоя при перемещении жидкой среды в турбулентном режиме промывания нефтепроводов [7, 8, 10]. В таком варианте градиент интенсивности движения пограничного слоя существенно больше, чем в ядре потока растворителя, следовательно, влияние подъемной силы по отношению к иным усилиям, влияющим на частицу в состоянии покоя у внутренней поверхности трубопровода, становится заметным.
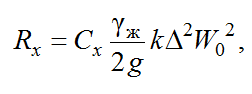
С целью отведения частицы с нижнего участка трубы с внутренним диаметром d целесообразно обеспечить критическую интенсивность движения потока Wп для преодоления лобового сопротивления и обеспечения нужной подъемной силы. На частицу с размером ∆, удельным весом твердого вещества γт на нижнем участке внутренней поверхности трубопровода, по которому осуществляется перекачивание жидкой среды с удельным весом жидкости γж, воздействуют определенные силы, представленные на рисунке.

Схема влияния потока на частицу АСПО
Diagram of the effect of the flow on the ARPD particle
Сила Rx обусловлена лобовым сопротивлением Cx при обтекании частицы:
(1)
Вес частицы в жидкой среде:
PB = k∆3(γт – γж). (2)
Подъемное усилие при обтекании частицы жидкой средой с варьируемой интенсивностью движения с градиентом dW/dy по сечению потока:
(3)
Усилие сопротивления частицы поверхности трубопровода Pтр, обусловленная весом частицы
в жидкой среде и коэффициентом сопротивления f:
Pтр = f(РВ – Ry). (4)
Стационарные условия начала равномерного перемещения частицы со дна трубопровода при идентичности сил Rx и Pтр:
(5)
При сравнении частицы в кубической форме с ребром ∆ и шарообразной формы такого же диаметра частицы d принимаем для последней k = 0,6 и параметр лобового сопротивления в пределах от 0,1 до 0,3. Тогда Cx = 0,2 и аналогично f = 0,7.
После определенной математической трансформации соотношение (5) имеет вид:
(6)
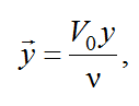
При средней Wп, когда частица перемещается, необходимо найти W0 и dW/dy, которые обусловлены Wп в данной точке. Принимая во внимание теоретические положения о пограничной прослойке при перемещении жидкой среды в турбулентном режиме жидкости, рассмотрим понятие безразмерной координаты:
(7)
где V0 – интенсивность турбулентных пульсаций, м/с; y – расстояние от стенки трубопровода, м; ν – кинематическая вязкость жидкой среды, м2/с.
Закономерность распределения W по сечению имеет вид:

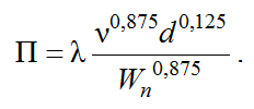
Принимая во внимание, что из трубопровода потоком растворителя выводятся разногабаритные частицы, оценим зоны по сечению. С этой целью трансформируем соотношение Дарси – Вейсбаха для касательных напряжений σT:
(10)
где Wn – средняя интенсивность движения потока по трубе; λ – коэффициент гидравлического сопротивления для гладких трубопроводов (
по соотношению Блазиуса, где
– критерий Рейнольдса).
При этом соотношение для характерной интенсивности турбулентных пульсаций или динамической интенсивности движения (10) потока можно представить, как:
(11)
где ρж – плотность жидкой среды, кг/м3.
Решая систему соотношений (10) и (11) для
имеем соотношение для определения толщины пограничной прослойки П при 0 ≤ ∆ ≤ П:
(12)
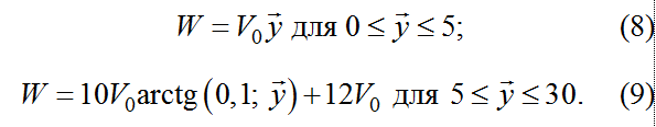
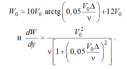
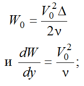
Величины W0 и dW/dy в (6) для y = ∆ / 2 найдем, принимая во внимание (7):
– при 0 ≤
≤ 5 по (8)
– при 5 ≤
≤ 30 по (9)

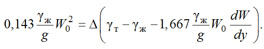
В результате, при условиях 0 ≤ ∆ ≤ П и 0 ≤
≤ 5 системы уравнений (6) и (11) обусловливает соотношение для
(13)
Из (13) следует, что наименьшая допустимая интенсивность промывания должна увеличиваться при вязкости увеличения растворителя, разницы удельных весов жидкой и твердой фаз, диаметра трубы и снижения габаритов частиц нерастворимых отложений.
Проведем оценку наименьшей величины W циркуляции моющей среды v = 0,02 см2/с (2 · 10–6 м2/с) и ρж = 850 кг/м3 по трубе d = 50 см (0,5 м) для отведения нерастворенных частиц при ∆ = 0,005 см (50 · 10–6 м) и ρт = 920 кг/м3 по (13): Wn = 44,4 см/с.
Осуществим проверку выполнения условия (12) по толщине пограничной прослойки: П = 0,105 см. Поскольку П = 0,105 см больше ∆ = 0,005 см, использование (13) справедливо, и, как следствие, определение критической Wn проведено адекватно.
Заключение
Оперативный расчет критической скорости потока растворителя, при которой реализуется вынос нерастворимых частиц АСПО, позволит ограничить максимальные режимы рабочих давлений технологических трубопроводов вследствие обеспечения заданной критической скорости потока растворителя при минимальном энергопотреблении. Следует отметить, что при П ≤ ∆ ≤ 6П, когда размер частицы превышает толщину пограничной прослойки, решение системы соотношений по отношению к Wn осуществить затруднительно, и по этой причине эту задачу решают графически. Такой вариант для циркуляционного промывания труб для перекачивания НС моющими средами в турбулентном режиме неприемлем в инженерной практике по причине диспергирования частиц АСПО под влиянием диффузионных процессов.
1. Minina N. N., D'jakonova D. E., Iziljanov A. Ju. Jekologicheskie problemy pri dobyche nefti i puti ih reshenija [Environmental problems in oil production and ways to solve them]. Zametki uchenogo, 2020, no. 7, pp. 103-107.
2. Zhil'cov S. S. Kaspijskij region: novye jenergetiches-kie potoki i novye vyzovy [The Caspian region: new energy flows and new challenges]. Kaspijskij region: politika, jekonomika, kul'tura, 2015, no. 3 (44), pp. 64-71.
3. Barannik S. F., Haritonova A. R., Purchina O. A., Tkachuk I. D. Sovershenstvovanie processa transportirovki nefti [Improving the oil transportation process]. Materialy vserossijskoj (nacional'noj) nauchno-prakticheskoj konferencii «Aktual'nye problemy nauki i tehniki. 2022». Rostov-na-Donu, 2022. Pp. 17-19.
4. Lemke E. Je., Tjavina A. D. Morskaja perevozka nefti s arkticheskih mestorozhdenij. perspektivy razvitija i pravovoe regulirovanie v sovremennyh geopoliticheskih uslovijah [Sea transportation of oil from Arctic fields. development prospects and legal regulation in modern geopolitical conditions]. Sbornik nauchnyh trudov po materialam II Mezhdunarodnoj nauchno-prakticheskoj konferencii «Jekonomika, finansy i upravlenie: teorija i praktika». Anapa, 2023. Pp. 18-29.
5. Galimova A. I., Lej H. Issledovanie processov trans-portirovki nefti i gaza s minimal'nymi poterjami uglevo-dorodov i vybrosami vrednyh veshhestv v atmosferu [Investigation of oil and gas transportation processes with minimal hydrocarbon losses and emissions of harmful substances into the atmosphere]. International Journal of Humanities and Natural Sciences, 2024, no. 6-3 (93), pp. 171-175.
6. Znamenskaja A.V., Zavertneva M.V. Puti snizhenija sebestoimosti v kompanijah, otnosjashhihsja k neftegazovoj otrasli, i vektor ih razvitija [Ways to reduce costs in companies related to the oil and gas industry and the vector of their development]. Sbornik statej XIII Mezhdunarodnoj nauchno-prakticheskoj konferencii «Povyshenie upravlencheskogo, jekonomicheskogo, social'nogo i innovacionno-tehnicheskogo potenciala predprijatij, otraslej i narodno-hozjajstvennyh kompleksov». Penza, Penzenskij gosudarstvennyj agrarnyj universitet, 2022. Pp. 105-109.
7. Korobov G. Ju., Parfenov D. V., Nguen V. T. Me-hanizmy obrazovanija asfal'tosmoloparafinovyh otlozhenij i faktory, vlijajushhie na intensivnost' ih formirovanija [Mechanisms of formation of asphalt-resin-paraffin deposits and factors influencing the intensity of their formation]. Izvestija Tomskogo politehnicheskogo universiteta. Inzhiniring georesursov, 2023, vol. 334, no. 4, pp. 103-116.
8. Strelkova K. Ju. i dr. Prichiny obrazovanija i tehnologii bor'by s asfal'tosmoloparafinovymi otlozhenijami [Causes of formation and technologies for combating asphalt-resin-paraffin deposits]. Sbornik luchshih nauchnyh rabot molodyh uchenyh po rezul'tatam XLVII studencheskoj nauchnoj konferencii «Molodezhnaja nauka». Krasnodar, Kubanskij gos-udarstvennyj tehnologicheskij universitet, 2022. Pp. 66-74.
9. Bogatov M. V. i dr. Predotvrashhenie obrazovanija asfal'tosmoloparafinovyh otlozhenij na poverhnosti nasosno-kompressornyh trub putem nanesenija vnutrennih pokrytij [Preventing the formation of asphalt-resin-paraffin deposits on the surface of tubing by applying internal coatings]. Neftegazovoe delo, 2022, vol. 20, no. 1, pp. 74-81.
10. Mitroshin A. V. Opredelenie minimal'nyh meroprijatij v skvazhine po predotvrashheniju obrazovanija asfal'tosmoloparafinovyh otlozhenij [Determination of minimum measures in the well to prevent the formation of asphalt-resin-paraffin deposits]. Nedropol'zovanie, 2021, vol. 21, no. 2, pp. 94-100.
11. Malyshev A. A., Botkin I. O. Metody i sredstva bor'by s otlozhenijami ASPO [Methods and means of com-bating ARPD deposits]. Sbornik tezisov XII Mezhdunarodnoj nauchno-prakticheskoj konferencii. Izhevsk, Izhevskij institut komp'juternyh issledovanij, 2022. Pp. 65-70.



